Презентация, доклад на тему Гидроочистка

Содержание

Недеструктивное гидрирование олефиновКат : Pt, Pd, Ni в виде мелкодисп порошков либо на носителях ( акт. Уголь, силикагель, глины) Комн Т, атм давлениеЛегкость гидрирования:Олефины c Концевой дв. Всязь легче, чем Олефины с центр дв связью Цис

Слайд 1Гидрогенизационные
процессы
переработки
нефти и газа
Г и д р о о ч

и с т к а

Катализаторы – оксиды и сульфиды переходных металлов Ni, Cо, Pt, Mo, W

устойчивых к отравлению серой

Определяющими в выборе условий гидроочистки являются

Условиями удаления гетероатомов

Условия недеструктивного гидрирования
ароматических соединений и олефинов

Условия: 300-400оС, р 2-7 МПа

Гидрогенизационные процессыпереработки нефти и газаГ и д р о о ч и с т к аКатализаторы –

Слайд 2Недеструктивное
гидрирование олефинов
Кат : Pt, Pd, Ni в виде мелкодисп порошков

либо на носителях
( акт. Уголь, силикагель, глины)

Комн Т, атм давление

Легкость гидрирования:
Олефины c Концевой дв. Всязь легче,
чем Олефины с центр дв связью

Цис изомеры легче, чем транс

Диены гидрируются в тех же условиях

Недеструктивное гидрирование олефиновКат : Pt, Pd, Ni в виде мелкодисп порошков либо на носителях ( акт. Уголь,

Слайд 3В нефтеперерабатывающей промышленности полное гидрирование олефинов до алканов проводят с целью

подготовки сырья для каталитического риформинга
(сырье –бензины кат и термического крекинга)

Гидрирование диенов в олефины проводят для стабилизации
бензинов термического крекинга

В нефтеперерабатывающей промышленности полное гидрирование олефинов до алканов проводят с целью подготовки сырья для каталитического риформинга (сырье

Слайд 4Недеструктивное
гидрирование ароматики
Ароматика гидрируется труднее, чем олефины и диены
В пром. Условиях

катализаторы – оксиды и сульфиды пер мет.

Нафталин гидрируется легче бензола ( неравномерное распределение эл пл.

Недеструктивное гидрирование ароматикиАроматика гидрируется труднее, чем олефины и диеныВ пром. Условиях катализаторы – оксиды и сульфиды пер

Слайд 5При гидрировании моноалкилнафталинов значительно легче
гидрируется незамещенное ароматическое кольцо

I : II

= 2 : 1


При гидрировании антрацена легче гидрируется среднее кольцо

При гидрировании моноалкилнафталинов значительно легче гидрируется незамещенное ароматическое кольцоI : II = 2 : 1При гидрировании антрацена

Слайд 6
Механизм гидрирования
непредельных
и ароматических соединений

Протекает через стадию образования П-комплекса с


активными центрами катализатора в результате перехода
П-электронов на вакантные орбитали металла или его ионов

Ступенчатая
гидрогенизация
бензола на
Pt катализаторе:


Механизм гидрирования непредельных и ароматических соединенийПротекает через стадию образования П-комплекса с активными центрами катализатора в результате перехода

Слайд 7Химизм гидроочистки
В процессе гидроочистки происходит разрыв связей C-S, C-N,C-O
Сульфиды дисульфиды и

тиолы распадаются до УВ и сероводорода





Серосодержащие соединения

Химизм гидроочисткиВ процессе гидроочистки происходит разрыв связей C-S, C-N,C-OСульфиды дисульфиды и тиолы распадаются до УВ и сероводородаСеросодержащие

Слайд 8
Гидрогенолиз тиофена на оксидных катализаторах

Гидрогенолиз тиофена на оксидных катализаторах

Слайд 9Дибензтиофен превращается труднее тиофена


с образованием дифенила и циклогексилбензола

Дибензтиофен превращается труднее тиофена с образованием дифенила и циклогексилбензола

Слайд 10
Азотсодержащие соединения
Содержатся в нефтепродуктах в основном в виде
производных пиррола и

пиридина

В процессе гидроочистки азот удаляется труднее , чем сера


Производные пиррола подвергаются гидрированию легче, чем производные пиридина (сопряженная электронная система)

Азотсодержащие соединенияСодержатся в нефтепродуктах в основном в виде производных пиррола и пиридинаВ процессе гидроочистки азот удаляется труднее

Слайд 11
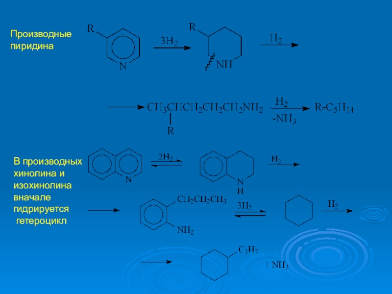
Производные
пиридина

В производных
хинолина и
изохинолина
вначале
гидрируется
гетероцикл

ПроизводныепиридинаВ производныххинолина и изохинолинавначале гидрируется гетероцикл

Слайд 12Химизм основных промышленных процессов
гидроочистки
1. Гидроочистка сырья для платформинга
Сырье:
Прямогонный бензин
Добавка бензинов
вторичного


происхождения


Цель- максимальное удаление S,
N, As, Sb –яды катализаторов
платформинга

Кат: Al2O3-CoO-MoO3
T 380-420, P 2,5-4 МПа

Цель- максимальное удаление S,
N, As, Sb –яды катализаторов
Платформинга,
А также полное гидрирование
олефинов

Химизм основных промышленных процессовгидроочистки1. Гидроочистка сырья для платформингаСырье:Прямогонный бензинДобавка бензинов вторичного происхожденияЦель- максимальное удаление S,N, As, Sb

Слайд 132. Селективная Гидроочистка (облагораживание)
Бензинов термического и каталитического крекинга
Цель - максимальное удаление

S,N,
А также полное гидрирование диенов и некоторых олефинов

3. Гидроочистка керосиновых фракций

Цель – получение реактивного топлива

Катализатор: алюмо-кобальт-молибденовый

Происходит гидрогенолиз S,N, О –содержащих соединений,
смолистых веществ:

ПОВЫШАЕТСЯ ТЕРМООКИСЛИТЕЛЬНАЯ СТАБИЛЬНОСТЬ ТОПЛИВА

2. Селективная Гидроочистка (облагораживание)Бензинов термического и каталитического крекингаЦель - максимальное удаление S,N, А также полное гидрирование диенов

Слайд 144. Гидроочистка газойлей
Цель - максимальное удаление S,N,
Для получения дизельных топлив

с высоким цетановым числом

5. Гидроочистка сернистых вакуумных газойлей

И др. тяжелого сырья для каталитическогго крекинга

Гидрирование ПАУ, смолистых, металорганических соединений

Способствует длительной и эффективной работе кат. крекинга

4. Гидроочистка газойлейЦель - максимальное удаление S,N, Для получения дизельных топлив с высоким цетановым числом5. Гидроочистка сернистых

Слайд 156. Гидроочистка (облагораживание) масел
Заключительный этап производства высококачественных масел
Условия: Т 250-375, Р

– 2-5 МПа, кат- алюмо-кобальт-молибденовый

Цель - максимальное удаление смолистых, S,N,О-содержащих соединений

В результате: улучшается цвет, стабильность масел к окислению,
снижается кислотное число

6. Гидроочистка (облагораживание) маселЗаключительный этап производства высококачественных маселУсловия: Т 250-375, Р – 2-5 МПа, кат- алюмо-кобальт-молибденовыйЦель -

Что такое shareslide.ru?

Это сайт презентаций, где можно хранить и обмениваться своими презентациями, докладами, проектами, шаблонами в формате PowerPoint с другими пользователями. Мы помогаем школьникам, студентам, учителям, преподавателям хранить и обмениваться учебными материалами.


Для правообладателей

Яндекс.Метрика

Обратная связь

Email: Нажмите что бы посмотреть