Презентация, доклад по математике Свойство монотонности функции 11 класс

Содержание

Теоремы1. Если a>0, то равенство справедливо тогда и только тогда, когда t=S2. Показательное уравнение (где a>0,a ≠1) равносильно уравнению f(x)=g(x)3.Равенство , где a>0,a ≠1, t>0,S>0, справедливо тогда и только тогда, когда t=S

Слайд 1Использование свойства монотонности функции при решении уравнений с параметрами.
Воскресенская Светлана Юрьевна

Использование свойства монотонности функции при решении уравнений с параметрами.Воскресенская Светлана Юрьевна

Слайд 2Теоремы
1. Если a>0, то равенство
справедливо тогда и только

тогда, когда t=S
2. Показательное уравнение
(где a>0,a ≠1) равносильно уравнению f(x)=g(x)
3.Равенство
, где a>0,a ≠1, t>0,S>0, справедливо тогда и только тогда, когда t=S
Теоремы1. Если a>0, то равенство  справедливо тогда и только тогда, когда t=S2. Показательное уравнение  (где

Слайд 34. Если f(x)>0 и g(x)>0, то логарифмическое уравнение

(где

a>0,a ≠1) равносильно уравнению f(x)=g(x)
5.Обобщенное следствие монотонности функции.
Если f(t) монотонна на I C D(f) , то равенство f(u)=f(v) справедливо тогда и только тогда, когда u=v (u є I; v є I)

4. Если f(x)>0 и g(x)>0, то логарифмическое уравнение  (где a>0,a ≠1) равносильно уравнению f(x)=g(x)5.Обобщенное следствие монотонности

Слайд 41.Задание С5
При каких значениях параметра а уравнение
а) не имеет корней
б) имеет

корни
в) имеет более одного корня
1.Задание С5При каких значениях параметра а уравнениеа) не имеет корнейб) имеет корнив) имеет более одного корня

Слайд 5Решение

Так как
, то обозначим

Получим

РешениеТак как, то обозначим Получим

Слайд 6Решение
Рассмотрим функцию
D(f)=R
Функция возрастает на R как сумма возрастающих функций. (
f’(t) >0

при t є R, f(t)-возрастает на R)
Тогда по Т.5. получим т.к. f(v)=f(u), то v=u
РешениеРассмотрим функциюD(f)=RФункция возрастает на R как сумма возрастающих функций. (f’(t) >0 при t є R, f(t)-возрастает на

Слайд 7Решение
А)Уравнение не имеет корней, если D1

≤16
В)Уравнение имеет более 1 корня, если D1>0,a<16
РешениеА)Уравнение не имеет корней, если D10,a

Слайд 8Найдите все значения параметра a, при которых уравнение

Имеет более одного

корня

2

Найдите все значения параметра a, при которых уравнение Имеет более одного корня2

Слайд 9Решение

Пусть
a-3x=z, получим
Применим свойство монотонности функции(Т.5.). Рассмотрим функцию

При x є R, значит

,f(t) возрастает на R
РешениеПустьa-3x=z, получимПрименим свойство монотонности функции(Т.5.). Рассмотрим функциюПри x є R, значит ,f(t) возрастает на R

Слайд 10Решение
Тогда т.к. f(y)=f(z) , то y=z


Уравнение имеет более одного корня, если

D>0. D=9+16a
D>0; 9+16a>0; a>-9/16; a є (-9/16;+ ∞)
РешениеТогда т.к. f(y)=f(z) , то y=zУравнение имеет более одного корня, если D>0. D=9+16aD>0; 9+16a>0; a>-9/16; a є

Слайд 11Подобные задания
Найдите все значение параметра a , при которых уравнение
a)
имеет

более одного корня
б)
не имеет корней
Подобные заданияНайдите все значение параметра a , при которых уравнение a)имеет более одного корняб) не имеет корней

Слайд 12При каких значениях параметра a уравнение

имеет более 3-x решений
1)не имеет

решений
2)Имеет два решения
3)Имеет три решения

3

При каких значениях параметра a уравнение имеет более 3-x решений1)не имеет решений2)Имеет два решения3)Имеет три решения 3

Слайд 13Решение


Пусть
Применим Теорему 5.
f(t)- возрастает на R (см.пред.пример).
Т.к. f(y)=f(z),то

y=z, т.е.
РешениеПустьПрименим Теорему 5.  f(t)- возрастает на R (см.пред.пример). Т.к. f(y)=f(z),то y=z, т.е.

Слайд 14Решение
Решим уравнение графически

Решение Решим уравнение графически

Слайд 16Аналитический способ решения уравнения

Полученное уравнение должно иметь два различных положительных корня,


Тогда исходное уравнение будет иметь более трех корней .

Решая
систему
неравенств,
получим
0

Аналитический способ решения уравненияПолученное уравнение должно иметь два различных положительных корня, Тогда исходное уравнение будет иметь более

Слайд 174
Найдите наибольшее целое значение a, при котором уравнение




Имеет ровно два

различных решение
4Найдите наибольшее целое значение a, при котором уравнение Имеет ровно два различных решение

Слайд 18Решение

Решение

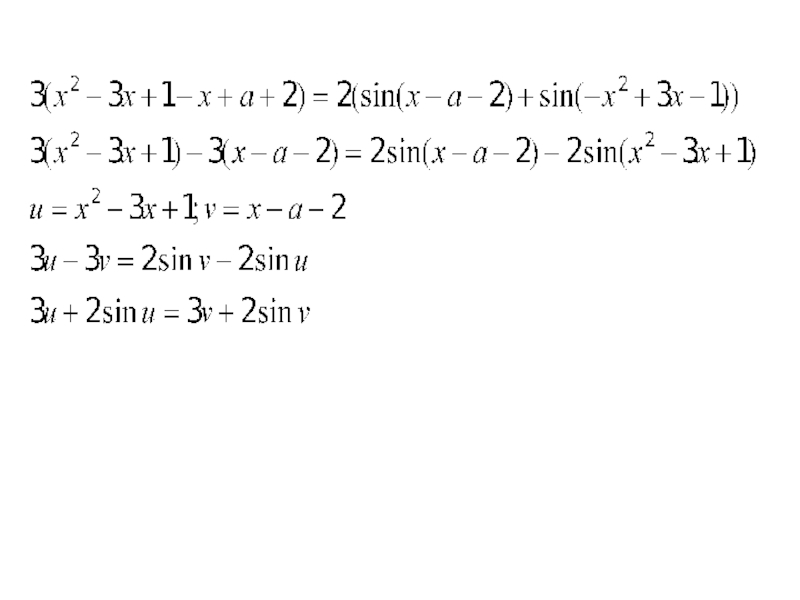
Слайд 20Применим Т.5. Пусть f(t)=3t+2sin t D(f)>0 ;f’(t)=3+2cos t -2≤2cos t≤2; 1≤3+2cos t≤5
f‘

(t)>0 при t є R
f(t)- возрастает на R , тогда, т.к. f(u)=f(v), то u=v

Применим Т.5.  Пусть f(t)=3t+2sin t D(f)>0 ;f’(t)=3+2cos t  -2≤2cos t≤2; 1≤3+2cos t≤5f‘ (t)>0 при t

Слайд 21Наибольшее целое значение a=0
Ответ:0

Наибольшее целое значение a=0Ответ:0

Слайд 22Благодарю за внимание!

Благодарю за внимание!

Что такое shareslide.ru?

Это сайт презентаций, где можно хранить и обмениваться своими презентациями, докладами, проектами, шаблонами в формате PowerPoint с другими пользователями. Мы помогаем школьникам, студентам, учителям, преподавателям хранить и обмениваться учебными материалами.


Для правообладателей

Яндекс.Метрика

Обратная связь

Email: Нажмите что бы посмотреть