Презентация, доклад по алгебре по теме: Первообразная и интеграл (11 класс)

Содержание

СодержаниеПервообразнаяИнтеграла) неопределённыйб) определённый

Слайд 1Первообразная
и интеграл
11 класс
Разработано учителем математики

Мавриной Т.В.
Первообразная и интеграл11 классРазработано учителем математики      Мавриной Т.В.

Слайд 2Содержание
Первообразная
Интеграл
а) неопределённый
б) определённый

СодержаниеПервообразнаяИнтеграла) неопределённыйб) определённый

Слайд 3

Первообразная

Первообразная

Слайд 4Определение
Функция F(х) называется первообразной функции f(х) на промежутке Х, если


На

практике промежуток Х обычно не указывают, но подразумевают (область определения функции).
Например: функция у = х² является первообразной для функции у=2х, т.к. для любого х справедливо
(х²)´ = 2х.
ОпределениеФункция F(х) называется первообразной функции f(х) на промежутке Х, если На практике промежуток Х обычно не указывают,

Слайд 5Теорема 1
Если функция f(х) непрерывна при

, то для f(х) существует первообразная F(х) на Х.

Теорема 1Если функция f(х) непрерывна при

Слайд 6Теорема 2
Если F(x) одна из первообразных функции f(x), на промежутке Х,

то у функции у = f(x) бесконечно много первообразных, и все они имеют вид у = F(x)+C.

Теорема 2Если F(x) одна из первообразных функции f(x), на промежутке Х,   то у функции у

Слайд 7Таблица первообразных
Зная формулы для нахождения производных, можно составить таблицу

для нахождения первообразных






Таблица первообразных  Зная формулы для нахождения производных, можно составить таблицу для нахождения первообразных

Слайд 8Правила нахождения первообразных
Первообразная суммы равна сумме первообразных
Если F(x) – первообразная для

f(x), то к·F(x) – есть первообразная для к· f(x).
Если F(x) – первообразная для f(x), то первообразной для функции у= f(кx+m) служит функция у = 1/к· F(кx+ m)
Правила нахождения первообразныхПервообразная суммы равна сумме первообразныхЕсли F(x) – первообразная для f(x), то к·F(x) – есть первообразная

Слайд 9Найдём одну из первообразных
Если f(x) равно:
1) f(x)=2х+х³
2) f(x)=4х-2
3) f(x)=х³-3х²+х-1
4) f(x)=4х⁵+2х+е
5) f(x)=х⁴+3х²+5
6)

f(x)=5cosx-3sin2x

Значит F(x) равно:
F(x)= х²+х⁴⁄4
F(x)=2х²-2х
F(x)=х⁴⁄4-2х³+х²⁄2-х
F(x)=2х⁶⁄3+х²+ех
F(x)=х⁵⁄5+х³+5х
F(x)=5sinx+3/2cosx

Найдём одну из первообразныхЕсли f(x) равно:1) f(x)=2х+х³2) f(x)=4х-23) f(x)=х³-3х²+х-14) f(x)=4х⁵+2х+е5) f(x)=х⁴+3х²+56) f(x)=5cosx-3sin2xЗначит F(x) равно:F(x)= х²+х⁴⁄4F(x)=2х²-2хF(x)=х⁴⁄4-2х³+х²⁄2-хF(x)=2х⁶⁄3+х²+ехF(x)=х⁵⁄5+х³+5хF(x)=5sinx+3/2cosx

Слайд 10Ответить на вопрос: какая функция является перообразной для функции

f(x)= 2sinx – cosx?

А) cosx - 2sinx
Б) 2cosx - sinx
В) -2cosx - sinx
Г) –cosx + 2sinx
Ответ: в

Ответить на вопрос:  какая функция является перообразной для функции

Слайд 11Выберите ответ, при котором предложение будет верно.
Функция F(x)

является первообразной для функции f(x),
если: А) F'(x) = f(x)
Б) F'(x) = - f(x)
В) f'(x) = F(x)
Г) f(x) = F(x)
Ответ: А
Выберите ответ, при котором предложение будет верно.    Функция F(x) является    первообразной

Слайд 12Ответить на вопрос: для какой функции первообразной является функция

F(x)=2x³+6x²+x-9?

А) f(x) = 1/4·x⁴+2x³+x²-9x
Б) f(x) = 2x⁴+6x³+x²-9x
В) f(x) = 6x²+12x+1
Г) f(x) = x⁴⁄2+2x³+1/2·x²-9x
Ответ: Г

Ответить на вопрос:   для какой функции первообразной  является функция  F(x)=2x³+6x²+x-9?А) f(x) = 1/4·x⁴+2x³+x²-9xБ)

Слайд 13Ответить на вопрос: производная какой из функций равна у = 4х

- 3х²?

А) F(x) = 2x³-2x²+C
Б) F(x) = 2x²-1/3·x+C
В) F(x) = 2x²-x³+C
Г) F(x) = 4x²-x⁴+C
Ответ: В

Ответить на вопрос: производная какой из функций равна у = 4х - 3х²?А) F(x) = 2x³-2x²+CБ) F(x)

Слайд 14Задание №1. Найдите первообразную функции f(x), график которой проходит через точку

А.

а) f(x)=5х+х², А(0;3) б) f(x)=3х - 5, А(4;10)
Решение. а) Найдём первообразные
F(x)= 5х²⁄2+х³⁄3+ С, где С – произв.число.
Найдём это С:
т.к. график проходит через точку А(0;3), то
F(0)= 5·0²⁄2+0³⁄3+ С = С и равно 3. С=3
Значит производная, график которой проходит через т. А, имеет вид:
F(x)= 5х²⁄2+х³⁄3+3.

Задание №1. Найдите первообразную функции f(x), график которой проходит через точку А.а) f(x)=5х+х², А(0;3)

Слайд 15б) f(x)=3х - 5, А(4;10)
Решение. F(x)= 3х²⁄2-5х+С, где С –

произв. число.
F(4)= 3·4²⁄2-5·4+С=24-20+С=4+С и
4+С=10 => С=6, тогда
F(x)= 3х²⁄2-5х+6
Ответ: F(x)= 3х²⁄2-5х+6
б) f(x)=3х - 5, А(4;10) Решение. F(x)= 3х²⁄2-5х+С, где С – произв. число. F(4)= 3·4²⁄2-5·4+С=24-20+С=4+С и

Слайд 16Самостоятельно
Найдите первообразную функции f(x), график которой проходит через точку А, если:

1) f(x)=х²-5, А(3;4)
2) f(x)=2х²+3, А(-2;-5)
3) f(x)=(х-2)², А(0;2)
4) f(x)=cos3x, А(0;1)

СамостоятельноНайдите первообразную функции f(x), график которой проходит через точку А, если:  1) f(x)=х²-5, А(3;4)

Слайд 17Проверим ответы
1) F(x)= х³⁄3 - 5х + 10
2) F(x)= 2х³⁄3 +

3х + 6(1/3)
3) F(x)= х³⁄3 - 2х² + 4х + 2
4) F(x)= 1/3·sin3x + 1

Проверим ответы1) F(x)= х³⁄3 - 5х + 102) F(x)= 2х³⁄3 + 3х + 6(1/3)3) F(x)= х³⁄3 -

Слайд 18Задание №2. Найдите первообразную функции f(x), значение которой при х =

х₀ равно у₀.

а) f(x)=10х⁴+х; х₀=0; у₀=6
Решение. F(x)= 10х⁵⁄5 + х²⁄2 + С =
= 2х⁵+ х²⁄2 +С, где С – произв. число.
Найдём С. Т.к. по условию F(x₀)=у₀,
то F(0)=2·0⁵+0²⁄2+С=С и равно у₀= 6.
Значит ответ: F(x)=2х⁵+х²⁄2+6

Задание №2. Найдите первообразную функции f(x), значение которой при х = х₀ равно у₀.   а)

Слайд 19б) f(x)=2sin3x+4cos(x/2); х₀=π⁄3; у₀=0
Решение.
F(x)=-2·1/3·cos3x+4·2 sin(x/2)+С=
=-2/3·cos3x+8· sin(x/2)+С, где С-

пр. ч.
Найдём С. Т.к. по условию F(x₀)=у₀,
то F(π⁄3)=-2/3·cos π+8sin(π/6)+С=
=2/3+8·1/2+С=4(2/3)+С и равно 0.
Тогда С = -4(2/3).
Значит F(x)=-2/3·cos3x+8· sin(x/2)-4(2/3)
б) f(x)=2sin3x+4cos(x/2);  х₀=π⁄3; у₀=0Решение.  F(x)=-2·1/3·cos3x+4·2 sin(x/2)+С==-2/3·cos3x+8· sin(x/2)+С, где С- пр. ч.Найдём С.  Т.к. по

Слайд 20в) f(x)=4+6х²; х₀=2; у₀

Найдём С: т.к. F(х₀)= у₀ , то
F(2)= 4·2+6·2³⁄3+С= 8+16+С=24+С
и 24+С <0 => С <-24.
Пусть это будет (-25).
Тогда ответ F(x)= 4х+6х³⁄3-25
в) f(x)=4+6х²;  х₀=2; у₀

Слайд 21г) f(x)=2х³+х²+3; х₀=1; у₀>0
Решение. F(x)= 2х⁴⁄4+х³⁄3+3х+С, где С- пр.ч.
Найдём

С.
F(1)= 2·1⁴⁄4+1³⁄3+3·1+С = 3(5/6)+С,
но 3(5/6)+С>0 => С > - 3(5/6)
Пусть С=-1, тогда
F(x)= 2х⁴⁄4+х³⁄3+3х-1
г) f(x)=2х³+х²+3;  х₀=1; у₀>0 Решение. F(x)= 2х⁴⁄4+х³⁄3+3х+С, где С- пр.ч. Найдём С.F(1)= 2·1⁴⁄4+1³⁄3+3·1+С = 3(5/6)+С,но 3(5/6)+С>0

Слайд 22Задание №3. Найдите множество первообразных функции f(x).
а) f(x) =sin²x

б) f(x) = sin5x·cos6x
Решение.
а) т.к. f(x) =sin²x
= (1 - cos2x)/2 = ½ - 1/2·cos2x,
то одна из первообразных равна:
F(x)=1/2·x - 1/4·sin2x.
Тогда множество всех перообразных равно F(x)=1/2·x-1/4·sin2x + С, где С –пр. число
Задание №3. Найдите множество первообразных функции f(x).  а) f(x) =sin²x  б) f(x) = sin5x·cos6x Решение.

Слайд 23 б) f(x) = sin5x·cos6x
Решение. т.к. f(x) = sin5x·cos6x =
=1/2·(sin11x-sinx),


то множество всех первообразных данной функции будет равно
F(x) =1/2·(-1/11·cos11x +cosx)+C =
= 1/2· cosx – 1/22 ·cos11x + С

б) f(x) = sin5x·cos6x Решение. т.к. f(x) = sin5x·cos6x ==1/2·(sin11x-sinx), то множество всех первообразных данной функции

Слайд 24Работаем по задачнику
стр. №

Работаем по задачникустр.  №

Слайд 25ИНТЕГРАЛЫ

ИНТЕГРАЛЫ

Слайд 26
ИНТЕГРАЛ



Неопределённый
интеграл


Определённый
интеграл

Обозначение:


ИНТЕГРАЛНеопределённый интегралОпределённый интегралОбозначение:

Слайд 27НЕОПРЕДЕЛЁННЫЙ
ИНТЕГРАЛ

НЕОПРЕДЕЛЁННЫЙ ИНТЕГРАЛ

Слайд 28Определение:
Множество всех первообразных функции f(x) на некотором промежутке называется неопределенным

интегралом от функции f(x) на этом промежутке и обозначается



Определение:Множество всех первообразных функции f(x) на некотором промежутке  называется неопределенным интегралом от функции f(x) на этом

Слайд 29Основные свойства неопределенного интеграла.






т.е. постоянный множитель можно выносить за

знак интеграла
Основные свойства неопределенного интеграла.   т.е. постоянный множитель можно выносить за знак интеграла

Слайд 30Основные свойства неопределенного интеграла.

Основные свойства неопределенного интеграла.

Слайд 31Таблица основных неопределённых интегралов



Таблица основных неопределённых интегралов

Слайд 33Таблица интегралов

Таблица интегралов

Слайд 34Определение
Процесс нахождения интеграла называется интегрированием.

Интегрирование является операцией, обратной 

дифференцированию
ОпределениеПроцесс нахождения интеграла называется интегрированием.Интегрирование является операцией,  обратной     дифференцированию

Слайд 35Историческая справка
Интегрирование прослеживается еще в древнем Египте, примерно в 1800 г.

до н.э, Московский математический папирус демонстрирует знание формулы объёма усеченной пирамиды.
Историческая справкаИнтегрирование прослеживается еще в древнем Египте, примерно в 1800 г. до н.э,   Московский математический

Слайд 36Историческая справка
метод исчерпывания Евдокса (примерно 370 до н.э.), который

пытался найти площади и объемы, разрывая их на бесконечное множество частей, для которых площадь или объем уже были известны.

Первым известным методом для расчета интегралов является

Историческая справка  метод исчерпывания Евдокса (примерно 370 до н.э.), который пытался найти площади и объемы, разрывая

Слайд 37Историческая справка
Этот метод был подхвачен и развит Архимедом, и

использовался для расчета площадей, парабол и приближенного расчета площади круга.
Историческая справка  Этот метод был подхвачен и развит Архимедом, и использовался для расчета площадей, парабол и

Слайд 38Историческая справка
Аналогичные методы были разработаны не зависимо в Китае в

3-м веке н.э. Лю Хуэйем, который использовал их для нахождения площади круга.
Историческая справка Аналогичные методы были разработаны не зависимо в Китае в 3-м веке н.э. Лю Хуэйем, который

Слайд 39Историческая справка
Этот метод впоследствии использовали Цзу Чунжи и Цзу Гэн для

нахождения объема шара

Историческая справкаЭтот метод впоследствии использовали Цзу Чунжи и Цзу Гэн для нахождения объема шара

Слайд 40Историческая справка
Следующий крупный шаг в исследование интегралов был сделан в Ираке,

в XI веке, математиком Ибн ал-Хайсаном
( известным как Alhazen в Европе), в своей работе «Об измерении параболического тела» он приходит к уравнению четвертой степени.
Историческая справкаСледующий крупный шаг в исследование интегралов был сделан в Ираке, в XI веке, математиком Ибн ал-Хайсаном

Слайд 41Историческая справка
Решая эту проблему, он проводит вычисления, равносильные вычислению определенного интеграла,

чтобы найти объем параболоида. Используя математическую индукцию, он смог обобщить свои результаты для интегралов от многочленов до четвертой степени.
Историческая справкаРешая эту проблему, он проводит вычисления, равносильные вычислению определенного интеграла, чтобы найти объем параболоида.

Слайд 42ОПРЕДЕЛЁННЫЙ
ИНТЕГРАЛ

ОПРЕДЕЛЁННЫЙ ИНТЕГРАЛ

Слайд 43Определение
Пусть функция y=f(x) определена и интегрируема на отрезке [a,b] и

пусть F(x) – некоторая ее первообразная. Тогда число F(b)–F(a) называется интегралом от а до b функции f(x) и обозначается
Определение Пусть функция y=f(x) определена и интегрируема на отрезке [a,b] и пусть F(x) – некоторая ее первообразная.

Слайд 44Определение
Криволинейной трапецией называется фигура, ограниченная
графиком функции f(x),
графиками

х=а и х=в, и осью ОХ

а

в

Определение Криволинейной трапецией называется фигура, ограниченная  графиком функции f(x), графиками х=а и х=в, и осью ОХав

Слайд 45Формула Ньютона-Лейбница
Теорема: если функция у = f(x) непрерывна на отрезке [а;в],

то справедлива формула



Опираясь на эту формулу получаются следующие свойства определенного интеграла


Формула Ньютона-ЛейбницаТеорема: если функция у = f(x) непрерывна на отрезке [а;в], то справедлива формулаОпираясь на эту формулу

Слайд 46Свойства определенного интеграла

Свойства определенного интеграла

Слайд 47Свойства определенного интеграла

Свойства определенного интеграла

Слайд 48Алгоритм вычисления площади криволинейной трапеции
Схематично изобразить график функции f(x).
Провести прямые x=a

и x=b.
Записать одну из первообразных F(x) функции f(x).
Составить и вычислить разность F(b) – F(a).

F(x)=… …

S = F(b) – F(a)=…- …

Алгоритм вычисления площади криволинейной трапецииСхематично изобразить график функции f(x).Провести прямые x=a и x=b.Записать одну из первообразных F(x)

Слайд 49Вычислить площадь фигуры, ограниченной линиями, используя формулу Ньютона-Лейбница
Вариант 1
f(x) = 2x

– 3
y = 0,
x = 3,
x = 5

Вариант 2
f(x) = – 2x – 3
y = 0,
x = – 5,
x = – 3

Вычислить площадь фигуры, ограниченной линиями, используя формулу Ньютона-Лейбница Вариант 1f(x) = 2x – 3y = 0,x =

Слайд 50Рассмотрим графики функций
f(x) = 2x – 3
f(x) = – 2x –

3

у

у

х

х

3

5

-5

-3

Рассмотрим графики функцийf(x) = 2x – 3f(x) = – 2x – 3уухх35-5-3

Слайд 51Проверим решение
Если f(x) = 2x – 3
Вариант 1.

Проверим решениеЕсли f(x) = 2x – 3Вариант 1.

Слайд 52Проверим решение
Если f(x) = – 2x – 3
Вариант 2.

Проверим решениеЕсли f(x) = – 2x – 3Вариант 2.

Слайд 53Вычисление площади плоских фигур с помощью определенного интеграла
Площадь фигуры (S), ограниченной прямыми

х = а и х = в и графиками функций у = f(x) и y = g(x),
непрерывных на отрезке [а;в] и таких, что для любого хє[а;в] выполняется неравенство g(x)≤ f(x), вычисляется по формуле:


Вычисление площади плоских фигур с помощью определенного интегралаПлощадь фигуры (S), ограниченной прямыми х = а и х

Слайд 54Например:
Вычислить площадь фигуры,
ограниченной графиками функций


Например: Вычислить площадь фигуры, ограниченной графиками функций

Слайд 55Построим графики функций

Построим графики функций

Слайд 56Значит
Пределы интегрирования: от-2 до1
f(x)= - x²-2x+3 g(x)=x² - 1
Тогда



=

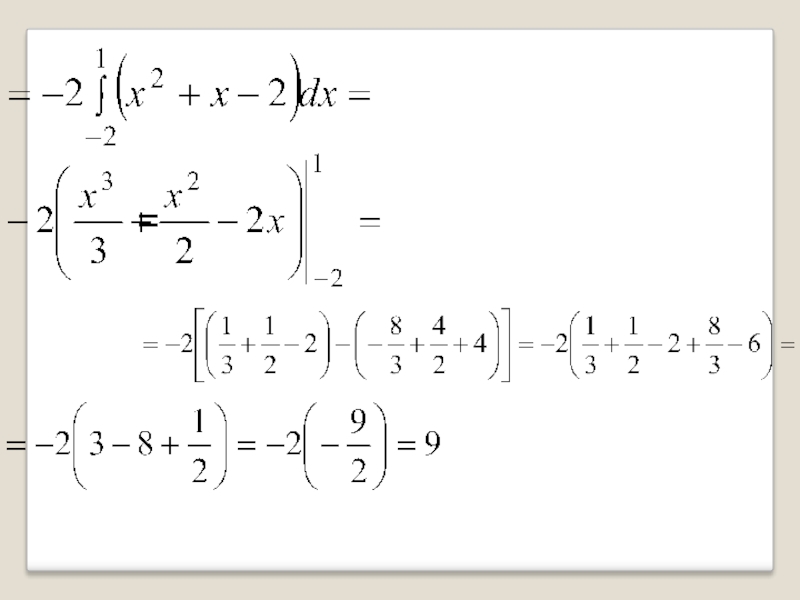
ЗначитПределы интегрирования: от-2 до1f(x)= - x²-2x+3   g(x)=x² - 1Тогда=

Слайд 58Запомним
Геометрический смысл определенного интеграла – это площадь криволинейной трапеции
Физический смысл определенного

интеграла – это…
(учебник: стр. 291)
ЗапомнимГеометрический смысл определенного интеграла – это площадь криволинейной трапецииФизический смысл определенного интеграла – это…   (учебник:

Слайд 59Вычисление объема тела вращения
Объем тела, образованного вращением вокруг оси Ox

криволинейной трапеции, ограниченной кривой
у =f(x) отрезком оси абсцисс a ≤ x ≤ b и прямыми x=a; x=b, вычисляется по формуле
Вычисление объема тела вращенияОбъем тела, образованного вращением вокруг оси Ox  криволинейной трапеции, ограниченной кривой  у

Слайд 60Например
Найти объем тела, полученного вращением вокруг оси Ox криволинейных трапеций, ограниченных

линиями
у= х² и у = √х
НапримерНайти объем тела, полученного вращением вокруг оси Ox криволинейных трапеций, ограниченных линиями

Слайд 61Построим графики функций
х

Построим графики функцийх

Слайд 62Решение
Искомый объем можно найти как
разность объемов, полученных
вращением вокруг оси Ox
криволинейных трапеций,
ограниченных

линиями у=√х и
у = х². Т.е.:
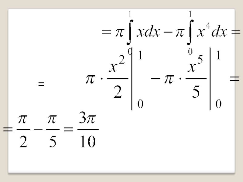
РешениеИскомый объем можно найти какразность объемов, полученныхвращением вокруг оси Oxкриволинейных трапеций,ограниченных линиями  у=√х  и у

Слайд 64Применение интеграла
Площадь фигуры
Объем тела вращения
Работа электрического заряда
Работа переменной силы
Масса
Перемещение
Дифференциальное уравнение
Давление
Количество

теплоты
Применение интегралаПлощадь фигурыОбъем тела вращенияРабота электрического зарядаРабота переменной силыМассаПеремещениеДифференциальное уравнениеДавление Количество теплоты

Слайд 65Найти площадь фигуры, ограниченной линиями
1) y=–3x²–2, x=1, x=2,

y=–1
2) у= 4x–x², y=0
3) y= x²–2x+3, x+y=5
4) y=x², y=⏐x⏐
Найти площадь фигуры, ограниченной линиями 1) y=–3x²–2,  x=1,  x=2,  y=–12) у= 4x–x²,  y=03)

Слайд 66Работаем по задачнику
стр. №

Работаем по задачникустр.  №

Слайд 67Используемые ресурсы
автор шаблона: Фокина Лидия Петровна, учитель начальных классов МКОУ

«СОШ ст. Евсино» Искитимского района Новосибирской области
А.Г. Мордкович. Задачник. Алгебра и начала анализа 10-11 класс, -М., Дрофа,2012
А.Г. Мордкович. Учебник. Алгебра и начала анализа 10-11 класс, -М., Дрофа,2012
Г.В. Дорофеев. Сборник заданий для проведения письменного экзамена по математике за курс средней школы 11 класс. – М., Дрофа, 2008
Используемые ресурсыавтор шаблона: Фокина Лидия Петровна, учитель начальных классов  МКОУ «СОШ ст. Евсино» Искитимского района Новосибирской

Слайд 68Используемые ресурсы
http://static4.depositphotos.com/1000765/286/i/950/depositphotos_2868805-3d-small---think.jpg
http://awardwinningvideomarketing.com/img/pics/stick_figure_sitting_confused_500_wht.gif
http://nashashcola.ru/wp-content/uploads/2013/08/Velikie_matematiki-Arhimed_Zakon_Arhimeda-2.jpg

http://cs7010.vk.me/c540102/v540102299/2a4b7/gxoZstcDO4w.jpg

http://cdn2-b.examiner.com/sites/default/files/styles/image_content_width/hash/07/06/07060c3d798d1877de2dffd5882c8dfb.jpg?itok=Bf1WO6a0

http://1.bp.blogspot.com/_UAzEooLfuI8/RvU4t7vWjkI/AAAAAAAAA8U/4Yk8JThK_0g/s320/suntzu_portrait-rev.jpg

Используемые ресурсыhttp://static4.depositphotos.com/1000765/286/i/950/depositphotos_2868805-3d-small---think.jpghttp://awardwinningvideomarketing.com/img/pics/stick_figure_sitting_confused_500_wht.gifhttp://nashashcola.ru/wp-content/uploads/2013/08/Velikie_matematiki-Arhimed_Zakon_Arhimeda-2.jpghttp://cs7010.vk.me/c540102/v540102299/2a4b7/gxoZstcDO4w.jpghttp://cdn2-b.examiner.com/sites/default/files/styles/image_content_width/hash/07/06/07060c3d798d1877de2dffd5882c8dfb.jpg?itok=Bf1WO6a0http://1.bp.blogspot.com/_UAzEooLfuI8/RvU4t7vWjkI/AAAAAAAAA8U/4Yk8JThK_0g/s320/suntzu_portrait-rev.jpg

Что такое shareslide.ru?

Это сайт презентаций, где можно хранить и обмениваться своими презентациями, докладами, проектами, шаблонами в формате PowerPoint с другими пользователями. Мы помогаем школьникам, студентам, учителям, преподавателям хранить и обмениваться учебными материалами.


Для правообладателей

Яндекс.Метрика

Обратная связь

Email: Нажмите что бы посмотреть