Презентация, доклад по алгебре Доказательство тождеств

Содержание

Доказательство тождеств

Слайд 1«Пусть каждый день и каждый час
Нам новое добудет,
Пусть добрым будет ум

у нас,
А сердце умным будет!»
«Пусть каждый день и каждый часНам новое добудет,Пусть добрым будет ум у нас,А сердце умным будет!»

Слайд 2Доказательство тождеств

Доказательство тождеств

Слайд 3Найдем значение выражений при х=5 и у=4
3(х+у)=
3(5+4)=3*9=27
3х+3у=
3*5+3*4=27
Найдем значение

выражений при х=6 и у=5
3(х+у)=
3(6+5)=3*11=33
3х+3у=
3*6+3*5=33


Найдем значение выражений  при х=5 и у=4 3(х+у)=  3(5+4)=3*9=273х+3у=3*5+3*4=27Найдем значение выражений  при х=6 и

Слайд 4ВЫВОД:
Мы получили один и тот же результат.

Из распределительного свойства следует,

что вообще при любых значениях переменных значения выражений 3(х+у) и 3х+3у равны.

3(х+у) = 3х+3у

ВЫВОД:Мы получили один и тот же результат. Из распределительного свойства следует, что вообще при любых значениях переменных

Слайд 5Рассмотрим теперь выражения 2х+у и 2ху.
при х=1 и у=2
2х+у=2*1+2=4
2ху=2*1*2=4
принимают равные

значения:
при х=3, у=4
2х+у=2*3+4=10
2ху=2*3*4=24
значения выражений разные
 

Рассмотрим теперь выражения 2х+у и 2ху. при х=1 и у=22х+у=2*1+2=42ху=2*1*2=4принимают равные значения:при х=3, у=42х+у=2*3+4=102ху=2*3*4=24значения выражений разные  

Слайд 6ВЫВОД:
Выражения 3(х+у) и 3х+3у являются тождественно равными, а выражения 2х+у и

2ху не являются тождественно равными.

Определение:
Два выражения, значения которых равны при любых значениях переменных, называются тождественно равными.

ВЫВОД:Выражения 3(х+у) и 3х+3у являются тождественно равными, а выражения 2х+у и 2ху не являются тождественно равными.Определение: Два

Слайд 7ТОЖДЕСТВО
Равенство 3(х+у) и 3х+3у верно при любых значениях х и у.

Такие равенства называются тождествами.
 
Определение: Равенство, верное при любых значениях переменных, называется тождеством.
Тождествами считают и верные числовые равенства. С тождествами мы уже встречались.
ТОЖДЕСТВОРавенство 3(х+у) и 3х+3у верно при любых значениях х и у. Такие равенства называются тождествами. Определение: Равенство, верное

Слайд 8Тождествами являются равенства, выражающие основные свойства действий над числами.
a + b

= b + a ab = ba (a + b) + c = a + (b + c) a(b + c) = ab + ac
 
 


Тождествами являются равенства, выражающие основные свойства действий над числами. 	a + b = b + a ab

Слайд 9
а + 0 = а
а * 1 = а
а + (-а)

= 0
а * (-b) = - ab
а-b = a + (-b)
(-a) * (-b) = ab

Замену одного выражения другим, тождественно равным ему выражением, называют тождественным преобразованием или просто преобразованием выражения.
 

а + 0 = аа * 1 = аа + (-а) = 0а * (-b) =

Слайд 10Чтобы привести подобные слагаемые, надо сложить их коэффициенты и результат умножить

на общую буквенную часть;

Пример 1.
Приведем подобные слагаемые
5х +2х-3х=
х(5+2-3)=4х

Чтобы привести подобные слагаемые, надо сложить их коэффициенты и результат умножить на общую буквенную часть; Пример 1.

Слайд 11Если перед скобками стоит знак «плюс», то скобки можно опустить, сохранив

знак каждого слагаемого, заключенного в скобки;

Пример 2.
Раскроем скобки в выражении

2а + (b-3c) =
2a + b – 3c


Если перед скобками стоит знак «плюс», то скобки можно опустить, сохранив знак каждого слагаемого, заключенного в скобки;

Слайд 12Если перед скобками стоит знак «минус», то скобки можно опустить, изменив

знак каждого слагаемого, заключенного в скобки.

Пример 3.
Раскроем скобки в выражении
а – (4b – с) =
a – 4b + c

Если перед скобками стоит знак «минус», то скобки можно опустить, изменив знак каждого слагаемого, заключенного в скобки.

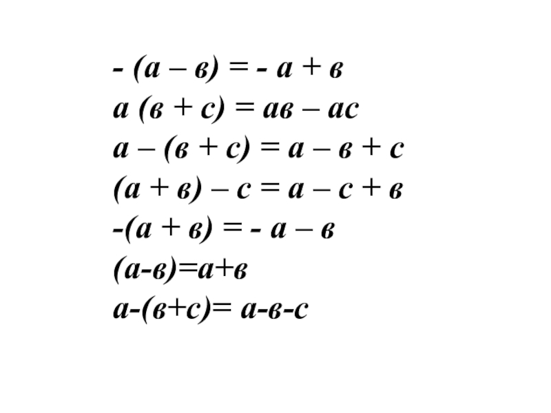
Слайд 13- (а – в) = - а + в


а (в + с) = ав – ас
а – (в + с) = а – в + с
(а + в) – с = а – с + в
-(а + в) = - а – в
(а-в)=а+в
а-(в+с)= а-в-с
- (а – в) = - а + в       а (в

Слайд 14Что необходимо сделать, чтобы доказать, что равенство является тождеством?

Что необходимо сделать, чтобы доказать, что равенство является тождеством?

Слайд 1510х(5х+4)=5х–4

5х –7 = 28х–3- х–4–22х
(х-5)(х+2)= (х+4)(х–7)+18
–(2х – 3)+ (х2  +2х –3)= х2
11х – 3= 2х +12 + 9х–15
–4(3у –  1)+1 =–6(2у – 1) –1
Докажите тождество

10х(5х+4)=5х–45х –7 = 28х–3- х–4–22х(х-5)(х+2)= (х+4)(х–7)+18–(2х – 3)+ (х2  +2х –3)= х211х – 3= 2х +12 + 9х–15–4(3у –  1)+1 =–6(2у – 1) –1 Докажите тождество

Слайд 16Выписать левую часть равенства, ее преобразовать и убедиться, что она равна

правой.
Выписать правую часть равенства, ее преобразовать и убедиться, что она равна левой.
Преобразовать и левую и правую часть равенства и убедиться в том, что они равны одному и тому же выражению.
Выписать левую часть равенства, ее преобразовать и убедиться, что она равна правой. Выписать правую часть равенства, ее

Слайд 17Самостоятельная работа


 
 
 
2*(у-1)=(-2у-2)
да
да
нет
да
да

Самостоятельная работа   2*(у-1)=(-2у-2)даданетдада

Слайд 18Равенства всякие, братцы, бывают, И каждый об этом, конечно же, знает. Есть –

с переменными, есть – …, Сложные очень и очень … , Но есть среди равенств особенный класс, О нем поведем свой рассказ мы сейчас. … равенство это зовется. Но это еще доказать нам придется. Для этого нужно нам только лишь взять И равенство это … Несложно, конечно, нам будет узнать Какую придется нам часть изменять, А, может, придется нам обе менять, По равенства виду нетрудно … Ура! Удалось применить наши знания, Окончено равенства преобразование. И смело уже говорим мы ответ: Так тождество это, или все-таки нет!
Равенства всякие, братцы, бывают, И каждый об этом, конечно же, знает. Есть – с переменными, есть –

Слайд 19Домашнее задание: №715, 745
Спасибо за урок!

Домашнее задание:  №715, 745Спасибо за урок!

Что такое shareslide.ru?

Это сайт презентаций, где можно хранить и обмениваться своими презентациями, докладами, проектами, шаблонами в формате PowerPoint с другими пользователями. Мы помогаем школьникам, студентам, учителям, преподавателям хранить и обмениваться учебными материалами.


Для правообладателей

Яндекс.Метрика

Обратная связь

Email: Нажмите что бы посмотреть