Презентация, доклад по математике на темуГеометрическое приложение определенного интеграла

Содержание

Укажите соответствующую функцию для графика1111А)Б)В)Г)Д)Е)У= х2y= log2xy= 2x

Слайд 1
Составьте обратную функцию
У= 3х-2
У= х3
У= 2х
У= log2x
y= lgx

Составьте обратную функцию У= 3х-2У= х3У= 2хУ= log2xy= lgx

Слайд 2Укажите соответствующую функцию для графика






1
1
1
1
А)
Б)
В)
Г)
Д)
Е)
У= х2
y= log2x
y= 2x

Укажите соответствующую функцию для графика1111А)Б)В)Г)Д)Е)У= х2y= log2xy= 2x

Слайд 3Указать первообразные для функции



Указать первообразные для функции

Слайд 4 Найти ошибки




Найти ошибки +С

Слайд 5Формула Ньютона - Лейбница



Формула Ньютона - Лейбница

Формула Ньютона - ЛейбницаФормула Ньютона - Лейбница

Слайд 6х≠0
х≠0
х≠0

х≠0х≠0х≠0

Слайд 70


0
1
-4
3
-1




001-43-1

Слайд 8Геометрическое приложение определенного интеграла

Геометрическое приложение определенного интеграла

Слайд 9Площадь плоской фигуры

Площадь плоской фигуры

Слайд 10Составить формулы для вычисления площадей заштрихованных фигур
-1
1
0
y=cosx

1)

Составить формулы для вычисления площадей заштрихованных фигур-110y=cosx1)

Слайд 11-1
-1
1
0
y=sinx


2)

-1-110y=sinx2)

Слайд 12y=x2
1
3)

y=x213)

Слайд 142
2
s2
s1
0
y=3x2
3




y=3(x-2)2

x
y
5)

22s2s10y=3x23y=3(x-2)2xy5)

Слайд 16Домашнее задание
Вычислить площади для рисунков с1 по4
Найти площадь фигуры, ограниченной

линиями
1) y=lnx, y=3x+4, y=-1, y=1
2) y=x2+5x-6, y=-x2-5x+22
Найти интегралы

Домашнее задание Вычислить площади для рисунков с1 по4Найти площадь фигуры, ограниченной линиями1) y=lnx, y=3x+4, y=-1, y=12) y=x2+5x-6,

Слайд 17Объем тела вращения

Объем тела вращения

Слайд 21V= abc = Sh
=h

V= abc = Sh=h

Слайд 22Y=f(x) – непрерывна и знакопостоянна на отрезке [a, b]

а
в



хi
R=f(xi)



y=f(x)

Y=f(x) – непрерывна и знакопостоянна на отрезке [a, b]авхiR=f(xi)y=f(x)

Слайд 23h→0













h→0

h→0h→0

Слайд 24

а
в











хi
xi+1
maxΔxi→0


Δxi
f(xi) ≈ f(xi+1)
Vi = Sh =πR2h = π f2(xi) Δxi
x0
xn
n→∞
y=f(x)

авхixi+1maxΔxi→0Δxif(xi) ≈ f(xi+1) Vi = Sh =πR2h = π f2(xi) Δxix0xnn→∞y=f(x)

Слайд 25х




х
у
с
d
x=g(y)

ххусdx=g(y)

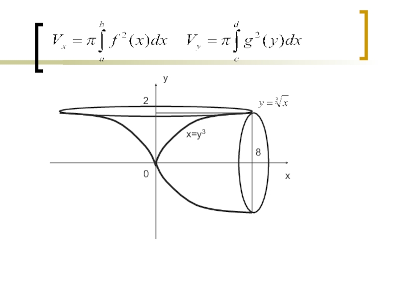
Слайд 27

8
0
х
у
2


х=у3

80ху2х=у3

Слайд 28
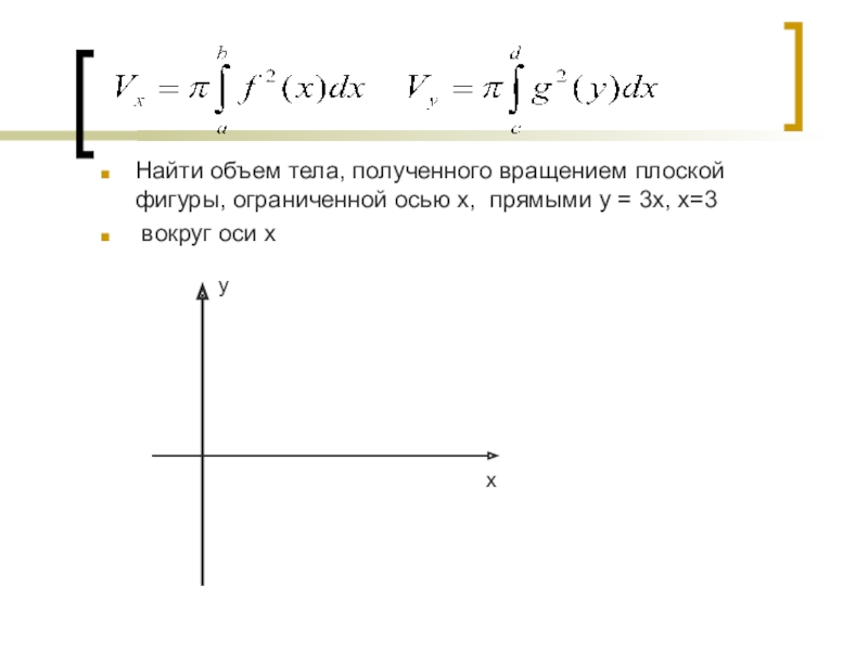
Найти объем тела, полученного вращением плоской фигуры, ограниченной осью х, прямыми

у = 3х, х=3
вокруг оси х



х

у

Найти объем тела, полученного вращением плоской фигуры, ограниченной осью х, прямыми у = 3х, х=3 вокруг оси

Слайд 29Найти объем тела, полученного вращением плоской фигуры вокруг оу, ограниченной линиями

у = lgx , y=0, y=1

Найти объем тела, полученного вращением плоской фигуры вокруг оу, ограниченной линиями у = lgx , y=0, y=1

x

y

Найти объем тела, полученного вращением плоской фигуры вокруг оу, ограниченной линиями у = lgx , y=0, y=1Найти

Слайд 30
Найти объем тела, полученного вращением плоской фигуры вокруг оси х, ограниченной

верхней полуокружностью х2 + у2 =25


х

у


5

0


-5

Найти объем тела, полученного вращением плоской фигуры вокруг оси х, ограниченной верхней полуокружностью х2 + у2 =25

Слайд 31
Найти объем тела, полученного вращением плоской фигуры вокруг ох, ограниченной линиями

у = х2 и


х

у

Найти объем тела, полученного вращением плоской фигуры вокруг ох, ограниченной линиями у = х2 и ху

Слайд 32Домашнее задание
Найти объем тела, полученного вращением плоской фигуры вокруг ох ,

ограниченной линиями у = х2 , х=2, х=4
Найти объем тела, полученного вращением плоской фигуры вокруг ох, ограниченной линиями y= cosx, осью х,
Найти объем тела, полученного вращением плоской фигуры вокруг ох и оу, ограниченной линиями у = х3 и у=4х

Домашнее заданиеНайти объем тела, полученного вращением плоской фигуры вокруг ох , ограниченной линиями у = х2 ,

Что такое shareslide.ru?

Это сайт презентаций, где можно хранить и обмениваться своими презентациями, докладами, проектами, шаблонами в формате PowerPoint с другими пользователями. Мы помогаем школьникам, студентам, учителям, преподавателям хранить и обмениваться учебными материалами.


Для правообладателей

Яндекс.Метрика

Обратная связь

Email: Нажмите что бы посмотреть