Презентация, доклад по алгебре 8 класс

Презентация по алгебре 8 класс Алгебра

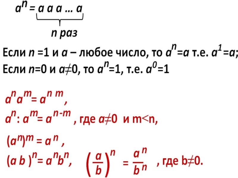
Слайд 1«Свойства степени с целым показателем»
Выполнила: Таранова Маргарита Сергеевна

«Свойства степени с целым показателем»Выполнила: Таранова Маргарита Сергеевна

Что такое shareslide.ru?

Это сайт презентаций, где можно хранить и обмениваться своими презентациями, докладами, проектами, шаблонами в формате PowerPoint с другими пользователями. Мы помогаем школьникам, студентам, учителям, преподавателям хранить и обмениваться учебными материалами.


Для правообладателей

Яндекс.Метрика

Обратная связь

Email: Нажмите что бы посмотреть