Презентация, доклад к уроку геометрии по теме

Содержание

ГИА - 2012Открытый банк заданийпо математике.Задача №15

Слайд 1Площадь круга
и его частей
9 класс
Белоножко Валентина Николаевна –
учитель математики МБОУ

«Гимназия №1»
г. Почеп
Площадь круга и его частей9 классБелоножко Валентина Николаевна –учитель математики МБОУ «Гимназия №1»г. Почеп

Слайд 2ГИА - 2012
Открытый банк заданий
по математике.
Задача №15

ГИА - 2012Открытый банк заданийпо математике.Задача №15

Слайд 3Цели I этапа урока :
Повторение курса
геометрии

за 7 – 9 классы

Подготовка к ГИА
по математике

Цели I этапа урока : Повторение курса  геометрии   за 7 – 9 классы Подготовка

Слайд 4Какие из следующих утверждений верны?
Задание 15
(№ 171047)
1
2
3
4
Площадь параллелограмма равна

произведению двух его сторон на косинус
угла между ними.

Площадь многоугольника, описанного около
окружности равна четверти произведения
его периметра на диаметр вписанной окружности.

Если диагонали ромба равна 3 и 4,
то его площадь равна 6.

Если радиус круга равен 4,
то его площадь равна 8.

Не верно!

Не верно!

Верно.

Не верно!


Какие из следующих утверждений верны? Задание 15 (№ 171047)1234Площадь параллелограмма равна произведению двух его сторон на косинус

Слайд 5Площадь параллелограмма равна
произведению двух его сторон на
синус угла между ними


А
С

В
D




а
b

Площадь параллелограмма равна произведению двух его сторон насинус угла между нимиАСВDаb

Слайд 6




О
r
Площадь многоугольника описанного
около окружности, равна половине
произведения периметра
многоугольника на

радиус окружности.
ОrПлощадь многоугольника описанного около окружности, равна половине произведения периметра многоугольника на радиус окружности.

Слайд 7Площадь ромба равна половине
произведения его диагоналей.



В
С
А
D
О

Площадь ромба равна половинепроизведения его диагоналей.ВСАDО

Слайд 9Какие из следующих утверждений верны?
Задание 15
(№ 171063)
1
2
3
4
Площадь круга равна четверти

произведения длины его окружности на
диаметр.

Площадь треугольника равна произведению
его стороны на высоту, проведенную к
этой стороне.

Если площадь круга равна 4,
то его радиус равен 2.

Площадь прямоугольника равна
произведению двух его сторон.

Не верно!

Не верно!

Не верно!

Верно.


Какие из следующих утверждений верны? Задание 15(№ 171063)1234Площадь круга равна четверти произведения длины его окружности на диаметр.Площадь

Слайд 11

Площадь треугольника равна половине
произведения его стороны на высоту,
проведенную к этой

стороне.

a

h


Площадь треугольника равна половинепроизведения его стороны на высоту, проведенную к этой стороне.ah

Слайд 12
О
А

R = 2

ОАR = 2

Слайд 14 Площадь круга

и кругового сектора.



Площадь круга

Слайд 15
Площадь
круга и
кругового
сектора

Повторить основные определения
Повторить основные

формулы

Решать задачи

Рассуждать, анализировать

Готовиться к контрольной работе, ГИА

Площадь круга и кругового сектора Повторить основные определенияПовторить основные формулыРешать задачиРассуждать, анализироватьГотовиться к контрольной работе, ГИА

Слайд 16Какие величины можно вычислить по следующим формулам:

С =
длина окружности
площадь прав.

мн-ка

С =

длина окружности

r =

радиус впис.
окружности

угол прав. мн-ка

Р =

периметр прав. мн-ка

сторона прав. мн-ка

Площадь круга

длина дуги

Площадь сектора

Площадь круга

Какие величины можно вычислить по следующим формулам:С = длина окружностиплощадь прав. мн-каС = длина окружностиr = радиус

Слайд 17ДЛИНА ОКРУЖНОСТИ ПЛОЩАДЬ КРУГА








ДЛИНА ОКРУЖНОСТИ ПЛОЩАДЬ КРУГА

Слайд 18
Решение задач
на готовых чертежах

Решение задач на готовых чертежах

Слайд 19№ 1
Дано: R1 = 10, R2 = 8.
Найти площадь закрашенной фигуры.


О

R1

R2

№ 1Дано: R1 = 10, R2 = 8.Найти площадь закрашенной фигуры. ОR1R2

Слайд 20№ 1
Дано: R1 = 10, R2 = 8.
Найти площадь закрашенной фигуры.


R1
R2

О
№ 1Дано: R1 = 10, R2 = 8.Найти площадь закрашенной фигуры.R1R2 О

Слайд 21№ 2
Дано: R1 = 15, R2 = 6, R3 = 7.
Найти

площадь закрашенной фигуры.



.O1

.O2


.O3


№ 2Дано: R1 = 15, R2 = 6, R3 = 7.Найти площадь закрашенной фигуры..O1.O2.O3

Слайд 22№ 2
Дано: R1 = 15, R2 = 6, R3 = 7.
Найти

площадь закрашенной фигуры.



.O1

.O2


.O3


№ 2Дано: R1 = 15, R2 = 6, R3 = 7.Найти площадь закрашенной фигуры..O1.O2.O3

Слайд 23№ 3
Дано: R = 5.
Найти площадь фигуры, закрашенной
голубым цветом.

О

150о

№ 3Дано: R = 5.Найти площадь фигуры, закрашенной голубым цветом.О150о

Слайд 24№ 3
Дано: R = 5.
Найти площадь фигуры, закрашенной
голубым цветом.

О

150о

№ 3Дано: R = 5.Найти площадь фигуры, закрашенной голубым цветом.О150о

Слайд 25№ 4
Дано: R = 4.
Найти площадь закрашенной фигуры.

О
А
В
С

120о

№ 4Дано: R = 4.Найти площадь закрашенной фигуры.ОАВС120о

Слайд 26№ 4
Дано: R = 4.
Найти площадь закрашенной фигуры.

О
А
В
С

120о

№ 4Дано: R = 4.Найти площадь закрашенной фигуры.ОАВС120о

Слайд 27№ 5
Дано: R2 = 3.
Найти площадь закрашенной фигуры.

А
В
О1

О2
О3




№ 5Дано: R2 = 3.Найти площадь закрашенной фигуры.АВО1О2 О3

Слайд 28№ 5
Дано: R2 = 3.
Найти площадь закрашенной фигуры.

А
В
О1

О2
О3




№ 5Дано: R2 = 3.Найти площадь закрашенной фигуры.АВО1О2 О3

Слайд 29
Решение задач
Учебник № 1116 (б)

Решение задач Учебник № 1116 (б)

Слайд 30Найдите площадь круга, описанного около прямоугольного треугольника с катетом

и противолежащим углом
Найдите площадь круга, описанного около прямоугольного треугольника с катетом    и противолежащим углом

Слайд 31



Анализ:
А
С
В
АВ - гипотенуза

АВ - ?




Анализ:АСВАВ - гипотенузаАВ - ?

Слайд 32
Решение задач
Учебник № 1139

Решение задач Учебник № 1139

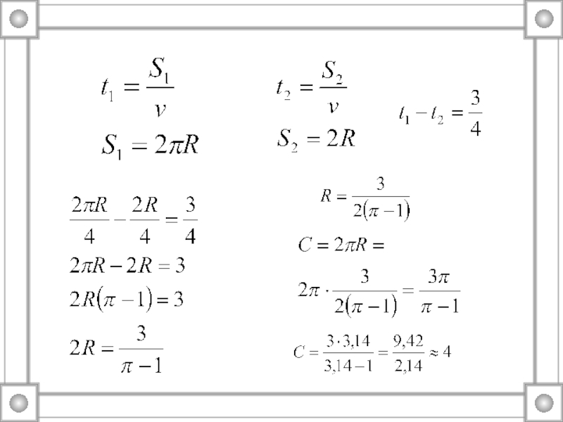
Слайд 33Лесной участок имеет форму круга. Чтобы обойти этот участок по опушке,

идя со скоростью 4 км/ч, нужно затратить на 45 мин больше, чем для того, чтобы пресечь его по диаметру. Найдите длину опушки данного участка
Лесной участок имеет форму круга. Чтобы обойти этот участок по опушке, идя со скоростью 4 км/ч, нужно

Слайд 34
Математическая модель задачи




на 45 мин

Математическая модель задачина 45 мин

Слайд 36Домашнее задание:
Творческое задание:
а) подготовить сообщение в форме

презентации о числе
( к понедельнику);
б) подготовить сообщение в форме
презентации о царь - колоколе

2. № 1116 (а)
№ 1118
№ 1122


Домашнее задание:Творческое задание:  а) подготовить сообщение в форме    презентации о числе

Слайд 371. Собирай по ягодке – наберёшь кузовок;
2. Дело мастера боится;
3. Старая

песня на новый лад;
4. У страха глаза велики;
5. Через тернии к звездам;
6. Грамоте учиться всегда пригодится;
7. Где хотенье – там уменье;
8. Терпение и труд всё перетрут;
9. Ах, как я устал от этой суеты;
10. Без труда не вытащишь рыбку из пруда.
1. Собирай по ягодке – наберёшь кузовок;2. Дело мастера боится;3. Старая песня на новый лад;4. У страха

Слайд 38Подведём итог урока.

За что ты можешь себя

похвалить?
Что тебе удалось на уроке?

Над чем ещё нужно
поработать?


Подведём итог урока.За что ты можешь себя

Что такое shareslide.ru?

Это сайт презентаций, где можно хранить и обмениваться своими презентациями, докладами, проектами, шаблонами в формате PowerPoint с другими пользователями. Мы помогаем школьникам, студентам, учителям, преподавателям хранить и обмениваться учебными материалами.


Для правообладателей

Яндекс.Метрика

Обратная связь

Email: Нажмите что бы посмотреть