Презентация, доклад на тему Методы решения систем линейных уравнений (методы: Гаусса, Крамера, обратной матрицы) для студентов нематических специальностей ВУЗов)

Содержание

Дана система из трех уравнений:Матрица системы будет иметь вид:Если включить в нее столбец свободных членов, то она будет называться расширенной:

Слайд 1Этот метод заключается в последовательном исключении переменных из системы уравнений.
РЕШЕНИЕ

СИСТЕМ
ЛИНЕЙНЫХ УРАВНЕНИЙ

1. МЕТОД ГАУССА

Этот метод заключается в последовательном исключении переменных из системы уравнений. РЕШЕНИЕ СИСТЕМ ЛИНЕЙНЫХ УРАВНЕНИЙ1. МЕТОД ГАУССА

Слайд 2Дана система из трех уравнений:
Матрица системы будет иметь вид:
Если включить в

нее столбец свободных членов, то она будет называться расширенной:
Дана система из трех уравнений:Матрица системы будет иметь вид:Если включить в нее столбец свободных членов, то она

Слайд 3Исключим переменную x1 из всех уравнений, кроме первого. Это эквивалентно получению

нулей во 2-й и 3-ей строке первого столбца.
Для этого умножим первое уравнение на (-2) и (-3) и сложим соответственно, со 2-м и 3-м уравнением:
Исключим переменную x1 из всех уравнений, кроме первого. Это эквивалентно получению нулей во 2-й и 3-ей строке

Слайд 4Теперь исключим переменную x2 из третьего уравнения (получим ноль в 3-ей

строке 2-го столбца).
Для этого умножим 2-е уравнение на (-5) и сложим его с третьим:
Теперь исключим переменную x2 из третьего уравнения (получим ноль в 3-ей строке 2-го столбца).Для этого умножим 2-е

Слайд 5Запишем полученную систему уравнений:
Последовательно находим:
Ответ:

Запишем полученную систему уравнений:Последовательно находим:Ответ:

Слайд 62. МЕТОД КРАМЕРА
Пусть дана система (1). Рассмотрим частный случай, когда число

неизвестных равно числу уравнений.
Найдем определитель матрицы системы:
2. МЕТОД КРАМЕРАПусть дана система (1). Рассмотрим частный случай, когда число неизвестных равно числу уравнений.Найдем определитель матрицы

Слайд 7Пусть ΔJ – определитель матрицы, полученной из матрицы А заменой j–го

столбца столбцом свободных членов:

Тогда, если определитель матрицы системы не равен 0, то система уравнений (1) имеет единственное решение, которое определяется по формулам:

Пусть ΔJ – определитель матрицы, полученной из матрицы А заменой j–го столбца столбцом свободных членов:Тогда, если определитель

Слайд 8формулы Крамера

формулы Крамера

Слайд 9Решим систему из предыдущего примера.
Матрица системы имеет вид:
Находим ее определитель:

Решим систему из предыдущего примера.Матрица системы имеет вид:Находим ее определитель:

Слайд 10Найдем определители Δ1 , Δ2 , Δ3 :

Найдем определители Δ1 , Δ2 , Δ3 :

Слайд 11Используем формулы Крамера:
Ответ:

Используем формулы Крамера:Ответ:

Слайд 12Замечание:
Если Δ=0 при том, что хотя бы один
из определителей ΔJ не

равен нулю,
то система (1) несовместна.
Если Δ=0 и все ΔJ тоже равны нулю,
то система неопределенная, так как
она имеет бесконечное множество
решений.

Замечание:Если Δ=0 при том, что хотя бы одиниз определителей ΔJ не равен нулю,то система (1) несовместна.Если Δ=0

Слайд 133. МЕТОД ОБРАТНОЙ МАТРИЦЫ
Пусть дана система (1). Снова рассмотрим случай, когда

число неизвестных равно числу уравнений.
В матричной форме система имеет вид:

Пусть существует обратная матрица А-1 к матрице системы А.

3. МЕТОД ОБРАТНОЙ МАТРИЦЫПусть дана система (1). Снова рассмотрим случай, когда число неизвестных равно числу уравнений.В матричной

Слайд 14Тогда решением матричного уравнения будет матрица-столбец Х:
Проверяем:

Тогда решением матричного уравнения будет матрица-столбец Х:Проверяем:

Слайд 15Решим систему
Матрица системы и столбец свободных членов имеют вид:
Найдем обратную

матрицу А-1 :

Ранее был найден определитель матрицы А:

Решим системуМатрица системы  и столбец свободных членов имеют вид:Найдем обратную матрицу А-1 :Ранее был найден определитель

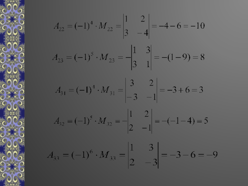
Слайд 16Находим алгебраические дополнения для каждого элемента матрицы А :

Находим алгебраические дополнения для каждого элемента матрицы А :

Слайд 18Составляем матрицу из найденных алгебраических дополнений:
Транспонируем ее и делим на определитель.

Получаем обратную матрицу:
Составляем матрицу из найденных алгебраических дополнений:Транспонируем ее и делим на определитель. Получаем обратную матрицу:

Слайд 19Находим решение системы уравнений:
Ответ:

Находим решение системы уравнений:Ответ:

Что такое shareslide.ru?

Это сайт презентаций, где можно хранить и обмениваться своими презентациями, докладами, проектами, шаблонами в формате PowerPoint с другими пользователями. Мы помогаем школьникам, студентам, учителям, преподавателям хранить и обмениваться учебными материалами.


Для правообладателей

Яндекс.Метрика

Обратная связь

Email: Нажмите что бы посмотреть