Презентация, доклад к уроку Кислотно-основные свойства гидроксидов

Содержание

Задание 1. Соотнесите:[H⁺] [ОHˉ] pH СредаI) 10ˉ¹² А)10ˉ¹¹ 1) 3 а) кислотнаяII) 10ˉ³

Слайд 1


Слайд 2Задание 1. Соотнесите:
[H⁺] [ОHˉ] pH

Среда
I) 10ˉ¹² А)10ˉ¹¹ 1) 3 а) кислотная
II) 10ˉ³ Б)10ˉ⁹ 2) 7 б) нейтральная
III) 10ˉ⁵ В)10ˉ⁷ 3) 12 в) щелочная
IV) 10ˉ⁷ Г) 10ˉ² 4) 5
Задание 1. Соотнесите:[H⁺]    [ОHˉ]    pH      СредаI)

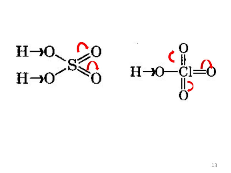
Слайд 3Задание 2 Составьте уравнения диссоциации гидроксидов, формулы которых: NaOH, H₂SO₄.
NaOH =

Na⁺ + OHˉ

I) H₂SO₄ = H⁺ + HSO₄ ˉ
II) HSO₄ ˉ = H⁺ + SO₄ ²ˉ

Na – O – H

Задание 2 Составьте уравнения диссоциации гидроксидов, формулы которых: NaOH, H₂SO₄.NaOH = Na⁺ + OHˉI) H₂SO₄ = H⁺

Слайд 4По каким направлениям протекает диссоциация гидроксидов?
Э – О – Н
по основному

типу
(разрыв связи Э – О)
Э – О – Н
по кислотному типу
(разрыв связи О – Н)

По каким направлениям протекает диссоциация гидроксидов?Э – О – Нпо основному типу(разрыв связи Э – О)Э –

Слайд 5Что определяет характер электролитической диссоциации соединений?

Что определяет характер электролитической диссоциации соединений?

Слайд 6Цель:
определить зависимость кислотно-основных свойств гидроксидов от положения элементов, образующих данные вещества,

в Периодической системе химических элементов и типа химической связи.
Цель:определить зависимость кислотно-основных свойств гидроксидов от положения элементов, образующих данные вещества, в Периодической системе химических элементов и

Слайд 7Тема урока
Кислотно-основные свойства гидроксидов

Тема урокаКислотно-основные свойства гидроксидов

Слайд 8Гидроксиды элементов третьего периода
+1

+2 +3 +4 +5 +6 +7
NaOH Mg(OH)₂ Al(OH)₃ H₂SiO₃ H₃PO₄ H₂SO₄ HClO₄




Как изменяется полярность связи
Э – О в периоде слева направо?
Гидроксиды элементов третьего периода+1           +2

Слайд 9 Na – O – H
2.5
1.4
1.4
1.4
1.4
0.9
0.67
2,27
Полярность связи
Э –

О уменьшается

Относительная полярность
связи О – Н по сравнению со связью Э – О возрастает

Возрастает способность
гидроксидов
к диссоциации по
кислотному типу

Na – O – H  2.51.41.41.41.40.90.672,27Полярность связи Э – О уменьшаетсяОтносительная полярностьсвязи О – Н

Слайд 10Гидроксиды элементов третьего периода
+1

+2 +3 +4 +5 +6 +7
NaOH Mg(OH)₂ Al(OH)₃ H₂SiO₃ H₃PO₄ H₂SO₄ HClO₄
?


?

Гидроксиды элементов третьего периода+1           +2

Слайд 11Задание 3
Приведенные формулы гидроксидов расположите в порядке увеличения кислотных свойств веществ:
H₂CO₃,

H₃BO₃, HNO₃, LiOH, Be(OH)₂


Ответ:
LiOH Be(OH)₂ H₃BO₃ H₂CO₃ HNO₃

Задание 3Приведенные формулы гидроксидов расположите в порядке увеличения кислотных свойств веществ:H₂CO₃, H₃BO₃, HNO₃, LiOH, Be(OH)₂ Ответ:LiOH Be(OH)₂

Слайд 12Физминутка

Физминутка

Слайд 14Задание 4 Расположите формулы в порядке увеличения силы кислот: HClO₃, HClO₂,

HClO₄, HClO.

Ответ: HClO, HClO₂, HClO₃, HClO₄

+1

+3

+5

+7

Задание 4 Расположите формулы в порядке увеличения силы кислот: HClO₃, HClO₂, HClO₄, HClO.Ответ: HClO, HClO₂, HClO₃, HClO₄+1+3+5+7

Слайд 15Mn(OH)₂ Mn(OH)₃ Mn(OH)₄ H₂MnO₄ HMnO₄
Вывод: с увеличением степени окисления элемента в

ряду его гидроксидов основные свойства ослабевают, а кислотные усиливаются

+ 2

+3

+4

+6

+7

Основание
средней
силы

Слабое
основание

Амфотерный
гидроксид

Сильная
кислота

Очень
сильная
кислота

Задание 5 Как изменятся в ряду гидроксидов кислотно-основные свойства?

Mn(OH)₂ Mn(OH)₃ Mn(OH)₄ H₂MnO₄ HMnO₄Вывод: с увеличением степени окисления элемента в ряду его гидроксидов основные свойства ослабевают,

Слайд 16Вывод: возрастает способность гидроксидов к диссоциации по основному типу.
+2
+2
+2
+2
2,03
2,27
2,46
2,53
Задание 6 Как

изменятся кислотно-основные свойства соединений в ряду
Вывод: возрастает способность гидроксидов к диссоциации по основному типу.+2+2+2+22,032,272,462,53Задание 6 Как изменятся кислотно-основные свойства соединений в ряду

Слайд 17 1. Кислотно-основные свойства гидроксидов зависят от взаимного влияния атомов в соединениях. 2.

Характер диссоциации определяется полярностью связей между атомами.

Выводы урока:

1. Кислотно-основные свойства гидроксидов зависят от взаимного влияния атомов в соединениях. 2. Характер диссоциации

Слайд 18Домашнее задание: стр. 71-72 (учебник), опорный конспект.

Домашнее задание: стр. 71-72 (учебник), опорный конспект.

Что такое shareslide.ru?

Это сайт презентаций, где можно хранить и обмениваться своими презентациями, докладами, проектами, шаблонами в формате PowerPoint с другими пользователями. Мы помогаем школьникам, студентам, учителям, преподавателям хранить и обмениваться учебными материалами.


Для правообладателей

Яндекс.Метрика

Обратная связь

Email: Нажмите что бы посмотреть