Презентация, доклад к уроку Решение систем линейных неравенств

Назовите и запишите промежутки

Слайд 1Открытый урок по алгебре 8 класс Тема урока: «Решение систем линейных

неравенств»
Открытый урок по алгебре 8 класс Тема урока: «Решение систем линейных неравенств»

Слайд 2Назовите и запишите промежутки

Назовите и запишите промежутки

Слайд 33(2+1,5x)


Решение линейных неравенств

Ответ:

4,5

3(2+1,5x)

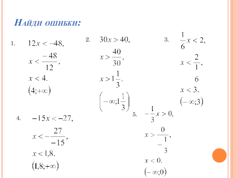
Слайд 4Найди ошибки:
1.
2.
3.
4.
5.

Найди ошибки: 1.2.3.4.5.

Слайд 5Системы неравенств
Система неравенств- это несколько неравенств с одной переменной.
Решение системы неравенств-

это значение переменной, при котором каждое из неравенств системы обращается в верное числовое неравенство.
Общее решение неравенств- это множество всех решений системы неравенств.

Системы неравенствСистема неравенств- это несколько неравенств с одной переменной.Решение системы неравенств- это значение переменной, при котором каждое

Слайд 6Является ли решением системы неравенств число 3?
А)
В)

Является ли решением системы неравенств число 3? А)В)

Слайд 7Решаем систему неравенств.
Решить систему неравенств – найти значение
переменной, при котором

верно каждое из неравенств системы.

6

3,5

х

Решаем систему неравенств.Решить систему неравенств – найти значение переменной, при котором верно каждое из неравенств системы.63,5х

Слайд 8Решаем систему неравенств.
Решить систему неравенств – найти значение
переменной, при котором

верно каждое из неравенств системы.

9

1

х

Решаем систему неравенств.Решить систему неравенств – найти значение переменной, при котором верно каждое из неравенств системы.91х

Слайд 9Решаем систему неравенств.
Решить систему неравенств – найти значение
переменной, при котором

верно каждое из неравенств системы.

-2

Ответ: решений нет

3

х

Решаем систему неравенств.Решить систему неравенств – найти значение переменной, при котором верно каждое из неравенств системы.-2Ответ: решений

Слайд 10Решить систему и указать ее целые решения
а)
в)

Решить систему и указать ее целые решенияа)в)

Что такое shareslide.ru?

Это сайт презентаций, где можно хранить и обмениваться своими презентациями, докладами, проектами, шаблонами в формате PowerPoint с другими пользователями. Мы помогаем школьникам, студентам, учителям, преподавателям хранить и обмениваться учебными материалами.


Для правообладателей

Яндекс.Метрика

Обратная связь

Email: Нажмите что бы посмотреть