Презентация, доклад по математике по теме Применение свойств степеней с натуральным показателем при решении уравнений (7 класс)

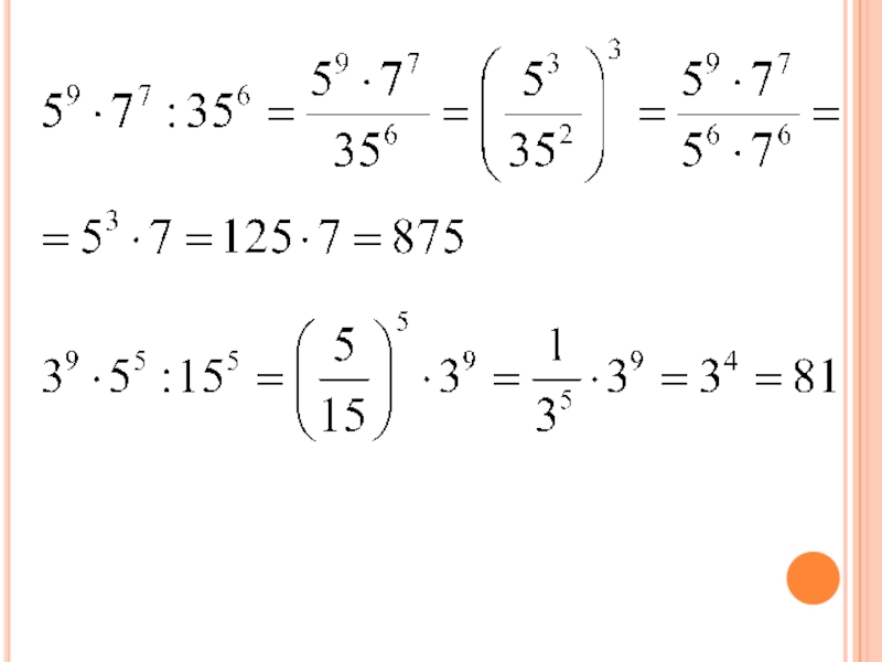
14.30 а)

Слайд 1 Г.ЗАРИНСК 2015
Применение свойств степеней
с натуральным показателем при решении уравнений
(7 класс УМК

А. Г. Мордкович, Н.П. Николаев)

МБОУ СОШ №7

Выполнила: учитель математики
Панина Наталья Александровна

Г.ЗАРИНСК 2015 Применение свойств степеней с натуральным показателем при решении уравнений(7 класс УМК А. Г. Мордкович,

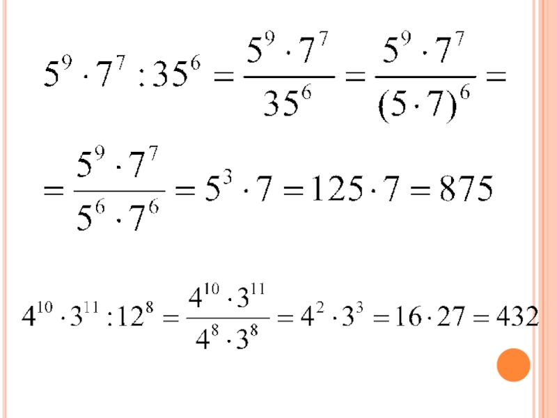
Слайд 214.30 а)

14.30 а)

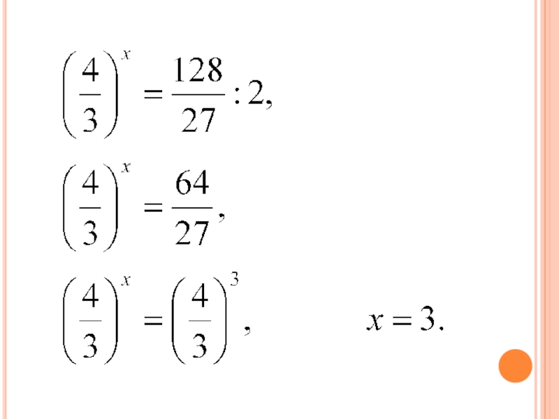
Слайд 5Ответ: 3

Ответ: 3

Слайд 8Используемая литература:

Алгебра. 7 класс. В 2ч. Задачник для учащихся общеобразовательных учреждений

/ А. Г. Мордкович, Н.П.Николаев. – М.:Мнемозина, 2009. – 207с. :ил.


Интернет источники:
http://opengia.ru/subjects/mathematics-11/topics/1 Открытый банк ЕГЭ

Используемая литература:Алгебра. 7 класс. В 2ч. Задачник для учащихся общеобразовательных учреждений / А. Г. Мордкович, Н.П.Николаев. –

Слайд 9 Г.ЗАРИНСК 2015
Применение свойств степеней
с натуральным показателем при решении уравнений
(7 класс УМК

А. Г. Мордкович, Н.П. Николаев)

МБОУ СОШ №7

Выполнила: учитель математики
Панина Наталья Александровна

Г.ЗАРИНСК 2015 Применение свойств степеней с натуральным показателем при решении уравнений(7 класс УМК А. Г. Мордкович,

Что такое shareslide.ru?

Это сайт презентаций, где можно хранить и обмениваться своими презентациями, докладами, проектами, шаблонами в формате PowerPoint с другими пользователями. Мы помогаем школьникам, студентам, учителям, преподавателям хранить и обмениваться учебными материалами.


Для правообладателей

Яндекс.Метрика

Обратная связь

Email: Нажмите что бы посмотреть