Презентация, доклад по математического анализа по тему Определенные интегралы и их характеристика

Презентация по математического анализа по тему Определенные интегралы и их характеристика Математика

Слайд 1Anıq integral ha`m onın` qa`siyetleri.
Jobası:
1. Anıq integral ha`m onın` qa`siyetleri.
2.

Integral qosındı, anıq integraldın` anıqlaması
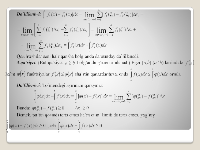
3. Integraldın` bar bolıwı haqqındag`ı teorema.
4. Anıq integraldın` tiykarg`ı qa`siyetleri.
5. Joqarg`ı shegarası o’zgeriwshi bolg`an anıq integral.
6. Nyuton - Leybnits formulası.
7. Anıq integraldı esaplaw metodları.
Anıq integral ha`m onın` qa`siyetleri. Jobası:1. Anıq integral ha`m onın` qa`siyetleri.2. Integral qosındı, anıq integraldın` anıqlaması3. Integraldın`

Что такое shareslide.ru?

Это сайт презентаций, где можно хранить и обмениваться своими презентациями, докладами, проектами, шаблонами в формате PowerPoint с другими пользователями. Мы помогаем школьникам, студентам, учителям, преподавателям хранить и обмениваться учебными материалами.


Для правообладателей

Яндекс.Метрика

Обратная связь

Email: Нажмите что бы посмотреть