Презентация, доклад к уроку Квадратные уравнения

Вынести за скобки общий множительу 2 + у3х 2 + 7х8х 2 – 2х-а 2 + 3а- 3b 2 – 4b= у · у + у = у(у + 1)= 3х · х + 7х =

Слайд 1ТЕМА УРОКА :
Определение квадратного уравнения.
Неполные квадратные уравнения.
04.03.15 Классная работа .

ТЕМА УРОКА :Определение квадратного уравнения. Неполные квадратные уравнения.04.03.15 Классная работа .

Слайд 2Вынести за скобки общий множитель
у 2 + у
3х 2 + 7х

2 – 2х
-а 2 + 3а
- 3b 2 – 4b

= у · у + у = у(у + 1)
= 3х · х + 7х = х(3х + 7)
= 4х · 2х – 2х = 2х(4х – 1)
= -а · а + 3а = -а(а – 3)
= - 3b · b – 4b = -b(3b + 4)

Вынести за скобки общий множительу 2 + у3х 2 + 7х8х 2 – 2х-а 2 + 3а-

Слайд 3РЕШИТЕ УРАВНЕНИЕ :
3 – 7х = - 4
2х – 0,5 =

0,5
у + 3 = 0
а(а - 1) = 0

х 2 = 0
а 2 +3а = 0

х = 1
х = 0,5

а = 0 или а – 1 = 0
а = 1
х = 0
а = 0 , а = - 3

РЕШИТЕ УРАВНЕНИЕ :3 – 7х = - 42х – 0,5 = 0,5у +  3 = 0а(а

Слайд 4Найдите периметр прямоугольника, длина которого на 4 см больше ширины, а

площадь равна 60 см 2.

S =
Р =
а =
b =

х

х + 4

60

?

х(х + 4) = 60

Найдите периметр прямоугольника, длина которого на 4 см больше ширины, а площадь равна 60 см 2.S =

Слайд 5х 2 + 4х – 60 = 0
ах 2 + bх

+ с = 0

ОПРЕДЕЛЕНИЕ : Квадратным уравнением называется уравнение вида ах 2 + bх + с = 0, где х – переменная, а, b и с некоторые числа, причем а не равно 0 .

а – I коэффициент ,
b – II коэффициент ,
с – свободный член .

х 2 + 4х – 60 = 0ах 2 + bх + с = 0ОПРЕДЕЛЕНИЕ :

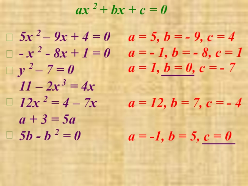
Слайд 65х 2 – 9х + 4 = 0

- х 2 - 8х + 1 = 0 у 2 – 7 = 0 11 – 2х 3 = 4х 12х 2 = 4 – 7х а + 3 = 5а 5b - b 2 = 0

а = 5, b = - 9, с = 4

а = - 1, b = - 8, с = 1

а = 1, b = 0, с = - 7

а = 12, b = 7, с = - 4

а = -1, b = 5, с = 0

ах 2 + bх + с = 0






5х 2 – 9х + 4 = 0

Слайд 7Неполные квадратные уравнения
b = 0
ах 2 + с = 0
с =

0
ах 2 + bх = 0

b = 0, с = 0
ах 2 = 0

ОПРЕДЕЛЕНИЕ : Квадратным уравнением называется уравнение вида ах 2 + bх + с = 0, где х – переменная, а, b и с некоторые числа, причем а не равно 0 .

х(ах + b) = 0 х = 0 или ах + b = 0 х = -b/а

Неполные квадратные уравненияb = 0ах 2 + с = 0с = 0 ах 2 + bх =

Слайд 8
1. х2 – х + 1 = 0
8х2 –

3х = 0
2х2 – 5х + 2 = 0
у2 – 36 = 0
- 2у2 + 5у = 0

2. а = 1, b = -1, с = 1
а = 8, b = - 3, с = 0
а = 2, b = -5, с = 2
а = 1, b = 0, с = - 36
а = - 2, b = 5, с = 0

3.а) 8х 2 – 3х = 0
х(8х – 3) = 0
х = 0 или х = 3/8


б) - 2у2 + 5у = 0
- у(2у – 5) = 0
у = 0 или у = 2,5

1. х2 – х + 1 = 0  8х2 – 3х = 0  2х2 –

Слайд 9Домашнее задание
Учебник п. 19
№ 507;
№ 511 (а, д, е);
№ 514 (а,

б, г);
№ 517.

Домашнее заданиеУчебник п. 19№ 507;№ 511 (а, д, е);№ 514 (а, б, г);№ 517.

Что такое shareslide.ru?

Это сайт презентаций, где можно хранить и обмениваться своими презентациями, докладами, проектами, шаблонами в формате PowerPoint с другими пользователями. Мы помогаем школьникам, студентам, учителям, преподавателям хранить и обмениваться учебными материалами.


Для правообладателей

Яндекс.Метрика

Обратная связь

Email: Нажмите что бы посмотреть