Презентация, доклад по алгебре а тему Ньютон

Содержание

Тема урока: Применение определённого интеграла в решении геометрических и физических задач.

Слайд 1Урок алгебры в 11 «А» классе.

Урок алгебры в 11 «А» классе.

Слайд 2Тема урока:
Применение определённого интеграла в решении геометрических

и физических задач.
Тема урока:    Применение определённого интеграла в решении геометрических и физических задач.

Слайд 3Фронтальный опрос:

Фронтальный опрос:

Слайд 41.Что такое первообразная?

1.Что такое первообразная?

Слайд 5 Если для любого х из множества Х выполняется

равенство F'(x)=f(x) , то функцию F(x) называют первообразной для функции f(x) на данном множестве.

Если для любого х из множества Х выполняется равенство F'(x)=f(x) , то функцию F(x)

Слайд 6 2.Что такое неопределённый интеграл?

2.Что такое неопределённый интеграл?

Слайд 7 Совокупность всех первообразных функции F(x)+С для функции f(x) называется

неопределённым интегралом функции f(x).


Совокупность всех первообразных функции F(x)+С для функции f(x) называется неопределённым интегралом функции f(x).

Слайд 8 3.Что такое определённый интеграл?

3.Что такое определённый интеграл?

Слайд 9 Число , к которому стремится площадь криволинейной трапеции,

построенной на отрезке [a;b] , называют определённым интегралом функции f(x) от a до b.



Число , к которому стремится площадь криволинейной трапеции, построенной на отрезке [a;b] , называют

Слайд 10 4. Дайте определение криволинейной трапеции.

4. Дайте определение криволинейной трапеции.

Слайд 11 Фигуру, ограниченную графиком непрерывной функции у= f(x) ,

прямыми х=а, х=b и осью ОХ, называется криволинейной трапецией.
Фигуру, ограниченную графиком непрерывной функции у= f(x) , прямыми х=а, х=b и осью ОХ,

Слайд 12 5. В чём заключается геометрический и физический смысл интеграла?

5. В чём заключается геометрический и физический смысл интеграла?

Слайд 13 Интеграл применяют в решении геометрических и физических задач:


Интеграл применяют в решении геометрических и физических задач:

Слайд 14Геометрический смысл интеграла
Интеграл от функции на отрезке равен площади криволинейной трапеции

Геометрический смысл интегралаИнтеграл от функции на отрезке равен площади криволинейной трапеции

Слайд 15Физический смысл интеграла




Известно : a(t)=V´(t),


тогда скорость равна:
V =

S =

Известно: V(t) = S´(t),


тогда перемещение равно:

Физический смысл интеграла      Известно : a(t)=V´(t),

Слайд 176. Назовите формулу Ньютона-Лейбница.

6. Назовите формулу Ньютона-Лейбница.

Слайд 18Формула Ньютона-Лейбница

Формула Ньютона-Лейбница

Слайд 19 Назовите общий вид первообразных элементарных функций.

Назовите общий вид первообразных элементарных функций.

Слайд 20f(x) = k


f(x) = хn

f(x) = sinx

f(x) = cosx

f(x) =

f(x) =

F(x) =

F(x) =

F(x) =

F(x) =

F(x) =

F(x) =

kх+С

-cos x+С


sin x+С

-ctg x+С

tg x+С


f(x) = k         f(x) = хn

Слайд 21Разминка :
Самостоятельная работа с тестом по учебнику:

Раздел «А» ( стр.32 вопросы 1,2,3)
Раздел «В» (стр.33 вопросы 5,6,7)
Раздел «С» (стр.33 вопросы 8,9,10)

Разминка :     Самостоятельная работа с тестом по учебнику: Раздел «А» ( стр.32 вопросы

Слайд 22Задача:

Вычислите площадь фигуры,
ограниченная графиками функций:

Задача:

Слайд 23Ключ к тесту «А»:

1. В, 2. Д, 3. С.
Ключ к тесту «В»:
5. С, 6. С, 7. Д.
Ключ к тесту «С»:
8. В, 9. Д, 10. С.

Ключ к тесту «А»:        1. В, 2. Д, 3. С.Ключ

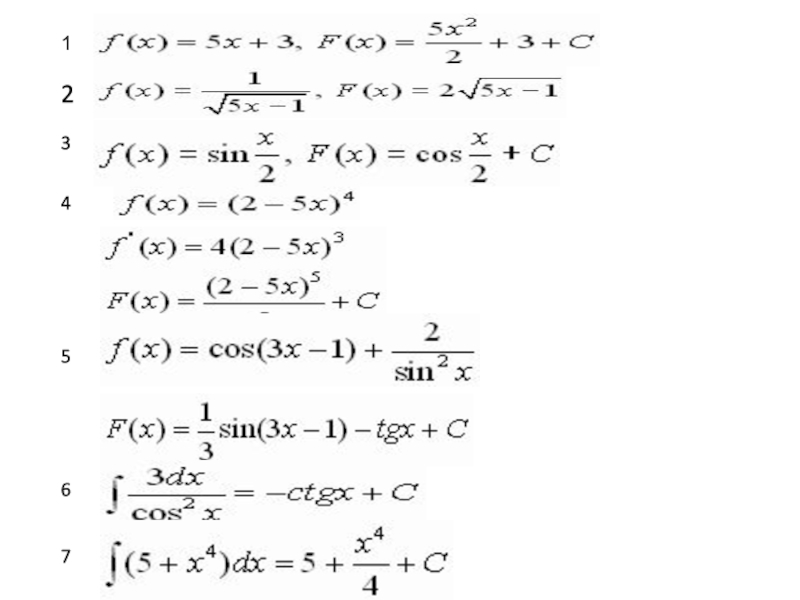
Слайд 24Блиц – турнир:

Найдите и исправьте ошибки:

Блиц – турнир:  Найдите и исправьте ошибки:

Слайд 251




2
3
4
5
6
7

1         234567

Слайд 26 Задача: Материальная точка движется по прямой со скоростью V(t)=sint·cost

(м/с). Найдите путь (в метрах и сантиметрах) , пройденный материальной точкой за промежуток времени от t=0 с до t=π/4 с


Задача: Материальная точка движется по прямой со скоростью V(t)=sint·cost (м/с). Найдите путь (в метрах и

Слайд 27Ответ:1/4 (м) или 25 (см).

Ответ:1/4 (м) или 25 (см).

Слайд 28История возникновения метода интегрирования.

История возникновения метода интегрирования.

Слайд 29Ньютон (XVII в)


Ньютон (XVII в)

Слайд 31 Бернулли(XVIII)

Бернулли(XVIII)

Слайд 32Вычисление объемов тел с помощью определенного интеграла

Вычисление объемов тел с помощью определенного интеграла

Слайд 33
Объемом тела называется положительная величина, характеризующая часть пространства, занимаемую

телом.
Объемом тела называется положительная величина, характеризующая часть пространства, занимаемую телом.

Слайд 34Немного теории.
Чтобы получить представление об общем методе вычисления объемов

различных пространственных фигур, попробуем найти объем лимона. Ни на одно из тел, изучаемых в школе (призма, пирамида, шар, конус и т.д.), лимон не похож. Однако, мы можем поступить как все хозяйки – разрезать лимон на тонкие ломтики, размер которых зависит от расстояния x, причем x€[0;H].

H

x

Тогда, по свойству объема, сумма объемов всех ломтиков даст нам объем всего лимона.

Немного теории.  Чтобы получить представление об общем методе вычисления объемов различных пространственных фигур, попробуем найти объем

Слайд 35H
x
∆∆x∆xx
С точки зрения геометрии мы построили сечения пространственной фигуры плоскостями, перпендикулярными

оси фигуры; причем, если принять число разбиений бесконечно большим числом (n→), то:

Проще говоря, при бесконечном числе разбиений каждый ломтик «вырождается» в плоское сечение и объем лимона равен бесконечной интегральной сумме площадей таких сечений, зависящих от расстояния x, т.е.

∆x

Hx∆∆x∆xxС точки зрения геометрии мы построили сечения пространственной фигуры плоскостями, перпендикулярными оси фигуры; причем, если принять число

Слайд 36
Укажем общий способ вычисления объемов тел

вращения.

Пусть криволинейная трапеция, то есть фигура, ограниченная осью Ox, прямыми x = a, x = b и графиком непрерывной возрастающей неотрицательной функции y = f (x), вращается вокруг оси Ox (рис.1), вследствие чего образуется тело вращения. Сечение этого тела плоскостью, перпендикулярной оси Ox, есть круг или точка.

Рис.1

Укажем общий способ вычисления  объемов тел вращения. Пусть криволинейная трапеция, то есть

Слайд 37
На промежутке (a; b) выберем точку x.

Сечение, проведенное через эту точку перпендикулярно оси Ox, есть круг площадью S (x) = πf ² (x). Объем части тела вращения, ограниченной сечениями, проведенными через точки a и x, обозначим через V (x), а объем данного тела вращения – через V.
На промежутке (a; b) выберем точку x. Сечение, проведенное через эту точку перпендикулярно оси

Слайд 38Объем V (x) является первообразной для функции S (x) (площади сечения) на промежутке

[a; b]. Отсюда имеем:
Объем V (x) является первообразной для функции S (x) (площади сечения) на промежутке [a; b]. Отсюда имеем:

Слайд 39АЛГОРИТМ ВЫЧИСЛЕНИЯ ОБЪЁМОВ ГЕОМЕТРИЧЕСКИХ ТЕЛ С ПОМОЩЬЮ ОПРЕДЕЛЁННОГО ИНТЕГРАЛА.
1. Ввести систему

координат так, что ось ОХ была перпендикулярна основанию геометрического тела.
2. Найти пределы интегрирования а и b.
3. Провести сечение плоскостью перпендикулярно оси ОХ через точку с абсциссой х.
Определить вид сечения, задать формулой его площадь как функцию S(X).
4. Проверить непрерывность функции S(X) на [a;b].
5. Составить интеграл и вычислить его по формуле:

АЛГОРИТМ ВЫЧИСЛЕНИЯ ОБЪЁМОВ ГЕОМЕТРИЧЕСКИХ ТЕЛ С ПОМОЩЬЮ ОПРЕДЕЛЁННОГО ИНТЕГРАЛА.1. Ввести систему координат так, что ось ОХ была

Слайд 40Объем конуса с высотой H и площадью основания S.
x
х€[0;H]
H
x
Площадь сечения изменяется

в зависимости от расстояния x, причем отношение площади основания к площади сечения равно квадрату коэффициента подобия соответственных кругов, т.е.:

0

Объем конуса с высотой H и площадью основания S.xх€[0;H]HxПлощадь сечения изменяется в зависимости от расстояния x, причем

Слайд 41Объем цилиндра с высотой H и площадью основания S.
x
x€[0;H]
H
0
x
Площадь сечения не

изменяется в любой точке отрезка от 0 до H и равна площади основания.
Объем цилиндра с высотой H и площадью основания S.xx€[0;H]H0xПлощадь сечения не изменяется в любой точке отрезка от

Слайд 42 Объем шара с радиусом R.
Найдем объем полушария, как бесконечную интегральную

сумму площадей сечения с радиусом r, где:

R

x

Значит, объем всего шара равен:

x

0

r

Объем шара с радиусом R.Найдем объем полушария, как бесконечную интегральную сумму площадей сечения с радиусом r,

Слайд 43Задание на дом. №53(2), № 63

Задание на дом. №53(2), № 63

Слайд 44Учитель Бережная И.В.
Спасибо за внимание!

Учитель Бережная И.В.Спасибо за внимание!

Что такое shareslide.ru?

Это сайт презентаций, где можно хранить и обмениваться своими презентациями, докладами, проектами, шаблонами в формате PowerPoint с другими пользователями. Мы помогаем школьникам, студентам, учителям, преподавателям хранить и обмениваться учебными материалами.


Для правообладателей

Яндекс.Метрика

Обратная связь

Email: Нажмите что бы посмотреть