Презентация, доклад Показательные неравенства 11 класс

х≥0,25 х≥0… х>4 [0,5;1]нет решения[-2;2](-∞;-0,5)U(2;∞)Ответы

Слайд 1Математический диктант
Показательные неравенства

Математический диктантПоказательные неравенства

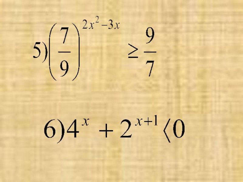
Слайд 6 х≥0,25
х≥0

х>4
[0,5;1]
нет решения
[-2;2]
(-∞;-0,5)U(2;∞)



Ответы

х≥0,25 х≥0… х>4 [0,5;1]нет решения[-2;2](-∞;-0,5)U(2;∞)Ответы

Что такое shareslide.ru?

Это сайт презентаций, где можно хранить и обмениваться своими презентациями, докладами, проектами, шаблонами в формате PowerPoint с другими пользователями. Мы помогаем школьникам, студентам, учителям, преподавателям хранить и обмениваться учебными материалами.


Для правообладателей

Яндекс.Метрика

Обратная связь

Email: Нажмите что бы посмотреть