Презентация, доклад по алгебре на тему Комплексные числа (10-11 класс)

а в 1777г. один из крупнейших математиков VIII века Х. Эйлер предложил использовать первую букву французского числа i = (мнимой единицы)Название «мнимые числа» ввел в 1637г. французский математик и философ Р. ДекартЭтот

Слайд 1Комплексные числа
Зенцова А.Н. учитель ВВК
МБОУ СОШ №24 г. Иркутска

Комплексные числа Зенцова А.Н. учитель ВВК МБОУ СОШ №24 г. Иркутска

Слайд 2
а в 1777г. один из крупнейших математиков VIII века Х. Эйлер

предложил использовать первую букву французского числа i = (мнимой единицы)

Название «мнимые числа» ввел в 1637г. французский математик и философ Р. Декарт



Этот символ вошел во всеобщее употребление благодаря К. Гауссу (1831г).

а в 1777г. один из крупнейших математиков VIII века Х. Эйлер предложил использовать первую букву французского числа

Слайд 3Комплексные числа – это выражения вида a + bi, где

a и b – действительные числа,
i- такое число, что i 2=-1

Примеры: 3 +2i , 5-7i , -4+3i

Отметим тот факт, что знак ( + ) в написанном выражении a + bi не есть знак действия.
Это выражение надо рассматривать как единый символ для обозначения комплексного числа.

Итак: i 2 = -1
= i

Примеры: 2 i 2 = -2
-5 i 2= 5

Комплексные числа – это выражения вида a + bi, где  a и b – действительные числа,

Слайд 4Число а называется действительной частью комплексного числа a + bi, а

число b –его мнимой частью.

Пример: комплексное число 2 + 3i,
его действительная часть равна 2,
мнимая часть равна 3.

Действительные числа являются частными случаями комплексных чисел.
Пример:
2 = 2+0•i
0= 0+0•i
-4= -4+0•i

Число а называется действительной частью комплексного числа a + bi, а число b –его мнимой частью.Пример:

Слайд 5Два комплексных числа a + bi и c + di называют

равными, если a=c и b=d, т.е. если равны их действительные и мнимые части.

Пример:


Арифметические действия над комплексными числами определяют так, чтобы все свойства этих действий были такими же, как и для действительных чисел. Поэтому действия над комплексными числами a + bi можно выполнять так же, как и действия над многочленами, считая, что i 2 =-1


Два комплексных числа a + bi и c + di называют равными, если a=c и b=d, т.е.

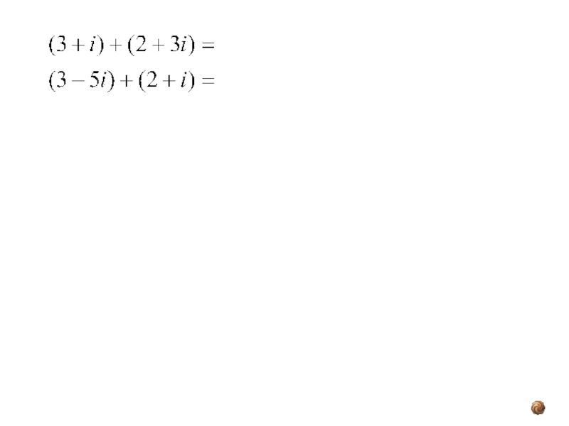
Слайд 6 Суммой двух комплексных

чисел
(a + bi )+(c + di ) = (a+c) + (b+d)i.


Пример: (4-3i)+(-2+7i)=4-3i-2+7i=2+4i

Числа a+bi и a-bi называются сопряженными.
(а+bi) + (а-bi) = 2а , где 2а - действительное число


Числа а+bi и -a-bi называются противоположными.

(а+bi) + (-а-bi) =0

Суммой двух комплексных чисел(a + bi )+(c + di

Слайд 7Вычитание комплексных чисел

(а+bi) - (c+di) = (a-c) + (b-d)i.

Пример: (8-5i)-(9-4i)=8-5i-9+4i=-1-i


Произведение комплексных чисел

z1= a + bi и z2 = c + di
называется комплексное число
z =  (ac-bd) + (ad + bc)i, 

Вычитание комплексных чисел (а+bi) - (c+di) = (a-c) + (b-d)i.   Пример:  (8-5i)-(9-4i)=8-5i-9+4i=-1-iПроизведение комплексных чисел

Слайд 8 Для умножения комплексных чисел также справедливы переместительный и сочетательный законы,

а также распределительный закон умножения по отношению к сложению.

Пример: (2+i)•(1-3i)=2-6i+i-3i²=2-5i-3•(-1)=5-5i



Из определения умножения получим, что произведение сопряженных комплексных чисел равно действительному числу:

(a + bi)(a - bi) = a² + b²
Для умножения комплексных чисел также справедливы переместительный и сочетательный законы, а также распределительный закон умножения по

Слайд 9Деление комплексных чисел
(кроме деления на нуль)
определяется как действие, обратное

умножению.


Пример:

5-14i
2-3i

10+15i-28i-42i 2

4-32i 2

52-13i

13

4 -i

Деление комплексных чисел (кроме деления на нуль) определяется как действие, обратное умножению. Пример:5-14i 2-3i10+15i-28i-42i 2

Слайд 10Квадратное уравнение может не иметь действительных корней. Простейшим из таких уравнений

является уравнение x²+1=0.

Чтобы любое квадратное уравнение имело корни, приходится расширять множество действительных чисел и эти новые числа вместе с действительными образуют множество, которое называют множеством комплексных чисел.

Если комплексные числа введены, то квадратное уравнение х²+1=0 имеет корень. Этот корень обозначают буквой i (мнимой единицей).
Квадратное уравнение может не иметь действительных корней. Простейшим из таких уравнений является уравнение x²+1=0.

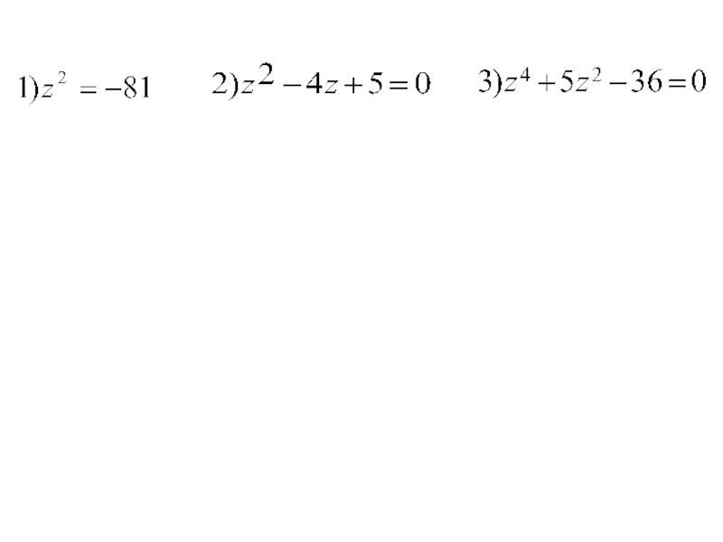
Слайд 11Примеры:
z2=-9


z2=a, где a

корня

2) z2-4z+13=0

Примеры:z2=-9     z2=a, где a

Слайд 13продолжение следует

продолжение следует

Что такое shareslide.ru?

Это сайт презентаций, где можно хранить и обмениваться своими презентациями, докладами, проектами, шаблонами в формате PowerPoint с другими пользователями. Мы помогаем школьникам, студентам, учителям, преподавателям хранить и обмениваться учебными материалами.


Для правообладателей

Яндекс.Метрика

Обратная связь

Email: Нажмите что бы посмотреть