Презентация, доклад по химии Фенол (10 класс)

Содержание

Фенол

Слайд 1Относительная плотность паров органического соединения по кислороду равна 3,625.11ри сжигании 29

г этого вещества образуется 39,2 л углекислого газа (н. у.) и 36 г воды. Выведите молекулярную формулу органического соединения
Относительная плотность паров органического соединения по кислороду равна 3,625.11ри сжигании 29 г этого вещества образуется 39,2 л

Слайд 2Фенол

Фенол

Слайд 3Фенолы – гидроксилпроизводные ароматических углеводородов, в которых группа ОН связана с

атомом углерода ароматического ядра.
Фенолы – гидроксилпроизводные ароматических углеводородов, в которых группа ОН связана с атомом углерода ароматического ядра.

Слайд 4Классификация и номенклатура
Названия фенолов образуют от названий соответствующих аренов с добавлением суффикса –ол.

Простейший фенол – гидроксибензол С6Н5ОН называют просто фенол.
Классификация и номенклатураНазвания фенолов образуют от названий соответствующих аренов с добавлением суффикса –ол. Простейший фенол – гидроксибензол С6Н5ОН называют

Слайд 6Методы получения
Замещение сульфогруппы на гидроксил




Методы полученияЗамещение сульфогруппы на гидроксил

Слайд 72. Замещение галогена на гидроксил
C6H5Cl + 2NaOH ® C6H5O-Na+ + NaCl + H2O
C6H5O-Na+

+ HCl ® C6H5OH + NaCl

Применение солей меди (II) позволяет проводить региоселективное замещение галогена на гидроксил без примеси какого-либо другого изомерного фенола.

2. Замещение галогена на гидроксилC6H5Cl + 2NaOH ® C6H5O-Na+ + NaCl + H2OC6H5O-Na+ + HCl ® C6H5OH + NaClПрименение солей меди

Слайд 83. Замещение диазогруппы на гидроксил

3. Замещение диазогруппы на гидроксил

Слайд 94. Получение фенола из гидропероксида кумола

4. Получение фенола из гидропероксида кумола

Слайд 11Физические свойства и строение
Фенолы – жидкие или кристаллические вещества с сильным характерным

запахом. При хранении на воздухе быстро темнеют из-за окисления. Ограниченно растворимы в воде.

Гидроксигруппа и ароматическое кольцо образуют сопряженную систему. Гидроксигруппа проявляет электронодонорные свойства за счет +М-эффекта, который превышает по силе –I-эффект.

Физические свойства и строениеФенолы – жидкие или кристаллические вещества с сильным характерным запахом. При хранении на воздухе быстро

Слайд 12Химические свойства 1. Кислотные свойства
Фенолы являлются слабыми ОН-кислотами, но значительно превосходят по

кислотности спирты. Например, фенол в 108 раз более сильная ОН-кислота по сравнению с циклогексанолом.



Химические свойства 1. Кислотные свойства Фенолы являлются слабыми ОН-кислотами, но значительно превосходят по кислотности спирты. Например, фенол в

Слайд 13Получение простых и сложных эфиров фенолов
Сложные эфиры получают ацилированием фенолов или

их
Na-и K-солей галогенангидридами или ангидридами кислот.
ArOH + RCOX ® RCOOAr + HX
ArO-Na+ + RCOX ® RCOOAr + NaX
(X=Cl, OCOR)
Получение простых и сложных эфиров феноловСложные эфиры получают ацилированием фенолов или их Na-и K-солей галогенангидридами или ангидридами

Слайд 14Феноляты легко алкилируются , алкилгалогенидами и диалкилсульфатами с образованием простых эфиров.
ArO-Na+ +

RX ® ArOR + NaX
(X=Hal, ROSO3)
Метиловые эфиры фенолов получают также действием диазометана в эфирном растворе.

ArOH + CH2N2 ® AROCH3 + N2

Феноляты легко алкилируются , алкилгалогенидами и диалкилсульфатами с образованием простых эфиров.ArO-Na+ + RX ® ArOR + NaX(X=Hal, ROSO3)Метиловые эфиры фенолов

Слайд 15Перегруппировка Кляйзена аллилариловых эфиров
Аллиловый эфир фенола при нагревании до 200-220оС превращается

в орто-аллилфенол, т.е. аллильная группа мигрирует в орто-положение бензольного кольца.


Перегруппировка Кляйзена аллилариловых эфировАллиловый эфир фенола при нагревании до 200-220оС превращается в орто-аллилфенол, т.е. аллильная группа мигрирует в орто-положение

Слайд 16Реакции электрофильного замещения в ароматическом кольце
Галогенирование
Галогенирование фенолов не требует катализа кислотами

Льюиса и легко осуществляется под действием молекулярного галогена. Галогенирование фенола молекулярным бромом или хлором в полярной среде практически невозможно остановить на стадии моногалогенирования, поскольку реагирующей частицей здесь является фенолят-ион, который содержит очень сильную активирующую группу –O-. Скорость галогенирования фенолят-иона по крайней мере в тысячу раз выше, чем фенола. Галогензамещенный фенол является более сильной кислотой, чем сам фенол, что облегчает введение второго и третьего атома галогена в орто- и пара-положения.

Реакции электрофильного замещения в ароматическом кольцеГалогенированиеГалогенирование фенолов не требует катализа кислотами Льюиса и легко осуществляется под действием

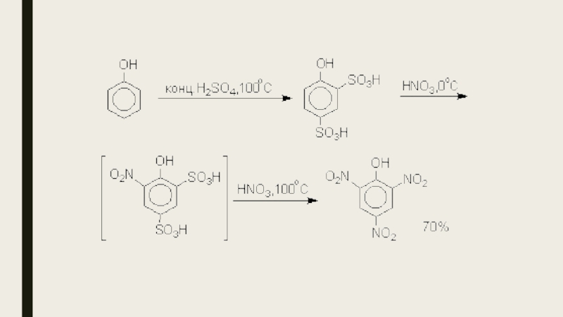
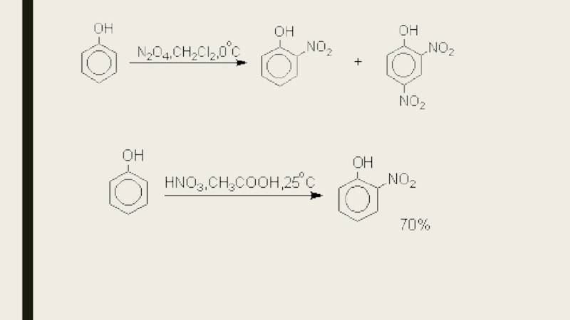
Слайд 20Нитрование

Нитрование

Слайд 23Сульфирование Моносульфирование фенола серной кислотой приводит к образованию смеси орто- и

пара-изомеров гидроксибензолсульфоксилоты. При 20оС в реакционной смеси содержится 49% орто-изомера и 51% пара-изомера, тогда как при 120оС доля пара-изомера возрастает до 96%
Сульфирование  Моносульфирование фенола серной кислотой приводит к образованию смеси орто- и пара-изомеров гидроксибензолсульфоксилоты. При 20оС в

Слайд 24Алкилирование и ацилирование по Фриделю-Крафтсу
Так как фенолы взаимодействуют с галогенидами алюминия

и другими кислотами Льюиса с образованием солей типа ArOAlCl2, прямое их алкилирование в условиях реакции Фриделя-Крафтса провести не удается. Фенолы алкилируют алкенами и спиртами в условиях кислотного катализа. 
Алкилирование и ацилирование по Фриделю-КрафтсуТак как фенолы взаимодействуют с галогенидами алюминия и другими кислотами Льюиса с образованием

Что такое shareslide.ru?

Это сайт презентаций, где можно хранить и обмениваться своими презентациями, докладами, проектами, шаблонами в формате PowerPoint с другими пользователями. Мы помогаем школьникам, студентам, учителям, преподавателям хранить и обмениваться учебными материалами.


Для правообладателей

Яндекс.Метрика

Обратная связь

Email: Нажмите что бы посмотреть