Презентация, доклад по алгебре на тему Формулы сокращенного умножения

Цель:Учимся применять на практике формулы сокращенного умножения;готовимся к контрольной работе.

Слайд 1“Формулы сокращенного умножения”

“Формулы сокращенного умножения”

Слайд 2Цель:
Учимся применять на практике формулы сокращенного умножения;
готовимся к контрольной работе.


Цель:Учимся применять на практике формулы сокращенного умножения;готовимся к контрольной работе.

Слайд 3Девиз урока:
Мало иметь хороший ум, главное – уметь его применять.

Р. Декарт


Девиз урока:Мало иметь хороший ум, главное – уметь его применять.

Слайд 4Соберите и запишите формулы:

Соберите и запишите формулы:

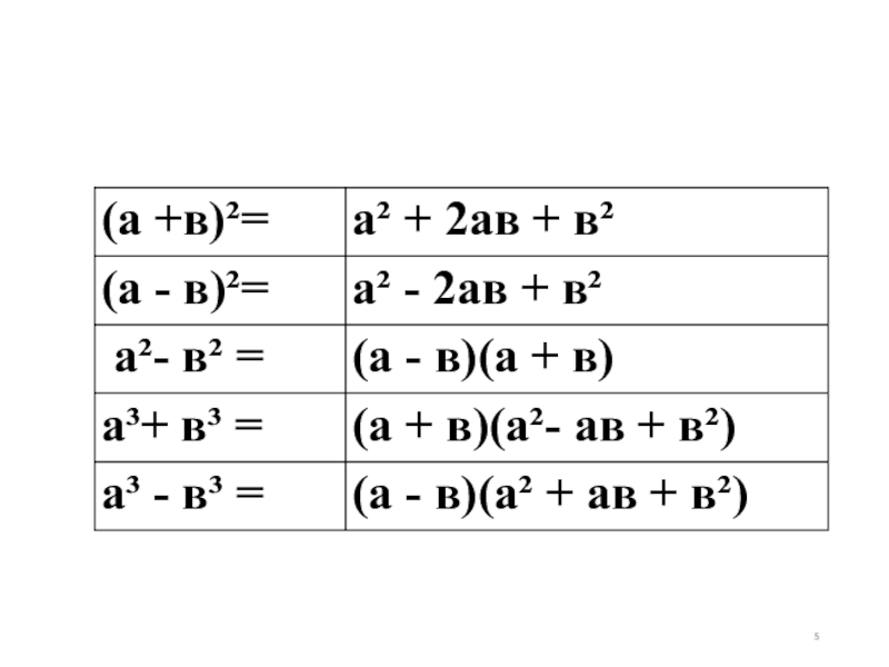
Слайд 5Сделаем проверку:

Сделаем проверку:

Слайд 6Прочитайте выражение
x3-y3=(x-y)(x2+xy+y2)
x3+y3=(x+y)(x2-xy+y2)
Разность кубов двух выражений равна
произведению разности
этих выражений на
неполный квадрат суммы
Сумма

кубов двух
выражений равна
произведению суммы
этих выражений на
неполный квадрат разности
Прочитайте выражениеx3-y3=(x-y)(x2+xy+y2)x3+y3=(x+y)(x2-xy+y2)Разность кубов двух выражений равнапроизведению разностиэтих выражений нанеполный квадрат суммыСумма кубов двухвыражений равнапроизведению суммыэтих выражений нанеполный

Слайд 8Найдите ошибки:
Вариант 1.

(b-y)2 =b-2bу+у2
49-с2=(49-c)(49+с)
(р-10)2=р2-20р+10
(2а+1)2=4а2+2а+1
27³-

х³=(3-х)(9-3х+х²)

Вариант 2.

(b-а)2 =b²-bу+у2
х²-25=(х-25)(25+х)
(7-а)2=7-14а+ а²
(3у+1)2=3у2+6у+1
с³+8=(с+2)(с²+2с+4)

Найдите ошибки:Вариант 1.(b-y)2 =b-2bу+у2 49-с2=(49-c)(49+с) (р-10)2=р2-20р+10     (2а+1)2=4а2+2а+127³- х³=(3-х)(9-3х+х²)Вариант 2.(b-а)2 =b²-bу+у2 х²-25=(х-25)(25+х) (7-а)2=7-14а+ а²

Слайд 9Проверим:
Вариант 1.

(b-y)2 =b²-2bу+у2
49-с2=(7-c)(7+с)
(р-10)2=р2-20р+10 0
(2а+1)2=4а2+4а+1
27³- х³=(3-х)(9+3х+х²)
Вариант

2.

(b-а)2 =b²-2bу+у2
х²-25=(х-5)(5+х)
(7-а)2=49-14а+ а²
(3у+1)2=9у2+6у+1
с³+8=(с+2)(с²-2с+4)
Проверим:Вариант 1.(b-y)2 =b²-2bу+у2 49-с2=(7-c)(7+с) (р-10)2=р2-20р+10 0    (2а+1)2=4а2+4а+127³- х³=(3-х)(9+3х+х²)Вариант 2.(b-а)2 =b²-2bу+у2 х²-25=(х-5)(5+х) (7-а)2=49-14а+ а²

Что такое shareslide.ru?

Это сайт презентаций, где можно хранить и обмениваться своими презентациями, докладами, проектами, шаблонами в формате PowerPoint с другими пользователями. Мы помогаем школьникам, студентам, учителям, преподавателям хранить и обмениваться учебными материалами.


Для правообладателей

Яндекс.Метрика

Обратная связь

Email: Нажмите что бы посмотреть