Презентация, доклад на тему Методическая разработка урока по математике на тему: Решение тригонометрических уравнений

№ 146 (а)Ответ:

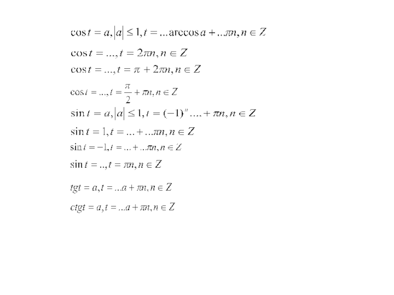
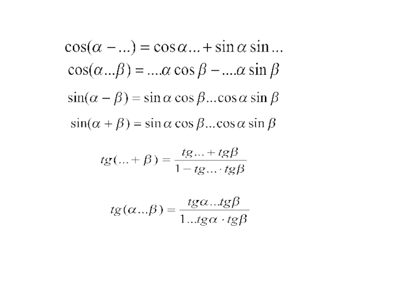
Слайд 1Решение тригонометрических уравнений
дидактическая: продолжить рассмотрение и вырабатывание навыков решения тригонометрических

уравнений различными способами;
воспитывающая: воспитывать настойчивость в достижении поставленной цели
развивающая: развивать аналитическое мышление, самостоятельность.

Решение тригонометрических уравнений дидактическая: продолжить рассмотрение и вырабатывание навыков решения тригонометрических уравнений различными способами;воспитывающая: воспитывать настойчивость в

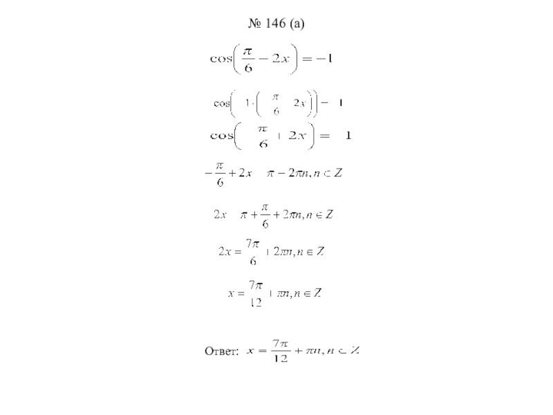
Слайд 5№ 146 (а)

Ответ:

№ 146 (а)Ответ:

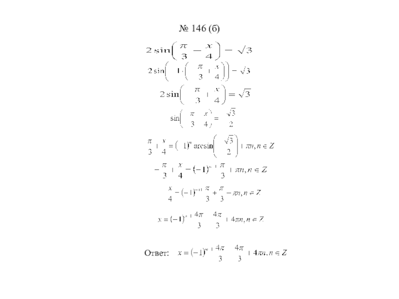
Слайд 6№ 146 (б)






Ответ:

№ 146 (б)

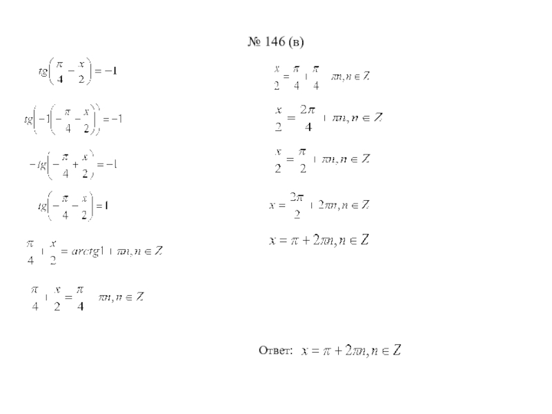
Слайд 7№ 146 (в)












Ответ:

№ 146 (в)Ответ:

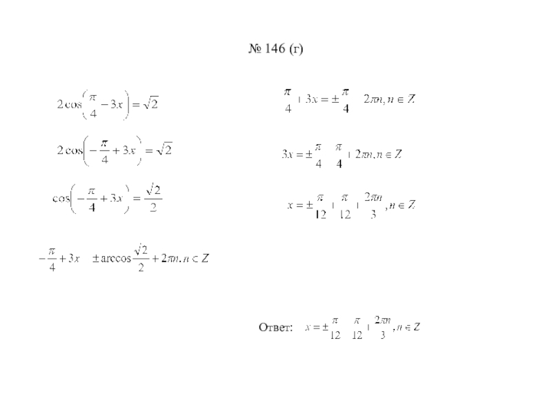
Слайд 8№ 146 (г)







Ответ:

№ 146 (г)Ответ:

Слайд 9№ 147 (а)






Ответ:

№ 147 (а)

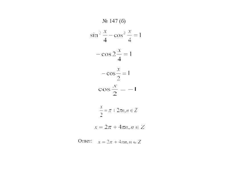
Слайд 10№ 147 (б)






Ответ:
№ 147 (б)

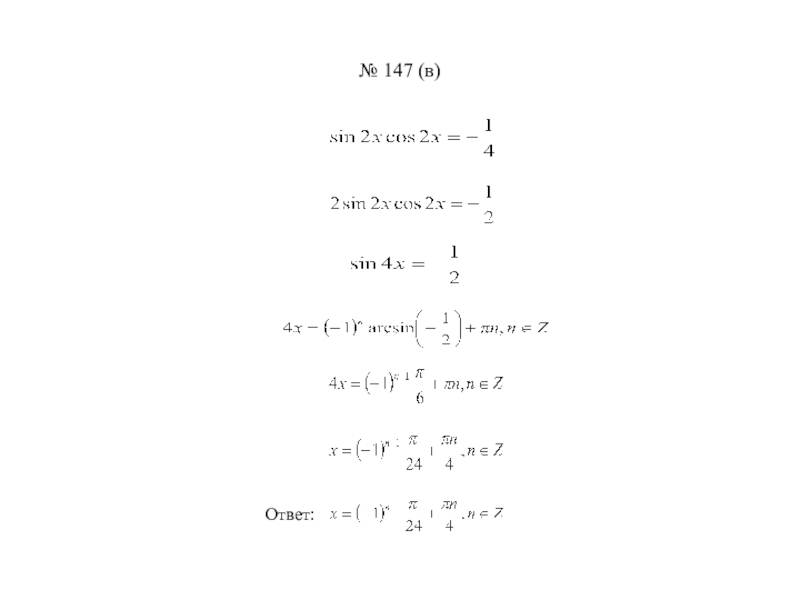
Слайд 11№ 147 (в)







Ответ:
№ 147 (в)

Слайд 12№ 147 (г)







Ответ:
№ 147 (г)

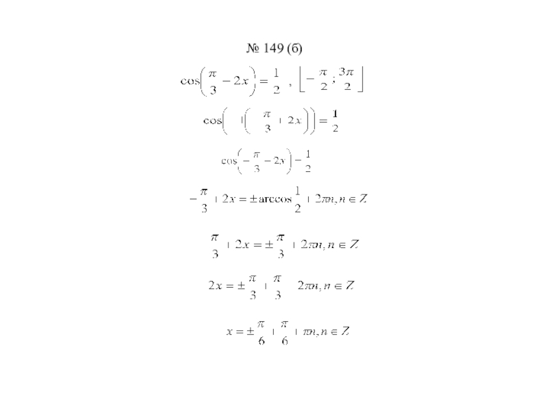
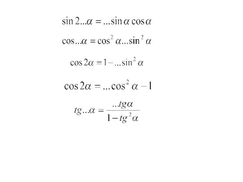
Слайд 13№ 149 (б)
,







№ 149 (б),

Слайд 14












В данный промежуток входят следующие корни уравнения:

В данный промежуток входят следующие корни уравнения:

Слайд 15,













В данный промежуток входят следующие корни уравнения:

Ответ:

, В данный промежуток входят следующие корни уравнения: Ответ:

Что такое shareslide.ru?

Это сайт презентаций, где можно хранить и обмениваться своими презентациями, докладами, проектами, шаблонами в формате PowerPoint с другими пользователями. Мы помогаем школьникам, студентам, учителям, преподавателям хранить и обмениваться учебными материалами.


Для правообладателей

Яндекс.Метрика

Обратная связь

Email: Нажмите что бы посмотреть