Презентация, доклад на тему Решение электротехнических задач методом моделирования

Содержание

Задача:Закрепить применение законов Кирхгофа для электрической цепиПрименить метода Крамера для решения систем линейных уравненийАвтоматизировать расчеты в ЭТ ExcelВизуализировать модель электрической цепи

Слайд 1 Интегрированное учебное занятие Тема: Решение электротехнических задач методом моделирования

Интегрированное учебное занятие  Тема: Решение электротехнических задач методом моделирования

Слайд 2Задача:
Закрепить применение законов Кирхгофа для электрической цепи
Применить метода Крамера для решения

систем линейных уравнений
Автоматизировать расчеты в ЭТ Excel
Визуализировать модель электрической цепи


Задача:Закрепить применение законов Кирхгофа для электрической цепиПрименить метода Крамера для решения систем линейных уравненийАвтоматизировать расчеты в ЭТ

Слайд 3Цель занятия:
Создать модель решения электротехнической задачи

Цель занятия:Создать модель решения электротехнической задачи

Слайд 4Моделирование-
-метод познания, состоящий в создании и исследовании моделей

Моделирование--метод познания, состоящий в создании и исследовании моделей

Слайд 5Модель-
новый объект, который отражает существенные свойства изучаемого объекта и заменяющий его

во время исследований.
Модель-новый объект, который отражает существенные свойства изучаемого объекта и заменяющий его во время исследований.

Слайд 6Этапы разработки и исследования моделей
Описательная информационная модель (постановка задачи)
Формальная модель

(Построение математической модели)
Компьютерная модель.
Компьютерный эксперимент и анализ полученных результатов.
Визуализация формальной модели.


Этапы разработки и исследования моделейОписательная информационная модель (постановка задачи) Формальная модель (Построение математической модели)Компьютерная модель.Компьютерный эксперимент и

Слайд 71.Описательная информационная модель (постановка задачи)

1.Описательная информационная модель (постановка задачи)

Слайд 9Густав Кирхгоф 1845 г.

Густав Кирхгоф 1845 г.

Слайд 101 закон Кирхгофа
Алгебраическая сумма токов в ветвях, сходящаяся в

одном узле равна нулю
1 закон Кирхгофа  Алгебраическая сумма токов в ветвях, сходящаяся в одном узле равна нулю

Слайд 112 закон Кирхгофа
Алгебраическая сумма ЭДС, действующих в любом контуре разветвленной электрической

цепи, равна алгебраической сумме падения напряжения на всех активных сопротивлениях этого контура
2 закон Кирхгофа Алгебраическая сумма ЭДС, действующих в любом контуре разветвленной электрической цепи, равна алгебраической сумме падения

Слайд 122. Формальная модель (Построение математической модели)

2. Формальная модель (Построение математической модели)

Слайд 14 установил и опубликовал 1750 правило решения систем линейных уравнений с

буквенными коэффициентам
заложил основы теории определителей



Габриель Крамер, 1704-1752

установил и опубликовал 1750 правило решения систем линейных уравнений с буквенными коэффициентамзаложил основы теории определителей Габриель

Слайд 15 Метод Крамера
(Крамера правило)
— способ решения квадратных систем линейных алгебраических

уравнений с ненулевым определителем основной матрицы (причём для таких уравнений решение существует и единственно). Создан Габриелем Крамером в 1750 году.
Метод Крамера (Крамера правило) — способ решения квадратных систем линейных алгебраических уравнений с ненулевым определителем основной матрицы

Слайд 16 Система из m линейных уравнений с n неизвестными имеет вид:
a11 x1

+ a12 x2 +... + a1n xn = b1,
a21 x1 + a22 x2 +... + a2n xn = b2, ... ... ... ...
am1 x1 + am2 x2 +... + amn xn = bm.

аij (i =1..m ; j =1..n ) – заданные коэффициенты системы
bi – свободные члены системы
xj - неизвестные действительные числа

Система из m линейных уравнений с n неизвестными имеет вид: a11 x1 + a12 x2

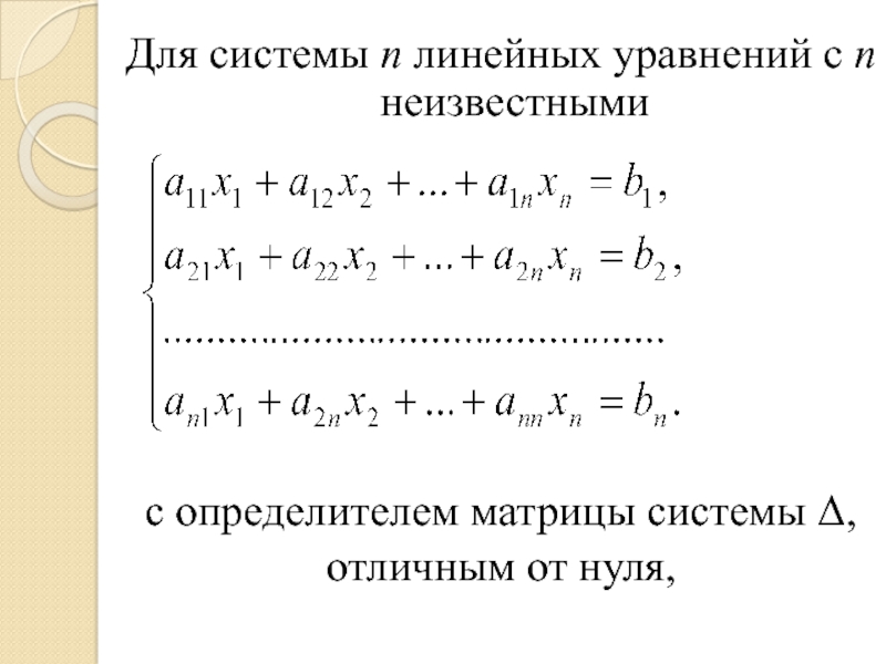
Слайд 17Для системы n линейных уравнений с n неизвестными







с определителем матрицы системы

Δ,
отличным от нуля,
Для системы n линейных уравнений с n неизвестнымис определителем матрицы системы Δ, отличным от нуля,

Слайд 18решение записывается в виде:
где
столбец матрицы системы заменяется

столбцом свободных членов.
решение записывается в виде:   где столбец матрицы системы заменяется столбцом свободных членов.

Слайд 20Пример:

Пример:

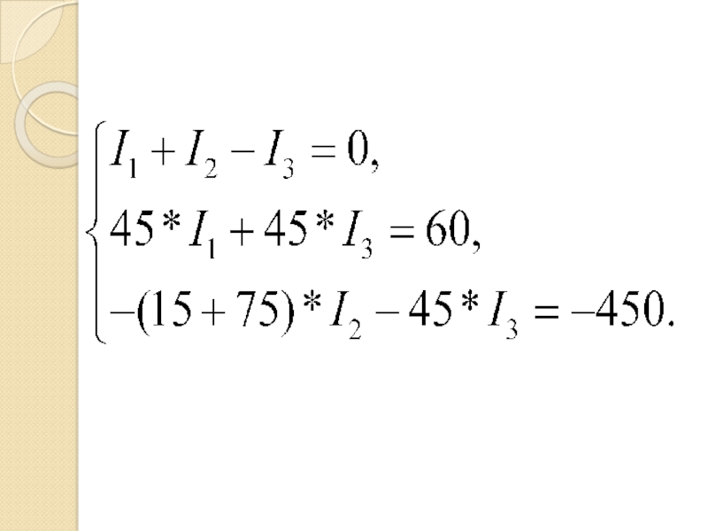
Слайд 21Найти решение системы уравнений:

Найти решение системы уравнений:

Слайд 22
Решение:

Решение:

Слайд 23=(1*0*(-45) + 0*1*45 + 45*(-90)*(-1)) –

((-1)*0*0* +1*45*(-45) + 1*(-90)*45) =

=

0+0+4050-(0-2025- 4050) = 10125
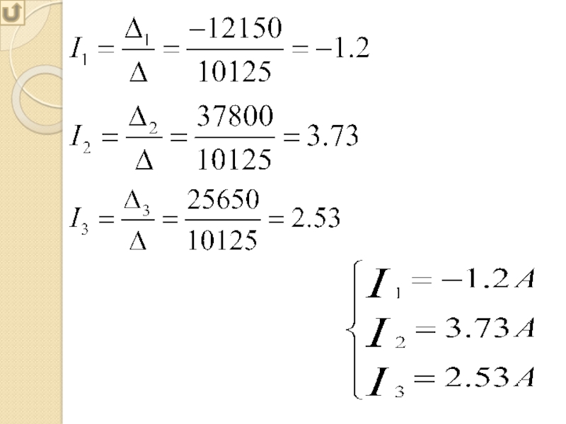
=(1*0*(-45) + 0*1*45 + 45*(-90)*(-1)) – ((-1)*0*0* +1*45*(-45) + 1*(-90)*45) == 0+0+4050-(0-2025- 4050)  = 10125

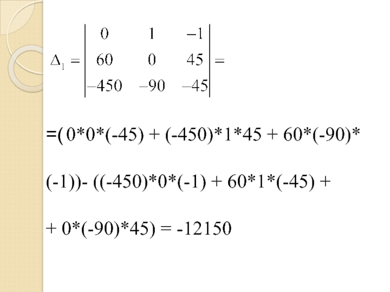
Слайд 24=( 0*0*(-45) + (-450)*1*45 + 60*(-90)*

(-1))- ((-450)*0*(-1) + 60*1*(-45) +

+ 0*(-90)*45)

= -12150

=( 0*0*(-45) + (-450)*1*45 + 60*(-90)*(-1))- ((-450)*0*(-1) + 60*1*(-45) ++ 0*(-90)*45) = -12150

Слайд 25=(1*60*(-45) + 0*0*45 + 45*(-450)*(-1))-

-(0*60*(-1) + 45*0*(-45) + 1*(-450)*45) =

=37800

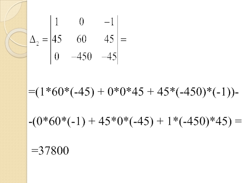
=(1*60*(-45) + 0*0*45 + 45*(-450)*(-1))--(0*60*(-1) + 45*0*(-45) + 1*(-450)*45) = =37800

Слайд 26 = (1*0*(-450) + 0*1*60 + 45*(-90)*0)-

(0*0*0 + 45*1*(-450) + 1*(-90)*60)

=

=25650
= (1*0*(-450) + 0*1*60 + 45*(-90)*0)-(0*0*0 + 45*1*(-450) + 1*(-90)*60) = =25650

Слайд 283. Компьютерная модель
ЭТ Excel

3. Компьютерная модельЭТ Excel

Слайд 29=МОПРЕД (числовой массив)
- вычисляет определитель матрицы
(матрица хранится в числовом массиве)

Формулы

/ Библиотека функций/ Математические
=МОПРЕД (числовой массив) - вычисляет определитель матрицы(матрица хранится в числовом массиве)Формулы / Библиотека функций/ Математические

Что такое shareslide.ru?

Это сайт презентаций, где можно хранить и обмениваться своими презентациями, докладами, проектами, шаблонами в формате PowerPoint с другими пользователями. Мы помогаем школьникам, студентам, учителям, преподавателям хранить и обмениваться учебными материалами.


Для правообладателей

Яндекс.Метрика

Обратная связь

Email: Нажмите что бы посмотреть