Презентация, доклад на тему Формулы приведения

Формулы синуса и косинуса суммы и разности аргументовsin(x+y)=sinxcosy+cosxsinysin(x-y)=sinxcosy-cosxsinycos(x+y)=cosxcosy-sinxsinycos(x-y)=cosxcosy+sinxsiny

Слайд 1Формулы приведения

Формулы приведения

Слайд 2Формулы синуса и косинуса суммы и разности аргументов
sin(x+y)=sinxcosy+cosxsiny
sin(x-y)=sinxcosy-cosxsiny
cos(x+y)=cosxcosy-sinxsiny
cos(x-y)=cosxcosy+sinxsiny


Формулы синуса и косинуса суммы и разности аргументовsin(x+y)=sinxcosy+cosxsinysin(x-y)=sinxcosy-cosxsinycos(x+y)=cosxcosy-sinxsinycos(x-y)=cosxcosy+sinxsiny

Слайд 3sin(π/2-t)=cost; cos(π/2-t)=sint;
sin(π/2+t)=cost; cos(π/2+t)=-sint;
sin(3π/2-t) = -cost;
cos (3π/2-t)=-sint;
sin(3π/2+t) = -cost;
cos(3π/2+t)= sint;

sin(π/2-t)=cost; cos(π/2-t)=sint;sin(π/2+t)=cost; cos(π/2+t)=-sint;sin(3π/2-t) = -cost; cos (3π/2-t)=-sint;sin(3π/2+t) = -cost; cos(3π/2+t)= sint;

Слайд 4
sin(π-t) =sint; cos(π-t)=- cost;
sin(π+t) = -sint;

cos(π+t)= -cost;
sin(2π-t) = -sint; cos(2π-t)=cost;
sin(2π+t) =sint; cos(2π+t)= cost;


sin(π-t) =sint;    cos(π-t)=- cost;sin(π+t) = -sint;  cos(π+t)= -cost;sin(2π-t) = -sint; cos(2π-t)=cost;sin(2π+t) =sint;

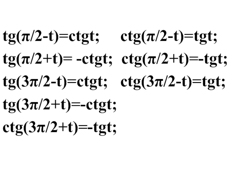
Слайд 5tg(π/2-t)=ctgt; ctg(π/2-t)=tgt;
tg(π/2+t)= -ctgt; ctg(π/2+t)=-tgt;
tg(3π/2-t)=ctgt; ctg(3π/2-t)=tgt;
tg(3π/2+t)=-ctgt;
ctg(3π/2+t)=-tgt;

tg(π/2-t)=ctgt;   ctg(π/2-t)=tgt;tg(π/2+t)= -ctgt; ctg(π/2+t)=-tgt;tg(3π/2-t)=ctgt;  ctg(3π/2-t)=tgt;tg(3π/2+t)=-ctgt;ctg(3π/2+t)=-tgt;

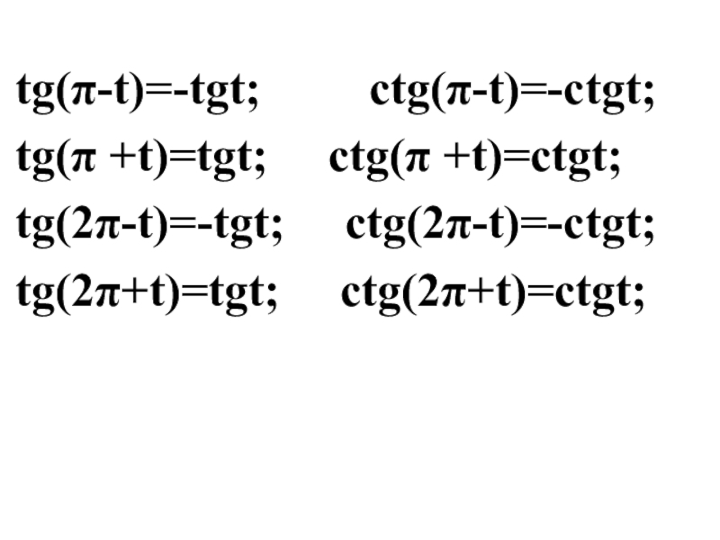
Слайд 6tg(π-t)=-tgt; ctg(π-t)=-ctgt;
tg(π +t)=tgt; ctg(π +t)=ctgt;
tg(2π-t)=-tgt;

ctg(2π-t)=-ctgt;
tg(2π+t)=tgt; ctg(2π+t)=ctgt;

tg(π-t)=-tgt;     ctg(π-t)=-ctgt;tg(π +t)=tgt;   ctg(π +t)=ctgt;tg(2π-t)=-tgt;   ctg(2π-t)=-ctgt;tg(2π+t)=tgt;   ctg(2π+t)=ctgt;

Что такое shareslide.ru?

Это сайт презентаций, где можно хранить и обмениваться своими презентациями, докладами, проектами, шаблонами в формате PowerPoint с другими пользователями. Мы помогаем школьникам, студентам, учителям, преподавателям хранить и обмениваться учебными материалами.


Для правообладателей

Яндекс.Метрика

Обратная связь

Email: Нажмите что бы посмотреть