Презентация, доклад по математике на тему Теорема Виета

Содержание

По образованию был юристом, но глубокозанимался многиминауками, прежде всегоастрономией, астрологиейи даже криптографией(тайнописью). Всё это заставило Виета обратиться к тригонометрии и алгебре,в которых он сделал немало открытий.Франсуа Виет – французский учёный (1540 – 1603)

Слайд 11591-ый год. Франция. ГЕ́НРИХ IV-Великий 29 французский король

1591-ый год. Франция.  ГЕ́НРИХ IV-Великий 29 французский король

Слайд 2По образованию был
юристом, но глубоко
занимался многими
науками, прежде всего
астрономией, астрологией
и даже

криптографией
(тайнописью). Всё это
заставило Виета обратиться
к тригонометрии и алгебре,
в которых он сделал
немало открытий.

Франсуа Виет – французский учёный (1540 – 1603)


По образованию был юристом, но глубокозанимался многиминауками, прежде всегоастрономией, астрологиейи даже криптографией(тайнописью). Всё это заставило Виета обратиться

Слайд 31591-ый год. Франция.






х2 – 15х + 14 = 0;
9 – 2х2 – 3х = 0;
х2 + 8х + 7 = 0;
3х2 – 2х = 4;
6х2 – 2 = 6х;
х2 = - 9х – 20.

1591-ый год. Франция.          х2 – 15х + 14

Слайд 4 Квадратное уравнение.
ax2 + bx + c = 0

- oбщий вид квадратного уравнения, где коэффициенты а, b, с-любые действительные числа, причём а=0.


x2 + bx + c = 0 (а=1) - приведённое квадратное уравнение (а=1)
Квадратное уравнение.ax2 + bx + c = 0 - oбщий вид квадратного уравнения, где

Слайд 5x2 – 15x + 14 = 0;
9 – 2x2 –

3x = 0;
3) x2 + 8x + 7 = 0;
4) 3x2 – 2x = 4;
5) 6x2 – 2 = 6x;
6) x2 = - 9x – 20.
x2 – 15x + 14 = 0; 9 – 2x2 – 3x = 0;3) x2 + 8x

Слайд 6 I способ.

1 гр. 2 гр.
X2 – 15x + 14 = 0 9 – 2x2 – 3x = 0
X2 + 8x + 7 = 0 3x2 – 2x = 4
6x2 - 2 = 6x
x2 = - 9x – 20
II способ.
1 гр. 2 гр.
9 – 2x2 - 3x = 0 x2 – 15x + 14 = 0
3x2 – 2x = 4 x2 + 8x + 7 = 0
6x2 – 2 = 6x x2 = - 9x - 20
I способ.         1 гр.

Слайд 7Приведённые квадратные уравнения.

а=1

Заполните таблицу:

Приведённые квадратные уравнения.

Слайд 8Приведённые квадратные уравнения.

а=1

Заполните таблицу:

Приведённые квадратные уравнения.

Слайд 9Приведённые квадратные уравнения.

а=1

Заполните таблицу:

Приведённые квадратные уравнения.

Слайд 10Приведённые квадратные уравнения.

а=1

Заполните таблицу:

Приведённые квадратные уравнения.

Слайд 11Приведённые квадратные уравнения.

а=1

Заполните таблицу:

Приведённые квадратные уравнения.

Слайд 12Приведённые квадратные уравнения.

а=1

Заполните таблицу:

Приведённые квадратные уравнения.

Слайд 13Приведённые квадратные уравнения.

а=1

Заполните таблицу:

Приведённые квадратные уравнения.

Слайд 141.Если ли связь между столбцами таблицы?.
2.Найти связь между корнями и коэффициентами


приведённого квадратного уравнения .


1.Если ли связь между столбцами таблицы?.2.Найти связь между корнями и коэффициентами  приведённого квадратного уравнения .

Слайд 15Сумма корней приведённого квадратного уравнения равна второму коэффициенту, взятому с противоположным

знаком, а произведение корней равно свободному члену.
Сумма корней приведённого квадратного уравнения равна второму коэффициенту, взятому с противоположным знаком, а произведение корней равно свободному

Слайд 16

Пусть х1 и х2 – корни приведённого квадратного уравнения x2 +

px + q = 0,
тогда х1 + х2 = - p,
x1 ∙ x2 = q.
Пусть х1 и х2 – корни приведённого квадратного уравнения x2 + px + q = 0, тогда

Слайд 17ax2 + bx + c =0-oбщий вид квадратного уравнения.
x2 + b/ax

+ c/a = 0
x2 + px + q = 0

ax2 + bx + c =0-oбщий вид квадратного уравнения.x2 + b/ax + c/a = 0x2 + px

Слайд 18Пусть х1 и х2 – корни квадратного уравнения
aх2 + bx

+ c = 0, тогда
x1 + x2 = - b/a,
x1 ∙ x2 = c/a.

Пусть х1 и х2 – корни квадратного уравнения aх2 + bx + c = 0, тогда

Слайд 19 х2 + px + q =

0, Пусть х1 и х2 – корни приведенного квадратного уравнения х2 + px + q = 0, тогда x1 + x2 = - p, x1 ∙ x2 = q.

ax2 + bx + c =0-oбщий вид квадратного уравн.
x2 + b/ax + c/a = 0
x2 + px + q = 0
ax2 + bx + c = 0
Пусть х1 и х2 – корни квадратного уравнения
aх2 + bx + c = 0, тогда
x1 + x2 = - b/a,
x1 ∙ x2 = c/a.

х2 + px + q = 0,  Пусть х1 и х2

Слайд 20 Теорема Виета.
Пустьх1 и х2 – корни квадратного

уравнения
aх2 + bx + c = 0,
тогда сумма корней равна - b/a
( x1 + x2 = - b/a),
а произведение корней равно с/а
(x1 ∙ x2 = c/a).

Теорема Виета.Пустьх1 и х2 – корни квадратного уравнения aх2 + bx + c

Слайд 21 x2+b/ax+c/a=0
По праву достойна в стихах быть воспета
О свойствах корней теорема

Виета.
Что лучше скажи, постоянства такого:
Умножишь ты корни и дробь уж готова?
В числителе c, в знаменателе a.
А сумма корней тоже дроби равна.
Хоть с минусом дробь, что за беда
В числителе b в знаменателе a.
x2+b/ax+c/a=0По праву достойна в стихах быть воспетаО свойствах корней теорема Виета.Что лучше скажи, постоянства такого:Умножишь ты

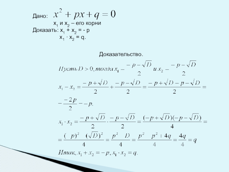
Слайд 22Дано:
х1 и х2

– его корни
Доказать: х1 + х2 = - р
х1 ∙ х2 = q.

Доказательство.

Дано:       х1 и х2 – его корниДоказать: х1 + х2 =

Слайд 23Доказательство теоремы:
Дано: аx2+bx +c = 0,

x1 и x2 – корни.
Доказать: x1 + x2 = - b/а, х1 х2 = c/а.
Доказательство:















Доказательство теоремы:    Дано: аx2+bx +c = 0,  x1 и x2 – корни.

Слайд 24 Образец записи
1.Найти сумму и произведение корней квадратного уравнения
x2

+ p x + q = 0,
х2 -4 х +3= 0;
х1 + х2 = - р=4
х1 ∙ х2 = q =-6
х1 =
х2 =

2.Сконструировать уравнение по его корням.
х1 = -2, х2 =5
х1 + х2 = -2+5= 3 = - р; р=-3
х1 ∙ х2 = -2 ∙ 5=-10=q

x2 + p x + q = 0,
х2 - 3 x -10 = 0.

3.Решить у доски три уравнения (D>0,D=0,D<0)
а) х2 + 5х – 6 = 0;
б) y2 – 10y + 25 = 0;
в) х2 + 9х + 22 = 0.



Образец записи1.Найти сумму и произведение корней квадратного уравненияx2 + p x + q =

Слайд 25Рефлексия.

Кто же запомнил теорему Виета?
Когда можно её применять?
D≥0
Зачем нужна?
Упрощает решение квадратных

уравнений

Рефлексия.Кто же запомнил теорему Виета?Когда можно её применять?D≥0Зачем нужна?Упрощает решение квадратных уравнений

Слайд 26Для составления квадратного уравнения по заданным корням.
ЗАДАЧА: Составить квадратное уравнение, корнями

которого являются числа 8 и – 5.
По формулам Виета имеем:
-р = 8 + (- 5) и q = 8 ⋅ (- 5)
р = - 3 q = - 40

Уравнение имеет вид:


Для составления квадратного уравнения по заданным корням.ЗАДАЧА: Составить квадратное уравнение, корнями которого являются числа 8 и –

Слайд 33 Теорема Виета.
Пустьх1 и х2 – корни квадратного

уравнения
aх2 + bx + c = 0,
тогда сумма корней равна - b/a
( x1 + x2 = - b/a),
а произведение корней равно с/а
(x1 ∙ x2 = c/a).

Теорема Виета.Пустьх1 и х2 – корни квадратного уравнения aх2 + bx + c

Слайд 34Доказательство теоремы:
Дано: аx2+bx +c = 0,

x1 и x2 – корни.
Доказать: x1 + x2 = - b/а, х1 х2 = c/а.
Доказательство:















Доказательство теоремы:    Дано: аx2+bx +c = 0,  x1 и x2 – корни.

Слайд 35Замечание 1.
Теорема Виета справедлива и в том случае, когда квадратное

уравнение имеет один корень(т.е.когда D=0), просто в этом случае считают, что уравнение имеет два одинаковых корня, к которым и применяют указанные выше соотношения.
Замечание 1. Теорема Виета справедлива и в том случае, когда квадратное уравнение имеет один корень(т.е.когда D=0), просто

Слайд 36Приведённые квадратные уравнения.

а=1

Заполните таблицу:

Приведённые квадратные уравнения.

Слайд 37Найдите связь между корнями и коэффициентами приведённого квадратного уравнения .

Заполните таблицу:

Найдите связь между корнями и коэффициентами приведённого квадратного уравнения .Заполните таблицу:

Слайд 38Сумма корней приведённого квадратного уравнения равна второму коэффициенту, взятому с противоположным

знаком, а произведение корней равно свободному члену.
Сумма корней приведённого квадратного уравнения равна второму коэффициенту, взятому с противоположным знаком, а произведение корней равно свободному

Слайд 39 x2+b/ax+c/a=0
По праву достойна в стихах быть воспета
О свойствах корней теорема

Виета.
Что лучше скажи, постоянства такого:
Умножишь ты корни и дробь уж готова?
В числителе c, в знаменателе a.
А сумма корней тоже дроби равна.
Хоть с минусом дробь, что за беда
В числителе b в знаменателе a.
x2+b/ax+c/a=0По праву достойна в стихах быть воспетаО свойствах корней теорема Виета.Что лучше скажи, постоянства такого:Умножишь ты

Слайд 40Доказательство теоремы:
Дано: x2+bx +c = 0,

x1 и x2 – корни.
Доказать: x1 + x2 = - b, х1 х2 = c.
Доказательство:















Доказательство теоремы:    Дано: x2+bx +c = 0,  x1 и x2 – корни.

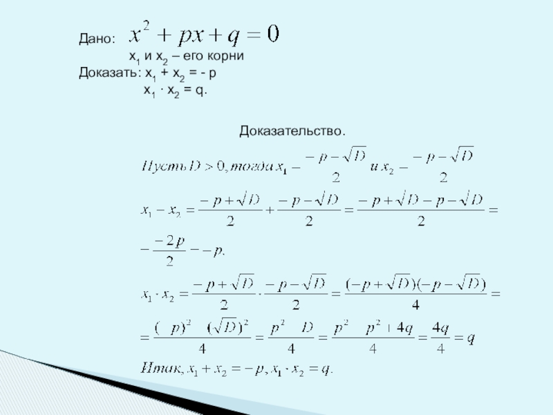
Слайд 41Дано:
х1 и х2

– его корни
Доказать: х1 + х2 = - р
х1 ∙ х2 = q.

Доказательство.

Дано:       х1 и х2 – его корниДоказать: х1 + х2 =

Слайд 42Теорема Виета

Теорема Виета

Слайд 43Исследование – поиск путей решения проблемы.

План исследования.
Решите каждое квадратное уравнение известным вам способом.
Заполните рабочий лист.
Сравните результаты колонок №2 и №5 по каждому уравнению, найдите закономерность, сделайте вывод.
Сравните результаты колонок №3 и №6 по каждому уравнению, найдите закономерность, сделайте вывод.
Ответьте на вопрос урока.
Подготовьте отчет.
Одна из групп, составленная из более сильных учащихся, проводит исследование и на листах формата А3 выполняет дополнительное задание, связанное с нахождением суммы и произведения корней приведенного квадратного уравнения в общем виде.
Исследование – поиск путей решения проблемы.          План исследования.Решите

Слайд 44
Родился в 1540 году во Франции в Фонтене-ле-Конт. По профессии адвокат.

В свободное время Виет занимается астрономией. Изучив ещё в молодости Коперникову систему мира, заинтересовался астрономией. Занятия астрономией требовали знания тригонометрии и алгебры. Виет занимался ими и вскоре пришёл к выводу, что необходимо усовершенствовать алгебру и тригонометрию, над чем и проработал ряд лет.
Виет, не прекращая адвокатской деятельности, много лет был советником короля Георга III и Георга IV, постоянно был занят государственной службой. Несмотря, на это, всю жизнь занимался математикой, занимался настойчиво, упорно, сумел добиться выдающихся результатов. Основные свои идеи изложил в труде “Введение в аналитическое искусство”.
. И другие достижения Франсуа Виета.
Родился в 1540 году во Франции в Фонтене-ле-Конт. По профессии адвокат. В свободное время Виет занимается астрономией.

Слайд 45Дано:


Доказать:
Доказательство

Теорема, обратная Т. Виета

Дано:                Доказать:ДоказательствоТеорема,

Слайд 46Решить уравнение:

Решить уравнение:

Слайд 47а) для решения уравнений

Применение теоремы Виета:

а) для решения уравненийПрименение теоремы Виета:

Слайд 48б) для решения систем уравнений:


б) для решения систем уравнений:

Слайд 49Для составления квадратного уравнения по заданным корням.
ЗАДАЧА: Составить квадратное уравнение, корнями

которого являются числа 8 и – 5.
По формулам Виета имеем:
-р = 8 + (- 5) и q = 8 ⋅ (- 5)
р = - 3 q = - 40

Уравнение имеет вид:


Для составления квадратного уравнения по заданным корням.ЗАДАЧА: Составить квадратное уравнение, корнями которого являются числа 8 и –

Слайд 50 стр 150 – 151.

Теорема Виета для полного квадратного уравнения.

Работа

с учебником:
стр 150 – 151. Теорема Виета для полного квадратного уравнения.Работа с учебником:

Слайд 51Попробуй реши!
Заполните таблицу

Попробуй реши!Заполните таблицу

Слайд 521 случай:


2 случай:
Это интересно (дополнительные сведения о нахождении корней квадратного уравнения

в особых случаях):
1 случай:2 случай:Это интересно (дополнительные сведения о нахождении корней квадратного уравнения в особых случаях):

Слайд 53Нахождение корней приведенного квадратного уравнения с чётным коэффициентом q: х²+px+q=0. Здесь

полезно воспользоваться формулой:




Формула запоминается надолго, если выучить ее в стихотворной форме:



Нахождение корней приведенного квадратного уравнения с чётным коэффициентом q: х²+px+q=0. Здесь полезно воспользоваться формулой:Формула запоминается надолго, если

Слайд 54«Пэ», со знаком взяв обратным,
Мы на два его разделим.
Корень от него

со знаком минус-плюс
Мы аккуратненько отделим.
А под корнем, очень кстати,
Половина «пэ» в квадрате,
Минус «ку». И вот решенье
Небольшого уравненья.

Стихотворение для запоминания формулы

«Пэ», со знаком взяв обратным,Мы на два его разделим.Корень от него со знаком минус-плюс Мы аккуратненько отделим.А

Слайд 55П 24 стр 150 - 151
№ 961,
963
Написать реферат на одну из

тем:
«Применение теоремы Виета»
«Утверждения, следующие из теоремы Виета»
«Корни квадратного уравнения и теорема Виета»
«Что нового я узнал, благодаря теореме Виета»
«Вокруг теоремы Виета»

Домашнее задание:

П 24 стр 150 - 151№ 961,963Написать реферат на одну из тем:				«Применение теоремы Виета»				«Утверждения, следующие из теоремы

Слайд 56

Ребята, вы сегодня молодцы!
До новых встреч!

Ребята, вы сегодня молодцы!До новых встреч!

Слайд 571. Квадратное.
2. Приведенное.
3. Равносильное.
4. Коэффициент.
5. Корень.
6. Уравнение.
7. Арифметический.
8. Диофант.
9. Неполное.
10. Различитель.
11.

Свободный.
12. Виет.
В выделенном столбце : ДИСКРИМИНАНТ

Ответы к кроссворду:


1. Квадратное.2. Приведенное.3. Равносильное.4. Коэффициент.5. Корень.6. Уравнение.7. Арифметический.8. Диофант.9. Неполное.10. Различитель.11. Свободный.12. Виет.В выделенном столбце : ДИСКРИМИНАНТОтветы

Слайд 58Проверь:


Данное квадратное уравнение не является приведённым!
Д

Проверь:Данное квадратное уравнение не является приведённым!Д

Слайд 59К середине XVI века в Европе уже успешно применяли буквы для

обозначения неизвестных и специальные значки для некоторых операций и отношений. Но долго никто не догадывался, что огромный шаг можно будет сделать, если условиться обозначать буквами не только неизвестные, но и коэффициенты при них.
Впервые это сделал знаменитый французский учёный Франсуа Виет (1540 – 1603), которого именно за это новшество называют «отцом алгебры».
Сам «отец алгебры» не признавал слово «алгебра», считал его языческим, варварским. То, чем он занимался, Франсуа Виет называл «аналитическим искусством»

Историческая справка:


К середине XVI века в Европе уже успешно применяли буквы для обозначения неизвестных и специальные значки для

Слайд 60Посредством уравнений, теорем
Он уйму всяких разрешал проблем:
И засуху предсказывал и ливни.
Поистине

его познанья дивны.
Д. Чосер



(Джефри Чосер (1340 – 1400) – английский поэт)

Посредством уравнений, теоремОн уйму всяких разрешал проблем:И засуху предсказывал и ливни.Поистине его познанья дивны.

Слайд 611. Уравнение вида ах²+вх+с=о
2.Квадратные уравнения, у которых первый коэффициент равен 1.
3.

Уравнения с одной переменной, имеющие одни и те же корни.
4. Числа а,в и с в квадратном уравнении.
5. Значение переменной, при котором уравнение обращается в верное равенство.
6. Равенство, содержащее неизвестное.
7. Неотрицательное значение квадратного корня.
8. Древнегреческий математик, который нашел приемы решения квадратных уравнений без обращения к геометрии.
9. Квадратное уравнение, в котором хотя бы один из коэффициентов в или с равен 0.
10. «Дискриминант» - по-латыни.
11. Коэффициент с квадратного уравнения.
12. Французский математик, который вывел формулы, выражающие зависимость корней уравнения от его коэффициентов.

Если вы разгадаете этот кроссворд верно, то сможете в выделенном вертикальном столбце прочитать термин, относящийся к теме.

Кроссворд


1. Уравнение вида ах²+вх+с=о2.Квадратные уравнения, у которых первый коэффициент равен 1.3. Уравнения с одной переменной, имеющие одни

Что такое shareslide.ru?

Это сайт презентаций, где можно хранить и обмениваться своими презентациями, докладами, проектами, шаблонами в формате PowerPoint с другими пользователями. Мы помогаем школьникам, студентам, учителям, преподавателям хранить и обмениваться учебными материалами.


Для правообладателей

Яндекс.Метрика

Обратная связь

Email: Нажмите что бы посмотреть