Презентация, доклад к первому уроку по теме уравнения

ПРЕЖДЕ ЧЕМ СМЕЛО К ЗАДАЧАМ ИДТИ, ТЕМУ ИЗ БУКВ ТЫ СУМЕЙ СОБЕРИ! 562 – (233 + 162) Е

Слайд 1УРОК МАТЕМАТИКИ В 5 КЛАССЕ


УРОК МАТЕМАТИКИ В 5 КЛАССЕ

Слайд 2ПРЕЖДЕ ЧЕМ СМЕЛО К ЗАДАЧАМ ИДТИ, ТЕМУ ИЗ БУКВ ТЫ СУМЕЙ СОБЕРИ!

562 – (233 + 162) Е
(612 + 276) – 412 У
713 + (87 + 189) А
682 – (364 + 282) И
65 + 431+ 35 + 69 Н
276 + 398 Р
476 – 239 В
ПРЕЖДЕ ЧЕМ СМЕЛО К ЗАДАЧАМ ИДТИ, ТЕМУ ИЗ БУКВ ТЫ СУМЕЙ СОБЕРИ!

Слайд 11Уравнение

Уравнение

Слайд 12УСТНЫЙ СЧЁТ
1. х + 17 = 60;
2. а + 17 =

60;
3. 60 = а + 51;
4. с – 43 = 81;
5. 62 = 100 – у;

6. 59 + х = 59;
7. 78 – а = 78;
8. а + 45 = 45;
9. х – 0 = 82;
10. 70 – с = 68.

УСТНЫЙ СЧЁТ1. х + 17 = 60;2. а + 17 = 60;3. 60 = а + 51;4.

Слайд 13 - ЧТО НАЗЫВАЕТСЯ

УРАВНЕНИЕМ? - ЧТО ТАКОЕ КОРЕНЬ УРАВНЕНИЯ?


- ЧТО НАЗЫВАЕТСЯ

Слайд 14248 – (У + 123) = 24

248 – (У + 123) = 24

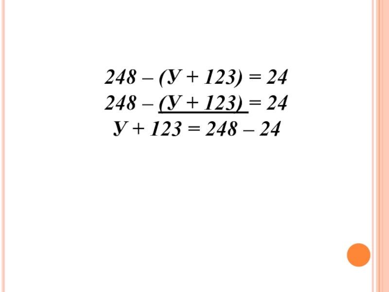
Слайд 15248 – (У + 123) = 24 248 – (У +

123) = 24
248 – (У + 123) = 24  248 – (У + 123) = 24

Слайд 16248 – (У + 123) = 24 248 – (У +

123) = 24 У + 123 = 248 – 24
248 – (У + 123) = 24  248 – (У + 123) = 24 У +

Слайд 17248 – (У + 123) = 24 248 – (У +

123) = 24 У + 123 = 248 – 24 У + 123 = 224
248 – (У + 123) = 24  248 – (У + 123) = 24 У +

Слайд 18248 – (У + 123) = 24 248 – (У +

123) = 24 У + 123 = 248 – 24 У + 123 = 224 У = 224 – 123
248 – (У + 123) = 24  248 – (У + 123) = 24 У +

Слайд 19248 – (У + 123) = 24 248 – (У +

123) = 24 У + 123 = 248 – 24 У + 123 = 224 У = 224 – 123 У = 101 ОТВЕТ: 101.
248 – (У + 123) = 24  248 – (У + 123) = 24 У +

Слайд 20РАБОТА С УЧЕБНИКОМ СТР. 61, № 375, 376 (А, Б, В), 373(В,

Б).
РАБОТА С УЧЕБНИКОМ СТР. 61, № 375, 376 (А, Б, В), 373(В, Б).

Слайд 24ПОДВЕДЕНИЕ ИТОГОВ УРОКА. РЕФЛЕКСИЯ. ДОМАШНЕЕ ЗАДАНИЕ: № 396 , № 397 , 403,

СОСТАВИТЬ ЗАДАЧИ
ПОДВЕДЕНИЕ ИТОГОВ УРОКА.  РЕФЛЕКСИЯ.  ДОМАШНЕЕ ЗАДАНИЕ:  № 396 , № 397 , 403, СОСТАВИТЬ

Слайд 25
Спасибо за урок

Спасибо за урок

Что такое shareslide.ru?

Это сайт презентаций, где можно хранить и обмениваться своими презентациями, докладами, проектами, шаблонами в формате PowerPoint с другими пользователями. Мы помогаем школьникам, студентам, учителям, преподавателям хранить и обмениваться учебными материалами.


Для правообладателей

Яндекс.Метрика

Обратная связь

Email: Нажмите что бы посмотреть