Презентация, доклад по алгебре и началам анализа по теме Тригонометрическик формулы (10 класс)

xy0•••       

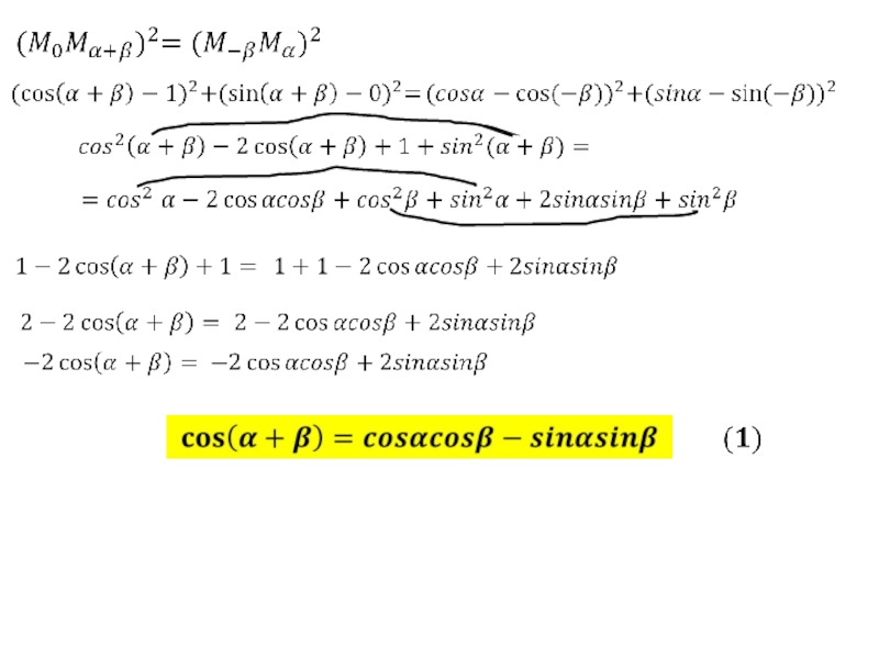
Слайд 1Формулы сложения
 

Формулы сложения 

Слайд 2
x
y
0




 
 


 
 
 
 


 

xy0•••       

Слайд 3 
 
 
 
 

 


 
 
 
 
 
 
 

             

Слайд 4 
 
 
 
 
 
 
 
 
 
 
 
 
 
 
 
 

                 

Слайд 5 
 
 
 
 
 
 

       

Слайд 6 
 
 
 
 
 
 
 
 
 
 
 
 
 

              

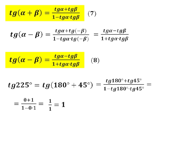
Слайд 7 
 
 
 
 
 
 
 
 
 
 
 
 
 
 
 
 
 
 
 

                    

Слайд 8 
 
 
 
 
 
 
 
 
 
 
 
 
 
 
 
 
 
 
 
 

                     

Слайд 9 
 
 
 
 
 
 

       

Слайд 10 
 
 
 
 
 
 
 
 
 
 
 

            

Слайд 12Ответ:

Ответ:

Что такое shareslide.ru?

Это сайт презентаций, где можно хранить и обмениваться своими презентациями, докладами, проектами, шаблонами в формате PowerPoint с другими пользователями. Мы помогаем школьникам, студентам, учителям, преподавателям хранить и обмениваться учебными материалами.


Для правообладателей

Яндекс.Метрика

Обратная связь

Email: Нажмите что бы посмотреть