Презентация, доклад Тригонометрия в заданиях ЕГЭ

Содержание

Тригонометрия в заданиях ЕГЭ РЕШЕНИЕ ПРОСТЕЙШИХ ТРИГОНОМЕТРИЧЕСКИХ УРАВНЕНИЙ ЗАДАНИЕ В7 ПРЕОБРАЗОВАНИЕ ТРИГОНОМЕТРИЧЕСКИХ ВЫРАЖЕНИЙ ЗАДАНИЕ В11 ПРИКЛАДНЫЕ ЗАДАЧИ ТРИГОНОМЕТРИИ В ФИЗИКЕ ЗАДАНИЕ В12 ЭКСТРЕМАЛЬНЫЕ ЗАДАЧИ ТРИГОНОМЕТРИИ

Слайд 1Андреева Зинаида Маркеловна,
учитель математики,
МАОУ СОШ № 41 с. Аксаково

МР Белебеевский район РБ

2017г.

Тригонометрия
в заданиях
ЕГЭ

Андреева Зинаида Маркеловна, учитель математики, МАОУ СОШ № 41 с. Аксаково МР Белебеевский район РБ2017г.Тригонометрия в заданиях

Слайд 2Тригонометрия в заданиях ЕГЭ
РЕШЕНИЕ ПРОСТЕЙШИХ ТРИГОНОМЕТРИЧЕСКИХ УРАВНЕНИЙ ЗАДАНИЕ В7
ПРЕОБРАЗОВАНИЕ

ТРИГОНОМЕТРИЧЕСКИХ ВЫРАЖЕНИЙ ЗАДАНИЕ В11

ПРИКЛАДНЫЕ ЗАДАЧИ ТРИГОНОМЕТРИИ В ФИЗИКЕ ЗАДАНИЕ В12

ЭКСТРЕМАЛЬНЫЕ ЗАДАЧИ ТРИГОНОМЕТРИИ ЗАДАНИЕ В15



Содержание

Тригонометрия в заданиях ЕГЭ РЕШЕНИЕ ПРОСТЕЙШИХ ТРИГОНОМЕТРИЧЕСКИХ УРАВНЕНИЙ  ЗАДАНИЕ В7   ПРЕОБРАЗОВАНИЕ ТРИГОНОМЕТРИЧЕСКИХ ВЫРАЖЕНИЙ

Слайд 3РЕШЕНИЕ ПРОСТЕЙШИХ ТРИГОНОМЕТРИЧЕСКИХ УРАВНЕНИЙ ЗАДАНИЕ В7

РЕШЕНИЕ  ПРОСТЕЙШИХ ТРИГОНОМЕТРИЧЕСКИХ УРАВНЕНИЙ   ЗАДАНИЕ В7

Слайд 4Решим уравнение
и в ответе напишем наибольший отрицательный корень:

Решим уравнение и в ответе напишем наибольший отрицательный корень:

Слайд 5Уравнение мы решили, но в ответ надо записать наибольший отрицательный корень.


Для этого в уравнение вместо n надо подставлять следующие целые числа и считать результаты: 0, +1, -1, +2, -2, +3, -3 и т.д. до тех пор пока не найдете нужный Вам ответ:
Уравнение мы решили, но в ответ надо записать наибольший отрицательный корень. Для этого в уравнение вместо n

Слайд 6Наибольший отрицательный корень: -1,5.

Наибольший отрицательный корень:  -1,5.

Слайд 7Решим уравнение
и в ответе напишем наибольший отрицательный корень:
Уравнение мы

решили, но в ответ надо записать наибольший отрицательный корень.
Для этого в уравнение вместо n надо подставлять следующие целые числа и считать результаты: 0, +1, -1, +2, -2, +3, -3 и т.д. до тех пор пока не найдете нужный Вам ответ:
Решим уравнение и в ответе напишем наибольший отрицательный корень: Уравнение мы решили, но в ответ надо записать

Слайд 9Наибольший отрицательный корень: -0,25

Наибольший отрицательный корень: -0,25

Слайд 10Решим уравнение
и найдем наименьший положительный корень:
Уравнение мы решили, но

в ответ надо записать наибольший отрицательный корень.
Для этого в уравнение вместо n надо подставлять следующие целые числа и считать результаты: 0, +1, -1, +2, -2, +3, -3 и т.д. до тех пор пока не найдете нужный Вам ответ:
Решим уравнение и найдем наименьший положительный корень: Уравнение мы решили, но в ответ надо записать наибольший отрицательный

Слайд 11Наименьший положительный корень: х=6.

Наименьший положительный корень: х=6.

Слайд 12 ПРЕОБРАЗОВАНИЕ ТРИГОНОМЕТРИЧЕСКИХ ВЫРАЖЕНИЙ ЗАДАНИЕ В11

ПРЕОБРАЗОВАНИЕ ТРИГОНОМЕТРИЧЕСКИХ ВЫРАЖЕНИЙ   ЗАДАНИЕ В11

Слайд 13

Найдите значение выражения

.

Найдите значение выражения

Слайд 14

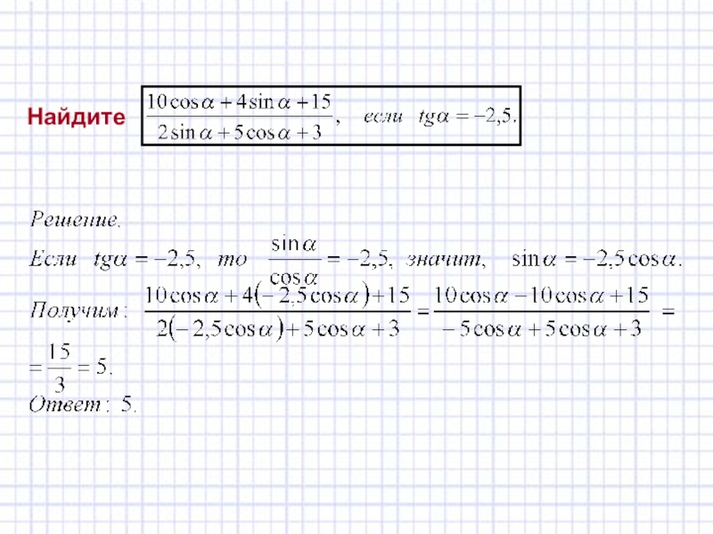
Найдите

Найдите

Слайд 15 ПРИКЛАДНЫЕ ЗАДАЧИ ТРИГОНОМЕТРИИ В ФИЗИКЕ ЗАДАНИЕ В12

ПРИКЛАДНЫЕ ЗАДАЧИ ТРИГОНОМЕТРИИ  В ФИЗИКЕ   ЗАДАНИЕ В12

Слайд 16Задача


Груз массой 0,08 кг колеблется на пружине со скоростью, меняющейся по закону

, где t — время в секундах. Кинетическая энергия

груза, измеряемая в джоулях, вычисляется по формуле ,

где m — масса груза (в кг), v — скорость груза (в м/с). Определите, какую долю времени из первой секунды после начала движения кинетическая

энергия груза будет не менее   Дж. Ответ выразите десятичной дробью, если нужно, округлите до сотых.
ЗадачаГруз массой 0,08 кг колеблется на пружине со скоростью, меняющейся по закону

Слайд 18 ЭКСТРЕМАЛЬНЫЕ ЗАДАЧИ ТРИГОНОМЕТРИИ ЗАДАНИЕ В15

ЭКСТРЕМАЛЬНЫЕ ЗАДАЧИ ТРИГОНОМЕТРИИ     ЗАДАНИЕ В15

Слайд 19Пример 1.


Найдите точку минимума функции

,

принадлежащую промежутку .



у'

у

0,5

0

-

+

Пример 1.Найдите точку минимума функции

Слайд 20Пример 2.


Найдите наибольшее значение функции

на отрезке

.









Пример 2.Найдите наибольшее значение функции на отрезке          .

Что такое shareslide.ru?

Это сайт презентаций, где можно хранить и обмениваться своими презентациями, докладами, проектами, шаблонами в формате PowerPoint с другими пользователями. Мы помогаем школьникам, студентам, учителям, преподавателям хранить и обмениваться учебными материалами.


Для правообладателей

Яндекс.Метрика

Обратная связь

Email: Нажмите что бы посмотреть