Презентация, доклад по геометрии 11 класс на тему Простейшие задачи в координатах

Проверка домашнего задания:

Слайд 1Е-майл: gas-50@mail.ru Гаврилов А.С.
Простейшие задачи в координатах.
Домашнее задание:
§ 49, №

424(б,в), 425(а), № 426, 429.

Проверка домашнего задания.

№ 412, 418(б,в).

№ 419.

Е-майл: gas-50@mail.ru Гаврилов А.С.Простейшие задачи  в координатах. Домашнее задание:§ 49, № 424(б,в), 425(а), № 426, 429.Проверка

Слайд 3Проверка домашнего задания:

Проверка домашнего задания:

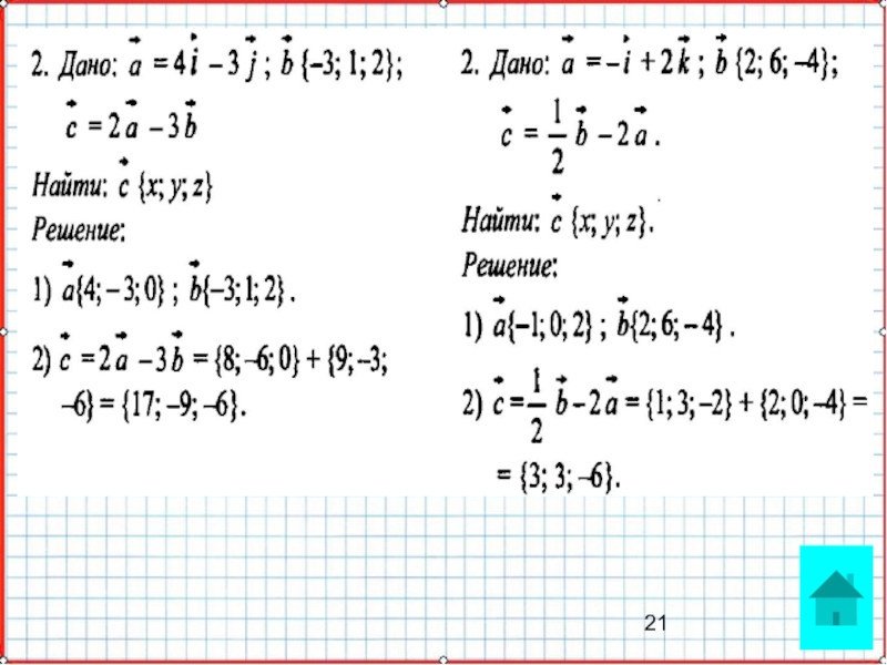
Слайд 4Разобрать решение задач:

Разобрать решение задач:

Слайд 7
Контролирующая самостоятельная работа.
Задание 1.
Задание 2.
Задание 3.

Контролирующая самостоятельная работа.Задание 1.Задание 2.Задание 3.

Слайд 8
Контролирующая самостоятельная работа.
Задание 1.
Задание 2.
Задание 3.

Контролирующая самостоятельная работа.Задание 1.Задание 2.Задание 3.

Слайд 9Изучение нового материала.

Изучение нового материала.

Слайд 12Закрепление изученного материала.

Закрепление изученного материала.

Слайд 16Спасибо за урок!

Спасибо за урок!

Слайд 17Методическое пособие:

Методическое пособие:

Слайд 23Меня зовут Александр Сергеевич. Проработал в школе 40 лет. В настоящее

время на пенсии, имею инвалидность, перенес обширный инфаркт. Появилось свободное время и работаю над презентациями для уроков. Если Вас устраивает моя презентация, вы её скачали и пользуетесь ей, то прошу перечислить на мой номер телефона +79209263595 сумму в размере 10 рублей. Извините, что прошу оплату, но другого способа заработать хоть какие-то средства, я не вижу.
С уважением Гаврилов А.С.
Меня зовут Александр Сергеевич. Проработал в школе 40 лет. В настоящее время на пенсии, имею инвалидность, перенес

Что такое shareslide.ru?

Это сайт презентаций, где можно хранить и обмениваться своими презентациями, докладами, проектами, шаблонами в формате PowerPoint с другими пользователями. Мы помогаем школьникам, студентам, учителям, преподавателям хранить и обмениваться учебными материалами.


Для правообладателей

Яндекс.Метрика

Обратная связь

Email: Нажмите что бы посмотреть