Презентация, доклад для лекционного занятия по математической статистике

Содержание

Термин статистика происходит от латинского слова «status».В Средние века это означало политическое состояние государства. В науку этот термин ввёл немецкий учёный Годфрид Ахенваль. Зарождение статистики, как науки, следует отнести ко второй половине XVΙΙ века.

Слайд 1ЛЕКЦИЯ ТЕМА: «МАТЕМАТИЧЕСКАЯ СТАТИСТИКА»
Курс: 2
Дисциплина: «Математика»

Подготовила: преподаватель высшей категории Бирюкова Людмила

Николаевна

Ставрополь 2018 год
ЛЕКЦИЯ  ТЕМА: «МАТЕМАТИЧЕСКАЯ СТАТИСТИКА»Курс: 2Дисциплина: «Математика»Подготовила: преподаватель высшей категории Бирюкова Людмила НиколаевнаСтаврополь 2018 год

Слайд 2Термин статистика происходит от латинского слова «status».

В Средние века это означало

политическое состояние государства.

В науку этот термин ввёл немецкий учёный Годфрид Ахенваль.

Зарождение статистики, как науки, следует отнести ко второй половине XVΙΙ века.
Термин статистика происходит от латинского слова «status».В Средние века это означало политическое состояние государства. В науку этот

Слайд 3В настоящее время термин «Статистика» употребляется в четырёх значениях:
1. Комплекс дисциплин,

обладающих определённой спецификой и изучающих количественную сторону массовых явлений и процессов в их неразрывной связи с их качественным содержанием – учебный предмет в ВУЗ-ах и СУЗ-ах;

2. Отрасль практической деятельности по сбору, обработке, анализу и публикации массовых цифровых данных о самых различных явлениях и процессах общественной жизни;

3. Совокупность цифровых сведений, характеризующих состояние массовых явлений и процессов общественной жизни;

4. Статистические методы, применяемые для изучения социально-экономических явлений и процессов.

В настоящее время термин «Статистика» употребляется в четырёх значениях:1. Комплекс дисциплин, обладающих определённой спецификой и изучающих количественную

Слайд 4Статистика как наука имеет свой предмет исследования. Она исследует не отдельные

факты, а массовые социально-экономические явления и процессы, выступающие как множество отдельных факторов, обладающих как индивидуальными, так и общими признаками.
Статистика как наука имеет свой предмет исследования. Она исследует не отдельные факты, а массовые социально-экономические явления и

Слайд 5Статистические данные – это сведения о числе объектов какого - либо

множества, обладающих некоторым признаком.

Пример.
Сведения о количестве отличников в каждом учебном заведении;
сведения о числе разводов на число вступивших в брак;
сведения о количестве новорожденных и др.

Статистические данные – это сведения о числе объектов какого - либо множества, обладающих некоторым признаком.Пример.Сведения о количестве

Слайд 6На основании статистических данных можно делать научно – обоснованные выводы. Для

этого статистические данные определенным образом должны быть систематизированы и обработаны.

Математическая статистика изучает математические методы систематизации, обработки и использования статистических данных для научных и производственных нужд.

На основании статистических данных можно делать научно – обоснованные выводы. Для этого статистические данные определенным образом должны

Слайд 7Основной метод обработки данных – выборочный

Явления и процессы в жизни общества

изучаются статистикой посредством статистических показателей, представляющих собой обобщённую числовую характеристику какого-либо явления в единстве с качественной стороной в условиях конкретного места и времени.
Основной метод обработки данных – выборочныйЯвления и процессы в жизни общества изучаются статистикой посредством статистических показателей, представляющих

Слайд 8Различают следующие статистические показатели:
учётно-оценочные, которые в зависимости от специфики изучаемого явления

могут отображать или объёмы их распространенности в пространстве или достигнутые на определённые моменты (даты) уровни развития. (Например: численность населения в России на начало 2002 года составила 146,3 млн. чел.);

аналитические показатели, применяются для анализа статистической информации и характеризуют особенности развития изучаемого явления: типичность признака, соотношение его отдельных частей, меру распространения в пространстве, скорость развития во времени и т.д. В качестве аналитических показателей в статистике применяются относительные и средние величины, показатели вариации и динамики, тесноты связи и др.

Различают следующие статистические показатели: учётно-оценочные, которые в зависимости от специфики изучаемого явления могут отображать или объёмы их распространенности

Слайд 9Различают следующие статистические показатели:
Одной из важных категорий статистической науки, тесно связанной

с показателями, является понятие признака, под которым понимается характерное свойство изучаемого явления, отличающее его от других явлений.
Признаки бывают:
атрибутивные, выраженные смысловыми понятиями (пол – мужской, женский; магазин – продовольственный, промтоварный, хозяйственный);
количественные – признаки, выраженные числовыми значениями (возраст человека, стаж работы, размер заработной платы и т.д.);
варьирующие, принимающие различные значения у отдельных единиц изучаемого явления (товарооборот, валовой сбор и т.д.).
Различают следующие статистические показатели:Одной из важных категорий статистической науки, тесно связанной с показателями, является понятие признака, под которым понимается

Слайд 10Статистика рассматривает статистические совокупности.

Статистическая совокупность представляет собой множество единиц изучаемого явления, объединённых

в соответствии с задачей исследования единой качественной стороной, т. е.
признаками

Целью изучения статистических совокупностей является выявление закономерностей.
Закономерность – это то общее что определяет единство и однородность совокупности.

Статистика рассматривает статистические совокупности.Статистическая совокупность представляет собой множество единиц изучаемого явления, объединённых в соответствии с задачей исследования единой

Слайд 11СТАТИСТИЧЕСКОЕ ИССЛЕДОВАНИЕ
Сплошное Выборочное

Исследуется каждый объект совокупности

Исследуется отобранные некоторым образом объекты

СТАТИСТИЧЕСКОЕ ИССЛЕДОВАНИЕСплошное					ВыборочноеИсследуется каждый объект совокупностиИсследуется отобранные некоторым образом объекты

Слайд 12Генеральная совокупность – совокупность всех исследуемых объектов
Выборочная совокупность (выборка) – совокупность

случайно отобранных объектов
Случайный отбор – это такой отбор, при котором все объекты генеральной совокупности имеют одинаковую вероятность попасть в выборку
Генеральная совокупность – совокупность всех исследуемых объектовВыборочная совокупность (выборка) – совокупность случайно отобранных объектовСлучайный отбор – это

Слайд 13ВЫБОРКА
повторная бесповторная
Объект извлекается из генеральной совокупности, исследуется и возвращается в генеральную

совокупность, берется следующий, исследуется и возвращается и т.д.

Объект извлекается из и не возвращается, берется генеральной совокупности, исследуется следующий

ВЫБОРКАповторная 					бесповторнаяОбъект извлекается из генеральной совокупности, исследуется и возвращается в генеральную совокупность, берется следующий, исследуется и возвращается

Слайд 14Объём выборки – это число равное количеству объектов генеральной или выборочной

совокупности.
Пример.
Из 10000 изделий для контроля отобрали 100 изделий.
Объем генеральной совокупности равен 10000, объем выборки – 100.
Объём выборки – это число равное количеству объектов генеральной или выборочной совокупности.Пример.Из 10000 изделий для контроля отобрали

Слайд 15 Математическая статистика занимается вопросом: можно ли установив свойство выборки, считать, что

оно присуще всей генеральной совокупности.Для этого выборка должна быть достаточно представительной, т.е. достаточно полно отражать изучаемое свойство объектов.

Поэтому отбор объектов в выборку осуществляется случайно, а изучаемому свойству должна быть присуща статистическая устойчивость: при многократном повторении исследования наблюдаемые события повторяются достаточно часто (статистическая устойчивость частот)
Математическая статистика занимается вопросом: можно ли установив свойство выборки, считать, что оно присуще всей генеральной совокупности.Для этого

Слайд 16Для статистической обработки результаты исследования объектов, составляющих выборку, представляют в виде

числовой выборки (последовательности чисел или числового ряда)


Показатели описательной статистики можно разбить на несколько
групп:

- показатели положения, описывающие положение экспериментальных
данных на числовой оси. Примеры таких данных – максимальный и минимальный элементы выборки, среднее значение, медиана, мода и др.;

Для статистической обработки результаты исследования объектов, составляющих выборку, представляют в виде числовой выборки (последовательности чисел или числового

Слайд 17показатели разброса, описывающие степень разброса данных относительно центральной тенденции. К ним

относятся: выборочная дисперсия, разность между минимальным и максимальным элементами (размах, интервал выборки) и др.;

показатели асимметрии: положение медианы относительно среднего и др.;

- графические представления результатов – гистограмма, частотная диаграмма и др.
показатели разброса, описывающие степень разброса данных относительно центральной тенденции. К ним относятся: выборочная дисперсия, разность между минимальным

Слайд 18Разность между наибольшим значением числовой выборки и наименьшим называется размахом выборки


Разность между наибольшим значением числовой выборки и наименьшим называется размахом выборки

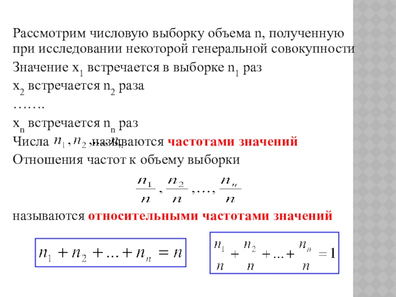
Слайд 19Рассмотрим числовую выборку объема n, полученную при исследовании некоторой генеральной совокупности
Значение

x1 встречается в выборке n1 раз
x2 встречается n2 раза
…….
xn встречается nn раз
Числа называются частотами значений
Отношения частот к объему выборки


называются относительными частотами значений




Рассмотрим числовую выборку объема n, полученную при исследовании некоторой генеральной совокупностиЗначение x1 встречается в выборке n1 разx2

Слайд 20Если составлена таблица в первой строке значения выборки, а во второй

частоты значений, то она задает статистический ряд, если второй строке относительные частоты значений, то такая таблица задает выборочное распределение
Если составлена таблица в первой строке значения выборки, а во второй частоты значений, то она задает статистический

Слайд 21Пример.
Для выборки определить объем, размах, найти статистический ряд и выборочное распределение:


3, 8, -1, 3, 0, 5, 3, -1, 3, 5
Объем: n = 10, размах = 8 – (-1) =9
Статистический ряд:


Выборочное распределение:

(убеждаемся 0,2 + 0,1 + 0,4 + 0,2 + 0,1 = 1)

Пример.Для выборки определить объем, размах, найти статистический ряд и выборочное распределение: 3, 8, -1, 3, 0, 5,

Слайд 22Мода (mo) — это наиболее частое значение в выборке, или среднее

значение класса с наибольшей частотой. Мода как центральная тенденция используется чаще всего для того, чтобы дать общее представление о распределении. В некоторых случаях у распределения могут быть две моды, в таком случае это свидетельствует о бимодальном распределении, что указывает на наличие двух относительно самостоятельных групп.

Медиана (me) соответствует центральному значению в последовательном ряду всех полученных значений выстроенном в порядке возрастания. Если же в ряду чётное количество показателей , то берут среднее арифметическое двух средних значений

Мода (mo) — это наиболее частое значение в выборке, или среднее значение класса с наибольшей частотой. Мода

Слайд 23Указание в представлении данных
меры центральной тенденции
(среднее, медиана, мода)
автоматически

сообщает
о нормальности распределения
признака.
При нормальном распределении все три показателя
более или менее совпадают, а при асимметричном распределении — нет.

Среднее арифметическое (m) — это показатель центральной тенденции, полученный делением суммы всех значений данных на число
этих данных. Среднее
арифметическое используется для
представления количественных
переменных с нормальным
распределением.

Указание в представлении данных меры центральной тенденции (среднее, медиана, мода) автоматически сообщает о нормальности распределения признака. При

Слайд 24ГРАФИЧЕСКИЕ ИЗОБРАЖЕНИЯ ВЫБОРКИ
Если выборка задана значениями и их частотами или статистическим

рядом, то строится полигон

Полигон частот Полигон относительных частот

Это ломаная с вершинами в точках

Это ломаная с вершинами в точках



ГРАФИЧЕСКИЕ ИЗОБРАЖЕНИЯ ВЫБОРКИЕсли выборка задана значениями и их частотами или статистическим рядом, то строится полигонПолигон частот		 		Полигон

Слайд 25При большом объеме выборки строится

гистограмма

Гистограмма частот гистограмма относительных частот

Для построения гистограммы промежуток от наименьшего значения выборки до наибольшего разбивают на несколько частичных промежутков длины h
Для каждого частичного промежутка подсчитывают сумму частот значений выборки, попавших в этот промежуток (Si) .
Значение выборки, совпавшее с правым концом частичного промежутка (кроме последнего промежутка), относится к следующему промежутку
Затем на каждом промежутке, как на основании, строим прямоугольник с высотой

Ступенчатая фигура, состоящая из таких прямоугольников, называется гистограммой частот.
Площадь такой фигуры равна объёму выборки .


При большом объеме выборки строится            гистограммаГистограмма

Слайд 26Гистограммой относительных частот называют ступенчатую фигуру, состоящую из прямоугольников, основанием которых

являются частичные промежутки длины h, а высотой отрезки длиной

где ωi – сумма относительных частот значений выборки, попавших в i промежуток
Площадь такой фигуры равна 1
Пример.
В результате измерения напряжения в электросети получена выборка. Построить гистограмму частот, если число частичных промежутков равно 5


Гистограммой относительных частот называют ступенчатую фигуру, состоящую из прямоугольников, основанием которых являются частичные промежутки длины h, а

Слайд 27218, 224, 222, 223, 221, 220, 227, 216, 215, 220, 218,

224, 225, 219, 220, 227, 225, 221, 223, 220, 217, 219, 230, 222
n = 24
Наибольшее значение – 230
Наименьшее значение – 215
Интервал: 230 – 215 = 15
Длина частичных промежутков:
Составим таблицу:


218, 224, 222, 223, 221, 220, 227, 216, 215, 220, 218, 224, 225, 219, 220, 227, 225,

Слайд 30ВЫБОРОЧНЫЕ ХАРАКТЕРИСТИКИ
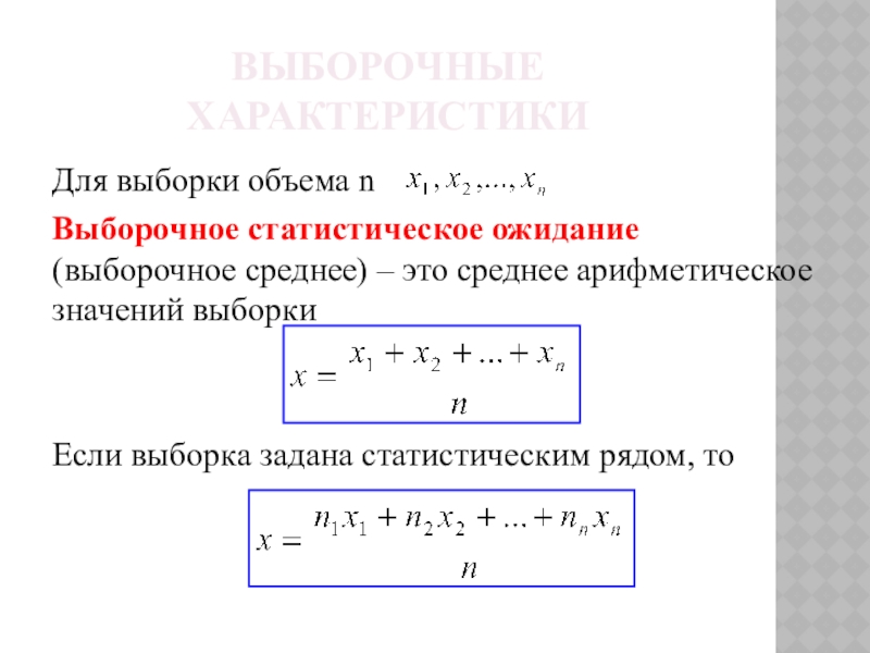
Для выборки объема n
Выборочное статистическое ожидание (выборочное среднее) – это

среднее арифметическое значений выборки


Если выборка задана статистическим рядом, то




ВЫБОРОЧНЫЕ ХАРАКТЕРИСТИКИДля выборки объема nВыборочное статистическое ожидание (выборочное среднее) – это среднее арифметическое значений выборкиЕсли выборка задана

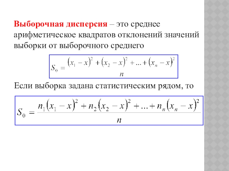
Слайд 31Выборочная дисперсия – это среднее арифметическое квадратов отклонений значений выборки от

выборочного среднего


Если выборка задана статистическим рядом, то

Выборочная дисперсия – это среднее арифметическое квадратов отклонений значений выборки от выборочного среднего Если выборка задана статистическим

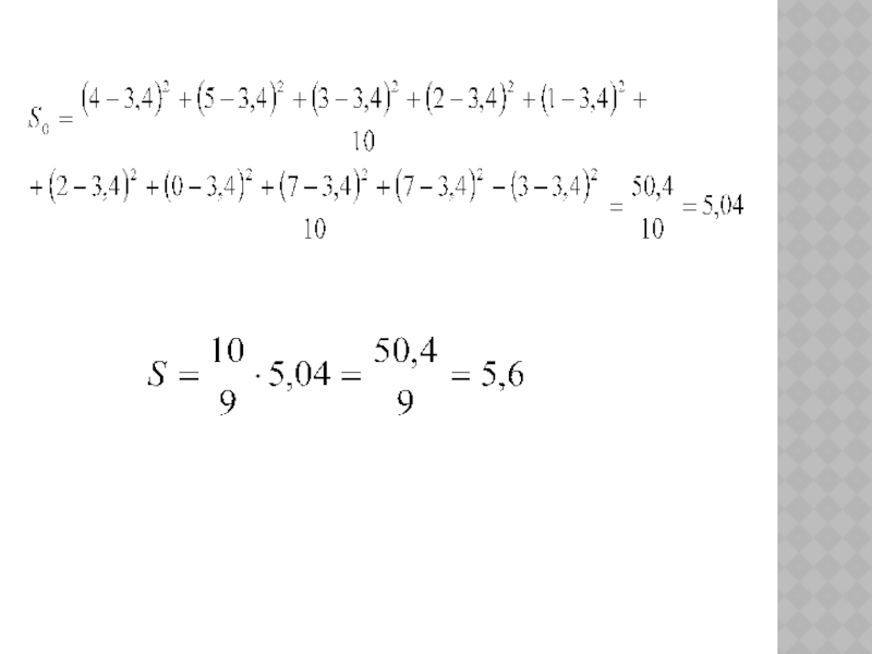
Слайд 32Несмещенная выборочная дисперсия

Пример.
Для выборки найти
Выборка: 4, 5, 3, 2,

1, 2, 0, 7, 7, 3
n = 10
Несмещенная выборочная дисперсия Пример.Для выборки найти Выборка: 4, 5, 3, 2, 1, 2, 0, 7, 7, 3n

Что такое shareslide.ru?

Это сайт презентаций, где можно хранить и обмениваться своими презентациями, докладами, проектами, шаблонами в формате PowerPoint с другими пользователями. Мы помогаем школьникам, студентам, учителям, преподавателям хранить и обмениваться учебными материалами.


Для правообладателей

Яндекс.Метрика

Обратная связь

Email: Нажмите что бы посмотреть