Презентация, доклад по технической механики Изгиб

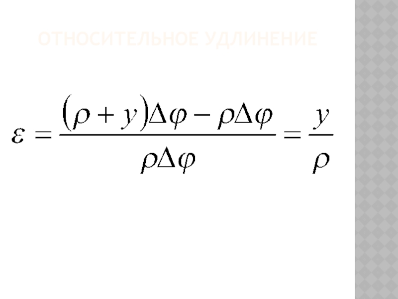
Относительное удлинение

Слайд 1ТЕМА:
«Изгиб»

ТЕМА:«Изгиб»

Слайд 2Относительное удлинение

Относительное удлинение

Слайд 3Закон распределения нормальных напряжений по сечению

Закон распределения нормальных напряжений по сечению

Слайд 4нормальное напряжение

нормальное напряжение

Слайд 5Осевой момент инерции для прямоугольника

Осевой момент инерции для прямоугольника

Слайд 6Осевой момент инерции для круга

Осевой момент инерции для круга

Слайд 7Осевой момент сопротивления сечения для круга

Осевой момент сопротивления сечения  для круга

Слайд 8Осевой момент сопротивления сечения для кольца

Осевой момент сопротивления сечения   для кольца

Слайд 9Осевой момент сопротивления сечения для прямоугольника

Осевой момент сопротивления сечения   для прямоугольника

Слайд 10Нормальное напряжение в симметричном сечении

Нормальное напряжение в симметричном сечении

Слайд 11Условие прочности по нормальным напряжениям

Условие прочности по нормальным напряжениям

Что такое shareslide.ru?

Это сайт презентаций, где можно хранить и обмениваться своими презентациями, докладами, проектами, шаблонами в формате PowerPoint с другими пользователями. Мы помогаем школьникам, студентам, учителям, преподавателям хранить и обмениваться учебными материалами.


Для правообладателей

Яндекс.Метрика

Обратная связь

Email: Нажмите что бы посмотреть