Презентация, доклад по алгебре на тему Внесение множителя под знак квадратного корня. Вынесение множителя из-под знака квадратного корня.

Цели урока:- формирование знаний способов вынесения множителя из-под знака корня и внесение множителя под знак корня, - умений применять при решении задач;

Слайд 1"Вынесение множителя из-под знака корня. Внесение множителя под знак корня"
Урок алгебры

8 –А
Учитель математики Л.М. Аблязова


Слайд 2Цели урока:
- формирование знаний способов вынесения множителя из-под знака корня и

внесение множителя под знак корня,
- умений применять при решении задач;

Цели урока:- формирование знаний способов вынесения множителя из-под знака корня  и внесение множителя под знак корня,

Слайд 3Найдите значения выражений















Найдите значения выражений

Слайд 4Упростите:
, с>0
, у

, п >0
, т<0

Упростите:  , с>0  , у0  , т

Слайд 5Представьте: числа в виде произведения таких множителей, чтобы один из них

являлся квадратом рационального числа

72;
75;
8;
48

Представьте: числа в виде произведения таких множителей, чтобы один из них являлся квадратом рационального числа 72;

Слайд 6Сравните:
и

;
и ;
и ;
и ;










Сравните:      и      ;

Слайд 7Как можно сравнить числа?


и

.



Как можно сравнить числа?      и       .

Слайд 8Алгоритм вынесение множителя из-под знака корня


Если




Алгоритм вынесение множителя из-под знака корня Если

Слайд 9Алгоритм внесение множителя под знак корня


Если


Алгоритм внесение множителя под  знак корняЕсли

Слайд 10№ 407 (а, в, д, е ) (Вынесение множителя из-под знака

корня )

б)

в)

г)




№ 407 (а, в, д, е )  (Вынесение множителя из-под знака корня )б)  в) г)

Слайд 11№410(а, в, д) (Внесение множителя под знак корня)
в)



д)



№410(а, в, д) (Внесение множителя под знак корня)в)    д)

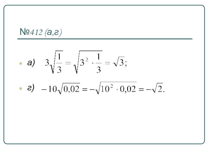
Слайд 12№412 (а,г)

а)

г)


№412 (а,г)а)    г)

Слайд 13Рефлексия:
Как вы оцениваете свою работу на уроке?
Прочитайте еще раз цели урока.

Какие из них удалось достичь, а какие нет?
Что интереснее: самому открывать новые знания или слушать объяснения учителя?
Хотелось бы вам чаще проводить уроки самообучения?

Рефлексия:Как вы оцениваете свою работу на уроке?Прочитайте еще раз цели урока. Какие из них удалось достичь, а

Слайд 14домашнее задание:
учащимся, получившим оценки “4” и “5” - №410(б), 411,

414.
учащимся, получившим оценки “2” и “3” – №403, 407

домашнее задание: учащимся, получившим оценки “4” и “5” - №410(б), 411, 414.учащимся, получившим оценки “2” и “3”

Что такое shareslide.ru?

Это сайт презентаций, где можно хранить и обмениваться своими презентациями, докладами, проектами, шаблонами в формате PowerPoint с другими пользователями. Мы помогаем школьникам, студентам, учителям, преподавателям хранить и обмениваться учебными материалами.


Для правообладателей

Яндекс.Метрика

Обратная связь

Email: Нажмите что бы посмотреть