Презентация, доклад на тему Сумма и разность кубов

1)Для чего применяются формулы сокращенного умножения? (упрощения)2)Сумма одночленов.(многочлен)3)Удвоенное произведение числа 3.(6)4)Квадрат числа 3 (9)

Слайд 1

Кроссворд

Кроссворд

Слайд 31)Для чего применяются формулы сокращенного умножения?
(упрощения)
2)Сумма одночленов.
(многочлен)
3)Удвоенное произведение числа

3.
(6)
4)Квадрат числа 3
(9)
1)Для чего применяются формулы сокращенного умножения? (упрощения)2)Сумма одночленов.(многочлен)3)Удвоенное произведение числа 3.(6)4)Квадрат числа 3 (9)

Слайд 45)Вставьте пропущенное слово:
«Квадрат суммы двух чисел_________квадрату первого числа плюс удвоенное произведение

первого и второго чисел плюс квадрат второго числа»
(равен)

6) Вместо С подберите число так, чтобы выполнялось равенство

(один)




5)Вставьте пропущенное слово:«Квадрат суммы двух чисел_________квадрату первого числа плюс удвоенное произведение первого и второго чисел плюс квадрат

Слайд 57)Вставьте пропущенное слово: «Разность квадратов двух чисел равна__________ суммы этих чисел

и их разности».
(произведению)
8)Найдите пропущенное слово: «Квадрат разности двух чисел равен квадрату первого числа удвоенное произведение первого числа на второе плюс квадрат второго числа»
(минус)
7)Вставьте пропущенное слово: «Разность квадратов двух чисел равна__________ суммы этих чисел и их разности».(произведению)8)Найдите пропущенное слово: «Квадрат

Слайд 69)Определите знак:

(плюс)
10)Верно ли:
(4а-5b)(4а+5b)=
(верно)
11)Вместо буквы D подберите число так,чтобы выполнялось

равенство

(два)








9)Определите знак:(плюс)10)Верно ли:(4а-5b)(4а+5b)=  (верно)11)Вместо буквы D подберите число так,чтобы выполнялось равенство  (два)

Слайд 712) Вставьте пропущенное слово: «Сумма кубов двух чисел равна произведению суммы

этих чисел и _______квадрата их разности»
(неполный)
13) Куб числа 2
(восемь)
14) Верно ли(ответить «да» или «нет»)

(нет)



12) Вставьте пропущенное слово: «Сумма кубов двух чисел равна произведению суммы этих чисел и _______квадрата их разности»

Слайд 815) Вставьте пропущенное слово: «Разность кубов двух________равна произведению разности этих чисел

и неполного квадрата их суммы».
(чисел)

15) Вставьте пропущенное слово: «Разность кубов двух________равна произведению разности этих чисел и неполного квадрата их суммы».

Слайд 10Упростите выражение
1)

2) (3x+y)(

)

3)(3p-10q)( )






Упростите выражение1)2) (3x+y)(            )3)(3p-10q)(

Слайд 11Разложите на множители


=(b+2)(

)





Разложите на множители    =(b+2)(          )

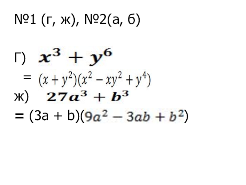
Слайд 12№1 (г, ж), №2(а, б)

Г)
=
ж)
= (3a + b)(

)















№1 (г, ж), №2(а, б)Г) =ж)= (3a + b)(

Слайд 13а)

=(m-1)(

)

б)

=(p-3q)( )








а)=(m-1)(           ) б)=(p-3q)(

Что такое shareslide.ru?

Это сайт презентаций, где можно хранить и обмениваться своими презентациями, докладами, проектами, шаблонами в формате PowerPoint с другими пользователями. Мы помогаем школьникам, студентам, учителям, преподавателям хранить и обмениваться учебными материалами.


Для правообладателей

Яндекс.Метрика

Обратная связь

Email: Нажмите что бы посмотреть