Презентация, доклад по дисциплине Численные методы на тему Многочлен Лагранжа

Содержание

Интерполяция способ нахождения промежуточных значений величины по имеющемуся дискретному набору известных значений.

Слайд 1Приближённое вычисление значения функции
Интерполирование

Приближённое вычисление значения функцииИнтерполирование

Слайд 2Интерполяция способ нахождения промежуточных значений величины по имеющемуся дискретному набору

известных значений.
Интерполяция   способ нахождения промежуточных значений величины по имеющемуся дискретному набору известных значений.

Слайд 3 Задача интерполирования состоит в том, чтобы по значениям

функции в некоторых точках восстановить ее значения в остальных точках отрезка. Функция F называется интерполирующей, точки х0, х1 , х2, … , xn - узлами интерполяции.
Задача интерполирования состоит в том, чтобы по значениям функции в некоторых точках восстановить ее

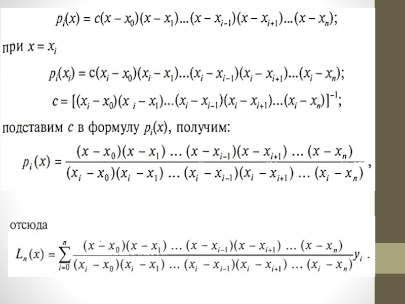
Слайд 4Интерполяционный многочлен Лагранжа
Пусть функция у = f(x) задана таблицей
Ln(x)
Ln(x;) = yi;,

i = 0,1, . . . , n
Интерполяционный многочлен ЛагранжаПусть функция у = f(x) задана таблицейLn(x)Ln(x;) = yi;, i = 0,1, . . .

Слайд 6Пример 2.1. Построить интерполяционный многочлен Лагранжа для функции, заданной таблично
Решение.

Пример 2.1. Построить интерполяционный многочлен Лагранжа для функции, заданной табличноРешение.

Слайд 7Пример 2.2. Для функции у = sin (πx) построить интерполяционный полином

Лагранжа, выбрав узлы х0 = 0; х1 = 1/6; х2 = 1/2

Решение.

Пример 2.2. Для функции у = sin (πx) построить интерполяционный полином Лагранжа, выбрав узлы х0 = 0;

Слайд 8Пример 2.4. Найти приближенное значение функции f(arg) при данном значении аргумента

arg с помощью интерполяционного многочлена Лагранжа, если функция задана таблицей
Пример 2.4. Найти приближенное значение функции f(arg) при данном значении аргумента arg с помощью интерполяционного многочлена Лагранжа,

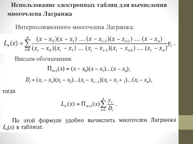
Слайд 10Использование электронных таблиц для вычисления многочлена Лагранжа
Интерполяционного многочлена Лагранжа:
Введем обозначения:

Использование электронных таблиц для вычисления многочлена ЛагранжаИнтерполяционного многочлена Лагранжа:Введем обозначения:

Слайд 11Пример 2.5. Пусть требуется вычислить значение многочлена Лагранжа Ln (x) в

точке х.

Решение. Составим следующую таблицу

Пример 2.5. Пусть требуется вычислить значение многочлена Лагранжа Ln (x) в точке х.Решение. Составим следующую таблицу

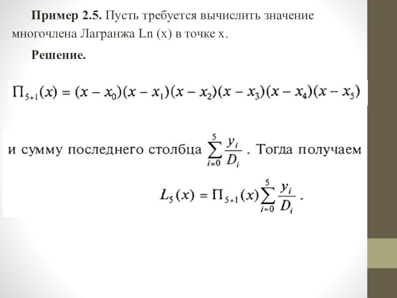
Слайд 12Пример 2.5. Пусть требуется вычислить значение многочлена Лагранжа Ln (x) в

точке х.

Решение.

Пример 2.5. Пусть требуется вычислить значение многочлена Лагранжа Ln (x) в точке х.Решение.

Что такое shareslide.ru?

Это сайт презентаций, где можно хранить и обмениваться своими презентациями, докладами, проектами, шаблонами в формате PowerPoint с другими пользователями. Мы помогаем школьникам, студентам, учителям, преподавателям хранить и обмениваться учебными материалами.


Для правообладателей

Яндекс.Метрика

Обратная связь

Email: Нажмите что бы посмотреть