Презентация, доклад на тему Метод рационализации при решении неравенств.

стандартный метод:два случая на области допустимых значений

Слайд 1 Решение неравенств - важный раздел в математике. Успешное изучение математики невозможно

без умения решать разнообразные неравенства, поэтому мы решили рассмотреть один из способов решения неравенств – метод рационализации. В школьной программе он не изучается, но его применение значительно облегчает решение задания С3 ЕГЭ, в частности логарифмических и показательных неравенств.

Метод рационализации

Решение неравенств - важный раздел в математике. Успешное изучение математики невозможно без умения решать разнообразные неравенства, поэтому

Слайд 2стандартный метод:
два случая на области допустимых значений

стандартный метод:два случая на области допустимых значений

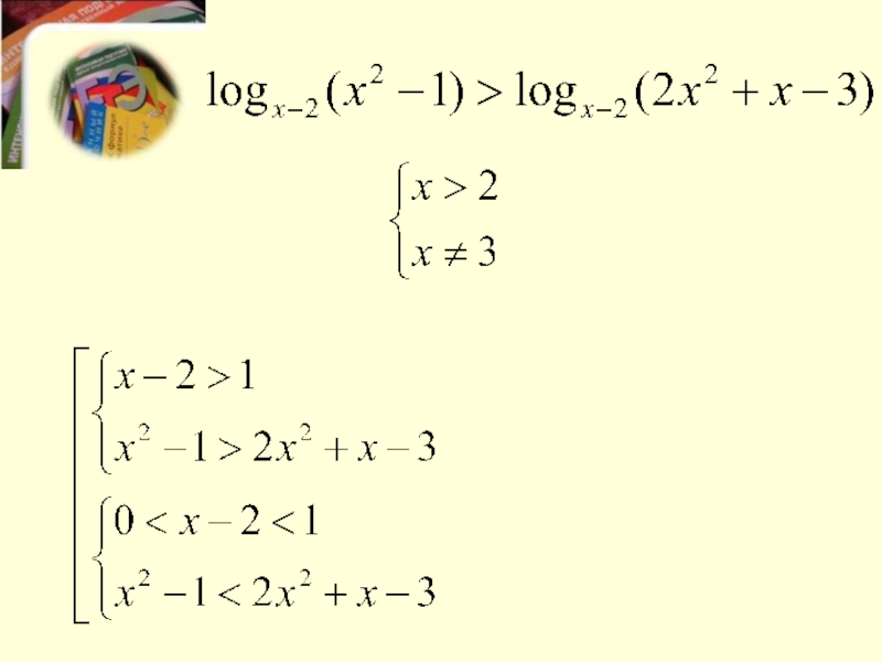
Слайд 3ОДЗ

ОДЗ

Слайд 4







Функция y = f (x) называется монотонно возрастающей, если для любых

из области определения функции
из следует

Функция y = f (x) называется монотонно убывающей, если для любых из области определения функции
из следует

Функция y = f (x) называется монотонно возрастающей, если для любых

Слайд 5Неравенства называются равносильными, если множества их решений совпадают. Важно, что о

равносильности неравенств мы говорим на одном и том же множестве.

Например

Метод рационализации
(метод замены множителей)
от неравенства, содержащего в качестве множителей сложные выражения перейти к равносильному ему
более простому рациональному неравенству.

Неравенства называются равносильными, если множества их решений совпадают. Важно, что о равносильности неравенств мы говорим на одном

Слайд 7Сложное выражение
Простое выражение
( на какое можно заменить)



ОДЗ
ОДЗ
ОДЗ

Сложное выражениеПростое выражение ( на какое можно заменить)ОДЗОДЗОДЗ

Слайд 8Пример №1
ОДЗ
МЗМ
a - 1
f - g
Ответ:

Пример №1ОДЗМЗМa - 1 f  -  g Ответ:

Слайд 9Пример №2
ОДЗ
МЗМ
Ответ:




Пример №2ОДЗМЗМОтвет:

Слайд 10Сложное выражение
Простое выражение
( на какое можно заменить)



Сложное выражениеПростое выражение ( на какое можно заменить)

Слайд 11Пример №3
ОДЗ
МЗМ
Ответ:

Пример №3ОДЗМЗМОтвет:

Слайд 12Пример №4
(Репетиц. ЕГЭ 2013).

Пример №4(Репетиц. ЕГЭ 2013).

Слайд 13Пример №5
ОДЗ
МЗМ

Пример №5ОДЗМЗМ

Слайд 14Решите примеры
Пример 10.

Пример 11.

Пример 12.

Пример 6.

Пример 7.

Пример 8.

Пример 9.






Решите примерыПример 10.Пример 11.Пример 12.Пример 6.Пример 7.Пример 8.Пример 9.

Слайд 15



-
+
1/2
3
2




ОТВЕТ:




+
-




0


Пример 6


1/2

-+1/232ОТВЕТ:+-0Пример 61/2

Слайд 16





ОДЗ


3
9
МЗМ


2
6
+
-
+
ОТВЕТ:

ОДЗ39МЗМ26+-+ОТВЕТ:

Слайд 17





ОДЗ


2
3


МЗМ




3
-1
0
1
+
+
+
-
-
ОТВЕТ:

ОДЗ23МЗМ3-101+++--ОТВЕТ:

Слайд 18ОДЗ


-1
0
МЗМ
1
ОТВЕТ:


-2

-1

ОДЗ-10МЗМ1ОТВЕТ:-2-1

Слайд 19ОДЗ


МЗМ






ОТВЕТ:

ОДЗМЗМОТВЕТ:

Слайд 20
ОДЗ



МЗМ




ОТВЕТ:

ОДЗМЗМОТВЕТ:

Что такое shareslide.ru?

Это сайт презентаций, где можно хранить и обмениваться своими презентациями, докладами, проектами, шаблонами в формате PowerPoint с другими пользователями. Мы помогаем школьникам, студентам, учителям, преподавателям хранить и обмениваться учебными материалами.


Для правообладателей

Яндекс.Метрика

Обратная связь

Email: Нажмите что бы посмотреть