Презентация, доклад тақырыбы Иррационал теңсіздіктер

Бағалау парағыТолық жауап – 2 баллЖартылай жауап – 1 баллЖауап жоқ – 0 балл7 – 8 балл – “5”5 – 6 балл – “4”2 – 4 балл – “3” 2 ден төмен балл – “2”

Слайд 1
Иррационал теңсіздіктер
Сабақтың тақырыбы:
Сабақтың мақсаты:
Иррационал теңсіздіктермен таныса отырып, оларды шешу әдістерін үйрену

Иррационал теңсіздіктерСабақтың тақырыбы:Сабақтың мақсаты:Иррационал теңсіздіктермен таныса отырып, оларды шешу әдістерін үйрену

Слайд 2Бағалау парағы
Толық жауап – 2 балл
Жартылай жауап – 1 балл
Жауап жоқ

– 0 балл

7 – 8 балл – “5”
5 – 6 балл – “4”
2 – 4 балл – “3”
2 ден төмен балл – “2”


Бағалау парағыТолық жауап – 2 баллЖартылай жауап – 1 баллЖауап жоқ – 0 балл7 – 8 балл

Слайд 3
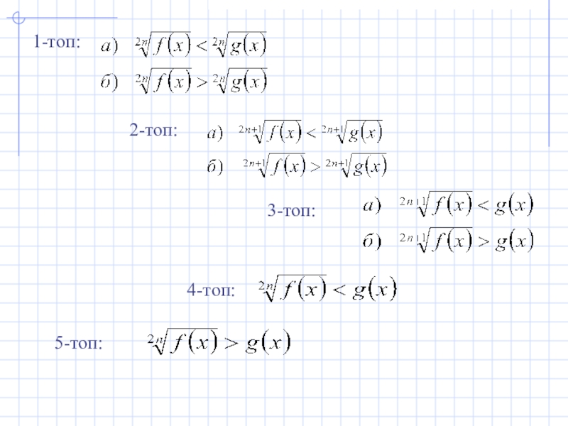
1-топ:

2-топ:

3-топ:
4-топ:
5-топ:


1-топ:2-топ:3-топ:4-топ:5-топ:

Слайд 5Үйге тапсырма:
№138, 139, 140

Үйге тапсырма:№138, 139, 140

Что такое shareslide.ru?

Это сайт презентаций, где можно хранить и обмениваться своими презентациями, докладами, проектами, шаблонами в формате PowerPoint с другими пользователями. Мы помогаем школьникам, студентам, учителям, преподавателям хранить и обмениваться учебными материалами.


Для правообладателей

Яндекс.Метрика

Обратная связь

Email: Нажмите что бы посмотреть