Презентация, доклад открытого урока по алгебре Квадратные уравнение: методы решение

Содержание

«Уравнение - это золотой ключ, открывающий все математические сезамы». С. Коваль.

Слайд 1Квадратные уравнения: методы решения.
Учителя математики
МОУ СОШ № г.Каспийск

Квадратные уравнения: методы решения.Учителя математикиМОУ СОШ № г.Каспийск

Слайд 2


«Уравнение - это золотой ключ, открывающий все математические сезамы».

С. Коваль.

«Уравнение - это золотой ключ, открывающий все математические сезамы». С. Коваль.

Слайд 3ПЛАН УРОКА


1. Теоретическая разминка.
2. Энциклопедия квадратных уравнений.
3. Думающий колпак.
4. Историческая

справка.
5. Копилка ценных мыслей.
6. Домашнее задание.

ПЛАН УРОКА1. Теоретическая разминка.2. Энциклопедия квадратных уравнений.3. Думающий колпак. 4. Историческая справка.5. Копилка ценных мыслей.6. Домашнее задание.

Слайд 4Сформулируйте определение квадратного уравнения.
2. Объясните, в чём заключается смысл ограничения

в определении квадратного уравнения (а ≠ 0).
3. Перечислите виды квадратных уравнений.
4. Какое квадратное уравнение называется неполным? Приведите пример.
5. Какое квадратное уравнение называется приведённым? Приведите пример.
6. Способы решения полного квадратного уравнения?



Вопросы
теоретической разминки:

подробнее


подробнее

Сформулируйте определение квадратного уравнения.2.  Объясните, в чём заключается смысл ограничения в определении квадратного уравнения (а ≠

Слайд 5Специальные методы:

1. Метод выделения квадрата двучлена.
2. Метод «переброски» старшего коэффициента.
3. На

основании теорем.



Специальные методы:1. Метод выделения квадрата двучлена.2. Метод «переброски» старшего коэффициента.3. На основании теорем.

Слайд 6Общие методы:
Разложение на множители;
Введение новой переменной;
Графический метод.

Общие методы:Разложение на множители;Введение новой переменной;Графический метод.

Слайд 7
ДУМАЮЩИЙ КОЛПАК
Большим и указательным пальцами мягко оттягивают назад и прижимают, массируя,

раковины ушей.


УЧЕБНЫЕ ИНСТРУКЦИИ
• Держите голову прямо, чтобы подбородку было удобно. • Упражнение повторяют трижды или более раз.



ДУМАЮЩИЙ КОЛПАК 	Большим и указательным пальцами мягко оттягивают назад и прижимают, массируя, раковины ушей.  УЧЕБНЫЕ ИНСТРУКЦИИ

Слайд 8
.




Впервые ввёл термин «квадратное уравнение» немецкий философ Кристиан Вольф.

Кристиан Вольф - знаменитый немецкий философ, родился в 1679 г. в Бреславле, в семье простого ремесленника, изучал в Йене сначала богословие, потом математику и философию.


http://ru.wikipedia.org/wiki/%D0%A5%D1%80%D0%B8%D1%81%D1%82%D0%B8%D0%B0%D0%BD_%D0%92%D0%BE%D0%BB%D1%8C%D1%84

.     Впервые ввёл термин «квадратное уравнение»

Слайд 9
Сильвестр Джеймс Джозеф – английский математик, который ввел термин «дискриминант».

http://www.persons-info.com/index.php?pid=10965

Сильвестр Джеймс Джозеф – английский математик, который ввел термин «дискриминант».http://www.persons-info.com/index.php?pid=10965

Слайд 10 В 13 – 16 веках даются отдельные методы решения

различных видов квадратных уравнений. Слияние этих методов произвел в 1544 году немецкий математик – Михаэль Штифель. Это было настоящее событие в математике.


http://ru.wikipedia.org/wiki/%D0%A8%D1%82%D0%B8%D1%84%D0%B5%D0%BB%D1%8C,_%D0%9C%D0%B8%D1%85%D0%B0%D1%8D%D0%BB%D1%8C

В 13 – 16 веках даются отдельные методы решения различных видов квадратных уравнений. Слияние этих

Слайд 11Домашнее задание







Решите уравнение 3х2 + 5х + 2 = 0:

используя

формулу дискриминанта – «3»,
двумя способами – «4»,
тремя способами – «5».

Дополнительно.
Решите уравнение (х2-х)2 - 14(х2-х) + 24 = 0 методом введения новой переменной.




Домашнее заданиеРешите уравнение 3х2 + 5х + 2 = 0: используя формулу дискриминанта – «3», двумя способами

Слайд 12Энциклопедия квадратного уравнения


подробнее

Энциклопедия  квадратного уравненияподробнее

Слайд 13
РЕШЕНИЕ
НЕПОЛНЫХ КВАДРАТНЫХ УРАВНЕНИЙ
в=0
ах2+с=0
с=0
ах2+вх=0
в,с=0
ах2=0
подробнее
подробнее
подробнее

РЕШЕНИЕ НЕПОЛНЫХ  КВАДРАТНЫХ УРАВНЕНИЙв=0ах2+с=0с=0ах2+вх=0в,с=0ах2=0подробнееподробнееподробнее

Слайд 14Алгоритм решения
1.Переносим с в правую часть уравнения.
ах2= - с.
2.Делим обе

части уравнения на а≠0.
х2= .
3.Если –с/а>0 -два решения:
х1 = и х2 = -

Если <0 - нет решений.






в=0
ах2+с=0











Алгоритм решения 1.Переносим с в правую часть уравнения.ах2= - с.2.Делим обе части уравнения на а≠0.х2=

Слайд 15
Выносим x за скобки:
х (ах + в)

= 0.
2. «Разбиваем» уравнение
на два:
x = 0, ах + в = 0.
3. Два решения:
х = 0 и х = (а≠0).

Алгоритм решения


с=0
ах2+вх=0



Выносим x за скобки:   х (ах + в) = 0.2.  «Разбиваем» уравнение

Слайд 16
1. Делим обе части уравнения на а≠0.
х2 = 0
2. Одно решение:

х = 0.

Алгоритм решения

Подведём итог!

в,с=0
ах2=0

1. Делим обе части уравнения на а≠0.х2 = 02. Одно решение: х = 0.Алгоритм решенияПодведём итог!в,с=0ах2=0

Слайд 17Неполные квадратные уравнения:












Неполные квадратные уравнения:

Слайд 18 D < 0


D = 0

D > 0
Корней нет

D < 0D = 0D > 0Корней нет

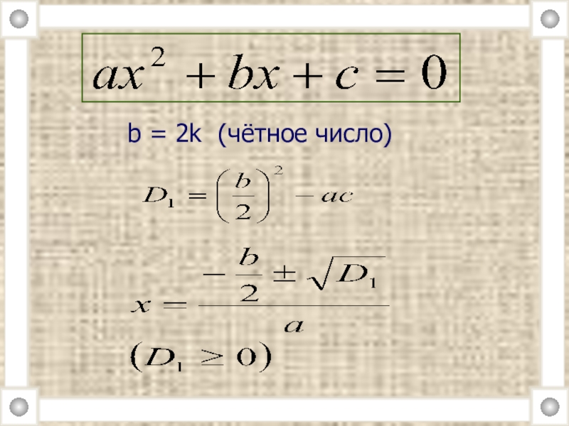
Слайд 19b = 2k (чётное число)

b = 2k (чётное число)

Слайд 20Теорема Виета




x1 и х2 – корни уравнения





x1

и х2 – корни уравнения


Теорема Виета  x1 и х2 – корни уравнения  x1 и х2 – корни уравнения

Слайд 21
Суть метода: привести квадратное уравнение общего

вида к неполному квадратному уравнению.


Пример: х2 - 6х + 5 = 0.


Метод выделения квадрата двучлена.




подробнее




Суть метода: привести квадратное уравнение общего вида к неполному квадратному уравнению.

Слайд 22Корни квадратных уравнений
и
связаны соотношениями
и

Пример:
Метод «переброски» старшего коэффициента.

подробнее

2х2 - 9х

– 5 = 0.
Корни квадратных уравнений и связаны соотношениямииПример:Метод «переброски» старшего коэффициента.подробнее2х2 - 9х – 5 = 0.

Слайд 23На основании теорем:
Если в квадратном уравнении a+b+c=0, то один из корней

равен 1, а
второй по теореме Виета равен

Если в квадратном уравнении a+c=b, то один из корней равен -1,
а второй по теореме Виета равен

Примеры:


подробнее



200х2 + 210х + 10 = 0.

На основании теорем:	Если в квадратном уравнении a+b+c=0, то один из корней равен 1, а   второй

Слайд 24Метод разложения на множители
привести квадратное уравнение общего вида к виду
А(х)·В(х)=0,


где А(х) и В(х) – многочлены относительно х.

Цель:

Вынесение общего множителя за скобки;
Использование формул сокращенного умножения;
Способ группировки.

Способы:

Пример:

подробнее

4х2 + 5х + 1 = 0.

Метод разложения на множителипривести квадратное уравнение общего вида к виду А(х)·В(х)=0, где А(х) и В(х) – многочлены

Слайд 25Введение новой переменной.
Удачный выбор новой переменной делает структуру уравнения более прозрачной.
Пример:



подробнее

(2х+3)2 = 3(2х+3) – 2.

Введение новой переменной.Удачный выбор новой переменной делает структуру уравнения более прозрачной.Пример: подробнее(2х+3)2 = 3(2х+3) – 2.

Слайд 26Графический метод
Для решения уравнения f(x) = g(x) необходимо построить графики функций


y = f(x), y = g(x)
и найти точки их пересечения;
абсциссы точек пересечения и будут корнями уравнения.

Пример:


подробнее

х2 =х+2.

Графический методДля решения уравнения f(x) = g(x) необходимо построить графики функций y = f(x), y = g(x)

Слайд 27Графический метод часто применяют не для нахождения корней уравнения, а для

определения их количества.







Графический метод часто применяют не для нахождения корней уравнения, а для определения их количества.

Слайд 28Метод выделения квадрата двучлена.




(a + b)2 = a2 + 2ab

+ b2,
(a - b)2 = a2 - 2ab + b2.

Решим уравнение х2 - 6х + 5 = 0.

х2 - 6х + 5 = 0.
(х -3)2 – 4 = 0.
(х -3)2 = 4.
х – 3 = 2 ; х – 3 = -2.
х = 5, х =1.

Ответ: 5; 1.

Метод выделения квадрата двучлена.  (a + b)2 = a2 + 2ab + b2, (a - b)2

Слайд 29Метод “переброски” старшего коэффициента




ax2 + bx + c = 0

и y2+ by + ac = 0


связаны соотношениями:

Решите уравнение 2х2 - 9х – 5 = 0.

у2 - 9у - 10 = 0.
D>0, по теореме, обратной теореме Виета, получаем корни: -1; 10,
далее возвращаемся к корням исходного уравнения: - 0,5; 5.


Ответ: 5; -0,5.

Метод “переброски” старшего коэффициента  ax2 + bx + c = 0 и y2+ by + ac

Слайд 30Теорема 1. Если в квадратном уравнении a + b + c

= 0, то один из корней равен 1, а второй по теореме Виета равен




Решите уравнение 137х2 + 20х – 157 = 0.
137х2 + 20х – 157 = 0.
a = 137, b = 20, c = -157.
a + b+ c = 137 + 20 – 157 =0.

x1 = 1, х2= -157/137.

Ответ: 1; -157/137.


.




Теорема 1. Если в квадратном уравнении  a + b + c = 0, то один из

Слайд 31Теорема 2. Если в квадратном уравнении a + c = b,

то один из корней равен -1, а второй по теореме Виета равен





Решите уравнение 200х2 + 210х + 10 = 0.
200х2 + 210х + 10 = 0.
a = 200, b = 210, c = 10.
a + c = 200 + 10 = 210 = b.

х1 = -1, х2 = -


Ответ: -1; -0,05

Теорема 2. Если в квадратном уравнении  a + c = b, то один из корней равен

Слайд 32Метод разложения на множители.




Решите уравнение 4х2 + 5х + 1 =

0.
4х2 + 5х + 1 = 0.
4х2 + 4х + х + 1 = 0.
4х(х+1) + (х+1) = 0.
4х(х + 1) = 0.
Произведение двух множителей равно нулю, если хотя бы один из них равен нулю, а второй при этом не теряет смысла, или когда оба равны нулю.
4х = 0 и х + 1 = 0.
х = 0, х = -1.
Ответ: 0; -1.
Метод разложения на множители.Решите уравнение 4х2 + 5х + 1 = 0.4х2 + 5х + 1 =

Слайд 33Метод введения новой переменной.




Решите уравнение (2х+3)2 = 3(2х+3) – 2.
(2х+3)2 =

3(2х+3) – 2.
Пусть: t = 2х + 3.
Произведем замену переменной: t2 = 3t - 2.
t2 -3t + 2 = 0. D > 0.
По теореме, обратной теореме Виета: t1 = 1, t2 = 2.
Произведем обратную замену и вернемся к переменной х, получим следующие корни:
-1; -0,5.
Ответ: -1; -0,5.
Метод введения новой переменной.Решите уравнение (2х+3)2 = 3(2х+3) – 2.(2х+3)2 = 3(2х+3) – 2.Пусть: t = 2х

Слайд 34




3. в=0
ах2+с=0
2. с=0
ах2+вх=0
1. в,с=0
ах2=0
4. b - нечётное
ах2+bx+с=0

5. b - чётное
ах2+bx+с=0

6. Теорема

Виета.
7. Метод выделения квадрата двучлена.
8. Метод «переброски» старшего коэффициента.
9. Т1 или Т2.
10. Метод разложения на множители.
11. Метод введения новой переменной.

3. в=0ах2+с=02. с=0ах2+вх=01. в,с=0ах2=04. b - нечётноеах2+bx+с=05. b - чётноеах2+bx+с=06. Теорема Виета.7. Метод выделения квадрата двучлена.8. Метод

Слайд 36



Математик немного поэт. Т. Вейерштрасс
http://dic.academic.ru/dic.nsf/bse/158739/%D0%92%D0%B5%D0%B9%D0%B5%D1%80%D1%88%D1%82%D1%80%D0%B0%D1%81%D1%81

Математик немного поэт. Т. Вейерштрассhttp://dic.academic.ru/dic.nsf/bse/158739/%D0%92%D0%B5%D0%B9%D0%B5%D1%80%D1%88%D1%82%D1%80%D0%B0%D1%81%D1%81

Что такое shareslide.ru?

Это сайт презентаций, где можно хранить и обмениваться своими презентациями, докладами, проектами, шаблонами в формате PowerPoint с другими пользователями. Мы помогаем школьникам, студентам, учителям, преподавателям хранить и обмениваться учебными материалами.


Для правообладателей

Яндекс.Метрика

Обратная связь

Email: Нажмите что бы посмотреть