Презентация, доклад по алгебре на тему Дробные рациональные уравнения (9 класс)

Найдите общий знаменатель дробей

Слайд 1


Слайд 2Найдите общий знаменатель дробей

Найдите общий знаменатель дробей

Слайд 3При каких значениях переменных выражение теряет смысл

При каких значениях переменных выражение теряет смысл

Слайд 4Разложите многочлен на множители:

Разложите многочлен на множители:

Слайд 5
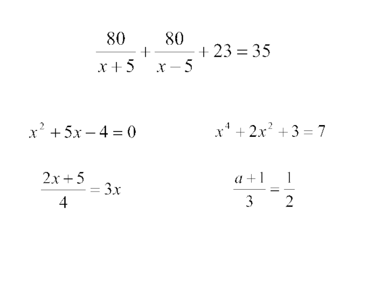
Составьте уравнение по условию задачи:
Теплоход проходит по течению реки

до пункта назначения 80 км и после стоянки возвращается в пункт отправления. Найдите скорость теплохода в неподвижной воде, если скорость течения реки 5 км/ч, стоянка длится 23 часа, а в пункт отправления теплоход возвращается через 35 часов после отплытия из него.

Составьте уравнение по условию задачи:  Теплоход проходит по течению реки до пункта назначения 80 км и

Слайд 7Тема урока: «Дробные рациональные уравнения»
Дробным рациональным уравнением называется уравнение, обе части которого

являются рациональными выражениями, причем хотя бы одно из них – дробным выражением.
Тема урока:  «Дробные рациональные уравнения»Дробным рациональным уравнением называется уравнение, обе части которого являются рациональными выражениями, причем

Слайд 8Решим уравнение

Решим уравнение

Что такое shareslide.ru?

Это сайт презентаций, где можно хранить и обмениваться своими презентациями, докладами, проектами, шаблонами в формате PowerPoint с другими пользователями. Мы помогаем школьникам, студентам, учителям, преподавателям хранить и обмениваться учебными материалами.


Для правообладателей

Яндекс.Метрика

Обратная связь

Email: Нажмите что бы посмотреть