Презентация, доклад к уроку алгебры на тему: Правила вычисления производных (10 класс)

ТАБЛИЦА ПРОИЗВОДНЫХ

Слайд 1ПРАВИЛА ВЫЧИСЛЕНИЯ
ПРОИЗВОДНЫХ
Учитель математики: Михеева Ирина Анатольевна

ПРАВИЛА ВЫЧИСЛЕНИЯ ПРОИЗВОДНЫХУчитель математики:  Михеева Ирина Анатольевна

Слайд 2ТАБЛИЦА ПРОИЗВОДНЫХ

ТАБЛИЦА ПРОИЗВОДНЫХ

Слайд 3ПРАВИЛА ВЫЧИСЛЕНИЯ ПРОИЗВОДНЫХ

ПРАВИЛА ВЫЧИСЛЕНИЯ ПРОИЗВОДНЫХ

Слайд 4ТАБЛИЦА
ПРОИЗВОДНЫХ
ПРАВИЛА ВЫЧИСЛЕНИЯ
ПРОИЗВОДНЫХ

ТАБЛИЦА ПРОИЗВОДНЫХПРАВИЛА ВЫЧИСЛЕНИЯПРОИЗВОДНЫХ

Слайд 5Примеры
Найдите производные функций:

ПримерыНайдите производные функций:

Слайд 11№ 208 (б , г).
ЗАДАНИЯ:

№ 208 (б , г).ЗАДАНИЯ:

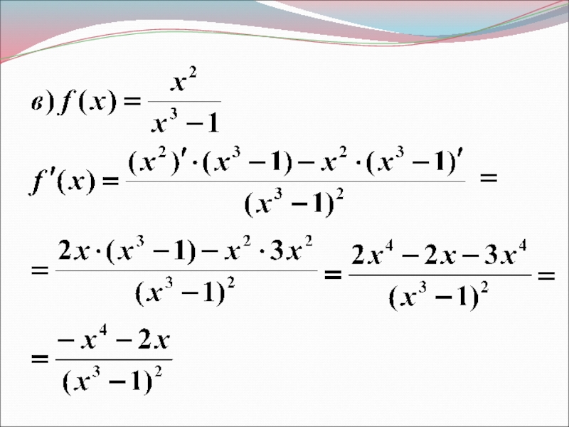
Слайд 12Решение:

Решение:

Слайд 14№ 209 (б , г).

№ 209 (б , г).

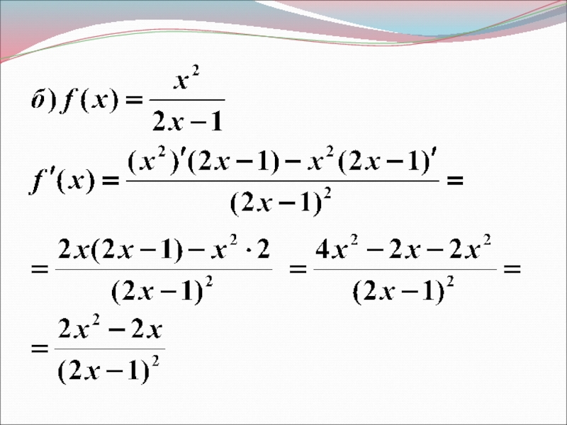
Слайд 15Решение:

Решение:

Слайд 17№ 210 (а,б).

№ 210 (а,б).

Слайд 18Решение:

Решение:

Слайд 20№ 211 (а,г).

№ 211 (а,г).

Слайд 21Решение:

Решение:

Слайд 23Домашнее задание:
№ 208 (а,в)
209 (а,в)

Домашнее задание:		№ 208 (а,в)			209 (а,в)

Что такое shareslide.ru?

Это сайт презентаций, где можно хранить и обмениваться своими презентациями, докладами, проектами, шаблонами в формате PowerPoint с другими пользователями. Мы помогаем школьникам, студентам, учителям, преподавателям хранить и обмениваться учебными материалами.


Для правообладателей

Яндекс.Метрика

Обратная связь

Email: Нажмите что бы посмотреть