Презентация, доклад по алгебре и началам анализа 11 класс по темеТригонометрия

Содержание

ТРИГОНОМЕТРИЯТригонометрия-это часть геометрии, где с помощью тригонометрических функций связываются элементы треугольника. Тригонометрия-это объект математического анализа, где тригонометрические уравнения изучаются методами алгебры.

Слайд 1ТРИГОНОМЕТРИЯ

ТРИГОНОМЕТРИЯ

Слайд 2ТРИГОНОМЕТРИЯ
Тригонометрия-это часть геометрии, где с помощью тригонометрических функций связываются элементы треугольника.


Тригонометрия-это объект математического анализа, где тригонометрические уравнения изучаются методами алгебры.
ТРИГОНОМЕТРИЯТригонометрия-это часть геометрии, где с помощью тригонометрических функций связываются элементы треугольника. Тригонометрия-это объект математического анализа, где тригонометрические

Слайд 3ЭТАПЫ РАЗВИТИЯ ТРИГОНОМЕТРИИ
Тригонометрия в древности являлась вспомогательным разделом астрономии. Древнегреческие ученые

разработали «тригонометрию хорд».
Древнеиндийские ученые заменили хорды синусами.
В VIII веке математики Востока превратили тригонометрию в самостоятельную математическую дисциплину. Ими были введены другие тригонометрические функции и составлены таблицы.
Окончательный вид тригонометрия приобрела в XVIII веке в трудах Л.Эйлера.

ЭТАПЫ РАЗВИТИЯ ТРИГОНОМЕТРИИТригонометрия в древности являлась вспомогательным разделом астрономии. Древнегреческие ученые разработали «тригонометрию хорд». Древнеиндийские ученые заменили

Слайд 4ОПРЕДЕЛЕНИЕ SIN,COS,TG,CTG
Синусом угла α называется отношение ординаты точки В к R.
Косинусом

угла α называется отношение абсциссы точки В к R.
Тангенсом угла α называется отношение ординаты точки В к ее абсциссе.
Котангенсом угла α называется отношение абсциссы точки В к ее ординате.
R





α


R

B (x;y)

y

x

ОПРЕДЕЛЕНИЕ SIN,COS,TG,CTGСинусом угла α называется отношение ординаты точки В к R.Косинусом угла α называется отношение абсциссы точки

Слайд 5ЗНАКИ SIN, COS, TG, CTG.


x

x

x
y
y
y
Знаки sin

Знаки cos Знаки tg, ctg

+

+

-

-

-

-

+

+

-

+

+

-

ЗНАКИ SIN, COS, TG, CTG.xxxyyyЗнаки sin

Слайд 6ЗНАЧЕНИЯ ТРИГОНОМЕТРИЧЕСКИХ ФУНКЦИЙ

ЗНАЧЕНИЯ ТРИГОНОМЕТРИЧЕСКИХ  ФУНКЦИЙ

Слайд 7
ЗНАЧЕНИЯ ТРИГОНОМЕТРИЧЕСКИХ ФУНКЦИЙ
УГЛОВ КРАТНЫХ 90 ГРАДУСОВ.





ЗНАЧЕНИЯ ТРИГОНОМЕТРИЧЕСКИХ ФУНКЦИЙУГЛОВ КРАТНЫХ 90 ГРАДУСОВ.

Слайд 8ОСНОВНЫЕ ТРИГОНОМЕТРИЧЕСКИЕ ТОЖДЕСТВА
sin² α + cos² α = 1
tg α

· ctg α = 1
tg α = sin α ÷ cos α
ctg α = cos α ÷ sin α
1 + tg² α = 1 ÷ cos² α
1 + ctg² α = 1 ÷ sin² α

ОСНОВНЫЕ ТРИГОНОМЕТРИЧЕСКИЕ ТОЖДЕСТВА sin² α + cos² α = 1tg α · ctg α = 1tg α

Слайд 9ФОРМУЛЫ ПРИВЕДЕНИЯ

ФОРМУЛЫ ПРИВЕДЕНИЯ

Слайд 10ФОРМУЛЫ СЛОЖЕНИЯ
sin (α + β) = sin α · cos β

+ sin β · cos α
sin (α - β) = sin α · cos β - sin β · cos α
cos (α + β) = cos α · cos β - sin α · sin β
cos (α - β) = cos α · cos β + sin α · sin β
tg (α + β) = (tg α + tg β) ÷ (1 - tg α · tg β)
tg (α - β) = (tg α - tg β) ÷ (1 + tg α · tg β)
ctg (α + β) = (ctg α · ctg β + 1) ÷ (ctg β - ctg α)
ctg (α - β) = (ctg α · ctg β - 1) ÷ (ctg β + ctg α)


ФОРМУЛЫ СЛОЖЕНИЯsin (α + β) = sin α · cos β + sin β · cos αsin

Слайд 11ФОРМУЛЫ ДВОЙНОГО УГЛА
cos 2α = cos² α - sin² α
cos 2α

= 2cos² α - 1
cos 2α = 1 - 2sin² α
sin 2α = 2sin α · cos α
tg 2α = (2tg α) ÷ (1 - tg² α)
ctg 2α = (ctg² α - 1) ÷ (2ctg α)

ФОРМУЛЫ ДВОЙНОГО УГЛАcos 2α = cos² α - sin² αcos 2α = 2cos² α - 1cos 2α

Слайд 12ФОРМУЛЫ СУММЫ И РАЗНОСТИ ТРИГОНОМЕТРИЧЕСКИХ ФУНКЦИИЙ

ФОРМУЛЫ СУММЫ И РАЗНОСТИ ТРИГОНОМЕТРИЧЕСКИХ ФУНКЦИИЙ

Слайд 13УРАВНЕНИЯ
cost = a
sint = a

УРАВНЕНИЯcost = asint = a

Слайд 14ПРОСТЕЙШИЕ ТРИГОНОМЕТРИЧЕСКИЕ УРАВНЕНИЯ


ПРОСТЕЙШИЕ ТРИГОНОМЕТРИЧЕСКИЕ  УРАВНЕНИЯ

Слайд 15УРАВНЕНИЕ COST = A

0
x
y
2. Отметить точку а на оси абсцисс.
3. Построить

перпендикуляр в этой точке.

4. Отметить точки пересечения перпендикуляра с окружностью.

5. Полученные точки – решение уравнения cost = a.

6. Записать общее решение уравнения.

1. Проверить условие | a | ≤ 1


a



t1

-t1

-1

1

УРАВНЕНИЕ COST = A0xy2. Отметить точку а на оси абсцисс.3. Построить перпендикуляр в этой точке.4. Отметить точки

Слайд 16УРАВНЕНИЕ SINT = A

0
x
y
2. Отметить точку а на оси ординат.
3. Построить

перпендикуляр в этой точке.

4. Отметить точки пересечения перпендикуляра с окружностью.

5. Полученные точки – решение уравнения sint = a.

6. Записать общее решение уравнения.

1. Проверить условие | a | ≤ 1


a



t1

π-t1

-1

1

УРАВНЕНИЕ SINT = A0xy2. Отметить точку а на оси ординат.3. Построить перпендикуляр в этой точке.4. Отметить точки

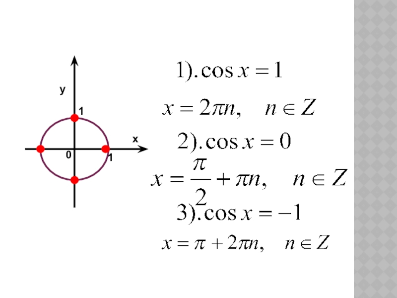
Слайд 17ЧАСТНЫЕ СЛУЧАИ ТРИГОНОМЕТРИЧЕСКИХ УРАВНЕНИЙ


1
1
х
у
0




ЧАСТНЫЕ СЛУЧАИ  ТРИГОНОМЕТРИЧЕСКИХ УРАВНЕНИЙ 11ху0

Слайд 18

1
1
х
у
0




11ху0

Слайд 19


0
х
у
0





1

-1

0ху01-1

Слайд 20ПРИМЕРЫ УРАВНЕНИЙ

0
x
y
-1
1



ПРИМЕРЫ УРАВНЕНИЙ0xy-11

Слайд 21ПРИМЕРЫ УРАВНЕНИЙ

0
x
y
-1
1



ПРИМЕРЫ УРАВНЕНИЙ0xy-11

Слайд 22НЕРАВЕНСТВА

cost >a, cost ≤ a
sint >a, sint ≤ a

НЕРАВЕНСТВАcost >a, cost ≤ a sint >a, sint ≤ a

Слайд 23НЕРАВЕНСТВО COST > A

0
x
y
1. Отметить на оси абсцисс интервал x >

a.

2. Выделить дугу окружности, соответствующую интервалу.

3. Записать числовые значения граничных точек дуги.

4. Записать общее решение неравенства.

a



t1

-t1

-1

1




НЕРАВЕНСТВО COST > A0xy1. Отметить на оси абсцисс интервал x > a.2. Выделить дугу окружности, соответствующую интервалу.3.

Слайд 24НЕРАВЕНСТВО COST ≤ A

0
x
y
1. Отметить на оси абсцисс интервал x ≤

a.

2. Выделить дугу окружности, соответствующую интервалу.

3. Записать числовые значения граничных точек дуги.

4. Записать общее решение неравенства.

a



t1

2π-t1

-1

1




НЕРАВЕНСТВО COST ≤ A0xy1. Отметить на оси абсцисс интервал x ≤ a.2. Выделить дугу окружности, соответствующую интервалу.3.

Слайд 25НЕРАВЕНСТВО SINT > A

0
x
y
1. Отметить на оси ординат интервал y >

a.

2. Выделить дугу окружности, соответствующую интервалу.

3. Записать числовые значения граничных точек дуги.

4. Записать общее решение неравенства.

a



t1

π-t1

-1

1




НЕРАВЕНСТВО SINT > A0xy1. Отметить на оси ординат интервал y > a.2. Выделить дугу окружности, соответствующую интервалу.3.

Слайд 26НЕРАВЕНСТВО SINT ≤ A

0
x
y
1. Отметить на оси ординат интервал y≤a.
2. Выделить

дугу окружности, соответствующую интервалу.

3. Записать числовые значения граничных точек дуги.

4. Записать общее решение неравенства.

a



3π-t1

t1

-1

1




НЕРАВЕНСТВО SINT ≤ A0xy1. Отметить на оси ординат интервал y≤a.2. Выделить дугу окружности, соответствующую интервалу.3. Записать числовые

Слайд 27ПРИМЕРЫ НЕРАВЕНСТВ

0
x
y
-1
1






ПРИМЕРЫ НЕРАВЕНСТВ0xy-11

Слайд 28Примеры неравенств

0
x
y
-1
1






Примеры неравенств0xy-11

Что такое shareslide.ru?

Это сайт презентаций, где можно хранить и обмениваться своими презентациями, докладами, проектами, шаблонами в формате PowerPoint с другими пользователями. Мы помогаем школьникам, студентам, учителям, преподавателям хранить и обмениваться учебными материалами.


Для правообладателей

Яндекс.Метрика

Обратная связь

Email: Нажмите что бы посмотреть