Презентация, доклад на тему Взаимодействие учителя-логопеда с учителями начальных классов ОО в условиях ФГОС

Содержание

Задачи и цели1.Рассмотреть причины речевых нарушений и их виды2.Познакомить учителей начальных классов с видами нарушений письменной речи у младших школьников и их влиянии на усвоение программ по русскому языку3.Практические рекомендации

Слайд 1Взаимодействие учителя-логопеда с учителями начальных классов ОО в условиях ФГОС. Практические

рекомендации

Выполнила
учитель-логопед ГКУ РПМПК
филиал Дуванская ПМПК
Антонова Наталья Павловна



Взаимодействие учителя-логопеда с учителями начальных классов ОО в условиях ФГОС.  Практические рекомендацииВыполнила учитель-логопед ГКУ РПМПК филиал

Слайд 2Задачи и цели
1.Рассмотреть причины речевых нарушений и их виды
2.Познакомить учителей начальных

классов с видами нарушений письменной речи у младших школьников и их влиянии на усвоение программ по русскому языку
3.Практические рекомендации


Задачи и цели1.Рассмотреть причины речевых нарушений и их виды2.Познакомить учителей начальных классов с видами нарушений письменной речи

Слайд 3Причины речевых нарушений
Внутренние (эндогенные)

-внутриуторобная патология

-гипоксия и родовая травма

Внешние (экзогенные)

Причины речевых нарушенийВнутренние (эндогенные)-внутриуторобная патология -гипоксия и родовая травмаВнешние (экзогенные)

Слайд 4 ПРИЧИНЫ, ТЕНДЕНЦИИ И ПОСЛЕДСТВИЯ

ПСИХОЛОГИЧЕСКИЕ — это недоразвитие познавательной и психической деятельности (Недоразвитие анализа, синтеза, обобщения, абстракции; нарушения слухового, зрительного восприятия, внимания, памяти; незрелость эмоционально-волевой сферы).
Способствовать появлению вышеперечисленных причин могут: алкоголизм и злоупотребление содержащими алкоголь напитками, употребление любых наркотиков, курение, осложнения при беременности и родах, «химизация» нашей повседневной жизни, радиация и другие негативные факторы, порой независящие от нас самих…

ПРИЧИНЫ, ТЕНДЕНЦИИ И ПОСЛЕДСТВИЯ ПСИХОЛОГИЧЕСКИЕ — это недоразвитие познавательной и психической

Слайд 5Но есть еще СОЦИАЛЬНЫЕ причины речевого недоразвития детей, которые непосредственно зависят

от семьи, от родителей ребенка.
И это — слабость речевых контактов, недостаточность стимуляции к речевому общению. Что это значит? С ребенком мало говорят, мало общаются, мало читают книг и мало обсуждают прочитанное или увиденное. Да и сами дети практически перестали играть друг с другом в ролевые игры.

Но есть еще СОЦИАЛЬНЫЕ причины речевого недоразвития детей, которые непосредственно зависят от семьи, от родителей ребенка. И

Слайд 6Родительское общение, книги с картинками нашим дошколятам и младшим школьникам заменили

телевизор, компьютер и компьютерные игры не развивающего характера, а разные «стрелялки» и «догонялки».

И как следствие, ребенок не знает элементарных вещей, которые он обязан знать к первому классу. Зачастую дети не знают, что такое времена года, их последовательность, не знают время суток, не понимают значения отдельных слов, предлогов «перед», «после», наречий «спереди», сзади», не могут обобщить, то есть назвать одним словом однородные предметы…
Родительское общение, книги с картинками нашим дошколятам и младшим школьникам заменили телевизор, компьютер и компьютерные игры не

Слайд 11Техника письма требует согласованной работы различных анализаторов:
Речедвигательный анализатор – помогает осуществлять

проговаривание

Речеслуховой анализатор - помогает произвести отбор нужного звука

Речезрительный анализатор
– участвует в подборе нужных букв

Двигательный анализатор - помогает осуществлять движения мелких мышц кисти

Техника письма требует согласованной работы различных анализаторов:Речедвигательный анализатор – помогает осуществлять проговариваниеРечеслуховой анализатор - помогает произвести отбор

Слайд 12

– это частичное нарушение процессов письма, проявляющееся в стойких, повторяющихся ошибках, обусловленных несформированностью высших психических функций, участвующих в процессах письма.

-Неврологические нарушения

-Нарушения зрительно-пространственных ориентировок

Ошибки на уровне буквы

Ошибки на уровне слова

Ошибки на уровне предложения

Неречевые симптомы

Дисграфия

Речевые симптомы

-Нарушение познавательной деятельности (памяти, внимания, восприятия)

-Нарушение моторики

– это частичное нарушение процессов письма,

Слайд 13Дисграфические ошибки
Сохраняются в течение многих месяцев
Стойкие

Повторяются
Обусловлены несформированностью
высших психических процессов

Дисграфические ошибкиСохраняются в течение многих месяцевСтойкиеПовторяютсяОбусловлены несформированностью высших психических процессов

Слайд 14Письмо детей-дисграфиков можно определить по наличию двух групп специфических ошибок:
1) ошибки,

обусловленные несформированностью слухового внимания и фонематических процессов:

а) пропуск букв и слогов — “прошла” (прощала), “жадые” (жадные), “ишка” (игрушка);

б) перестановка букв и слогов — “онко” (окно), “звял” (взял), “пеперисал” (переписал), “натуспила” (наступила);
Письмо детей-дисграфиков можно определить по наличию двух групп специфических ошибок:1) ошибки, обусловленные несформированностью слухового внимания и фонематических

Слайд 15 наращивание слов лишними буквами и слогами — “тарава” (трава), “катораые”

(которые), “бабабушка” (бабушка), “клюкиква” (клюква);

д) искажение слова — “наотух” (на охоту), “хабаб” (храбрый), “щуки” (щеки), “спеки” (с пенька);

е) слитное написание слов и их произвольное деление — “насто” (на сто), “виситнастне” (висит на стене), “у стала” (устала);
наращивание слов лишними буквами и слогами — “тарава” (трава), “катораые” (которые), “бабабушка” (бабушка), “клюкиква” (клюква);д) искажение

Слайд 16ж) неумение определить границы предложения в тексте, слитное написание предложений —

“Мой отец шофер. Работа шофера трудная шоферу надо хорошо. Знать машину после школы я тоже. Буду шофером”;

з) замена одной буквы на другую — “трюх” (трех); “у глеста” (у клеста), “тельпан” (тюльпан), “шапаги” (сапоги);

и) нарушение смягчения согласных — “васелки” (васильки), “смали” (смяли), “кон” (конь).
ж) неумение определить границы предложения в тексте, слитное написание предложений — “Мой отец шофер. Работа шофера трудная

Слайд 172) ошибки, обусловленные несформированностью лексико-грамматической стороны речи:
а) аграмматизм — “Саша и

Лена собираит цветы. Дети сидели на большими стулья. Пять желтеньки спиленачки” (пять желтеньких цыплят);

б) слитное написание предлогов и раздельное написание приставок — “вкармане”, “при летели”, “в зела” (взяла), “подороге”.

2) ошибки, обусловленные несформированностью лексико-грамматической стороны речи:а) аграмматизм — “Саша и Лена собираит цветы. Дети сидели на

Слайд 18 Классификация дисграфии
Неправильное произношение звуков
Артикулярно-акустическая дисграфия
Недостаточность слуховых дифференцировок

Нарушение языкового

анализа и синтеза

Недоразвитие лексико-грам. строя речи

Несформированность зрительно- пространственных функций


Дисграфия - на почве нарушения языкового анализа и синтеза

Дисграфия на основе нарушения фонемного распознавания (акустическая)

Аграмматическая дисграфия

Оптическая дисграфия

Механизмы:

Классификация:

Классификация дисграфии   Неправильное произношение звуковАртикулярно-акустическая дисграфияНедостаточность слуховых дифференцировокНарушение языкового анализа и синтезаНедоразвитие лексико-грам.

Слайд 19Артикуляторно-акустическая дисграфия - это дисграфия на почве растройств устной речи
Проявляется


в заменах или
отсутствии звуков
в устной речи

Проявляется в смешениях,
заменах, пропусках букв,
которые соответствуют
смешениям в устной речи

Артикуляторно-акустическая дисграфия -  это дисграфия на почве растройств устной речи  Проявляется в заменах или отсутствии

Слайд 20Коррекционная работа при артикуляторно-акустической дисграфии
1. Коррекция звукопроизношения
2.Развитие фонетического слуха и фонематического
восприятия
Фонематический

слух – способность к распознаванию звуков речи
Коррекционная работа при  артикуляторно-акустической дисграфии1. Коррекция звукопроизношения2.Развитие фонетического слуха и фонематическоговосприятияФонематический слух – способность к распознаванию

Слайд 21 Дисграфия на основе нарушения фонемного распознавания или акустическая дисграфия


Проявляется в

заменах букв,
обозначающих фонетически близкие
звуки (смешиваются:звонкие и
глухие согл., твёрдые и мягкие,
свистящие-шипящие, африкаты
и их компоненты


В нарушениях обозначения
мягкости согласных на письме
(при помощи «ь» и гласных
второго ряда

Дисграфия на основе нарушения  фонемного распознавания или  акустическая дисграфияПроявляется в заменах букв,обозначающих фонетически близкие

Слайд 22Коррекционная работа при акустической дисграфии
Развитие фонетического слуха и фонематического
восприятия

Коррекционная работа при акустической дисграфииРазвитие фонетического слуха и фонематическоговосприятия

Слайд 23Предложите детям несколько заданий на сообразительность : - Подбери слово, которое начинается

на последний звук слова стол.  - Вспомни название птицы, в котором был бы последний звук слова сыр. (Воробей, грач…)  - Подбери слово, чтобы первый звук был бы к, а последний – а.  - Предложите ребенку назвать предмет в комнате с заданным звуком. Например: Что заканчивается на "А"; что начитается на "С", в середине слова звук "Т" и.т.д. Вариант: То же самое задание с картинками из лото или сюжетной картинкой. Можно использовать иллюстрации. 
Предложите детям несколько заданий на сообразительность : - Подбери слово, которое начинается на последний звук слова стол. 

Слайд 24Рекомендации

Рекомендации

Слайд 25Дисграфия на почве нарушения языкового анализа и синтеза
Проявляется в искажениях
структуры:

слова (и слога) -
пропуски согласных и
гласных букв, перестановки
букв, вставки букв, пропуски,
добавления, перестановки
слогов

Проявляется в искажениях структуры
предложения – слитное написание
слов (предлоги), раздельное написание
слов (приставки и корни слов), несоблю-
дение границ предложения, написание
всех слов в предложении слитно

Дисграфия на почве нарушения языкового анализа и синтеза  Проявляется в искаженияхструктуры: слова (и слога) - пропуски

Слайд 26 Коррекционная работа при дисграфии на

почве нарушения языкового анализа и синтеза.

1. Развитие языкового анализа и синтеза. Формируются умения определять количество, последовательность и место слов в предложении

2. Развитие слогового анализа и синтеза (отстучать, отхлопать слово
по слогам и назвать количество слогов).

3. Развитие фонематического анализа и синтеза

Коррекционная работа при     дисграфии на почве нарушения

Слайд 27Аграмматическая дисграфия
Проявляется на уровне
предложения и
текста: нарушение
согласования слов
в предложении.

Проявляется на

уровне
словосочетания:
нарушение согласо-
вания (сущ.+прил.,
сущ.+числ.)

Проявляется на уровне
слова: искажение
морфологической
структуры слова,
изменение падеж.
окончаний, пред-
ложных конструк-
ций, падежа место-
имений

Аграмматическая дисграфияПроявляется на уровне предложения и текста: нарушениесогласования словв предложении.Проявляется на уровнесловосочетания: нарушение согласо-вания (сущ.+прил.,сущ.+числ.)Проявляется на уровнеслова:

Слайд 28Коррекционная работа при аграмматической дисграфии
1.Уточнить структуру предложения
2. Развивать функции словоизменения и

словообразования
3. Работа по морфологическому анализу состава слова
4. Работа с однокоренными словами

Коррекционная работа при аграмматической дисграфии1.Уточнить структуру предложения2. Развивать функции словоизменения и словообразования3. Работа по морфологическому анализу состава

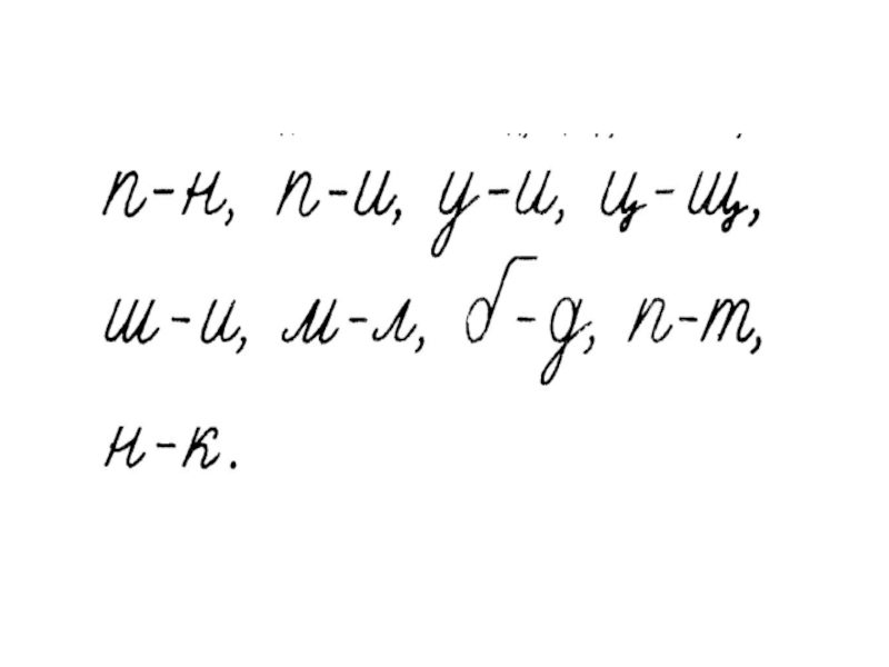
Слайд 29Оптическая дисграфия
Проявляется в искажённом
воспроизведении букв на письме
Проявляется в заменах и

смешениях
графически сходных букв
Оптическая дисграфияПроявляется в искажённом воспроизведении букв на письмеПроявляется в заменах и смешенияхграфически сходных букв

Слайд 31Коррекционная работа при оптической дисграфии


1. Развивать зрительное восприятие, узнавание

формы, величины и цвета

2. Расширение объема и уточнения зрительной памяти

3. Формирование пространственных представлений

4. Зрительного анализа и синтеза

Коррекционная работа при оптической дисграфии 1. Развивать зрительное восприятие, узнавание формы, величины и цвета2. Расширение объема и

Слайд 32Задания для развития зрительного гнозиса
-называть контурные изображения предметов
-назвать подчеркнутые изображения предметов
-выделить

контурные изображения или наложенные друг на друга изображения
Игры «Чего не стало?», «Что изменилось?»

Задания для развития зрительного гнозиса-называть контурные изображения предметов-назвать подчеркнутые изображения предметов-выделить контурные изображения или наложенные друг на

Слайд 34Виды логокоррекционных методов и приемов, применяемых на уроках русского языка и

чтения

Виды обучающих диктантов: словарные, выборочные, комментированные, зрительные, творческие, письмо по памяти, предупредительные, объяснительные, свободные. В конце каждой темы проводится контрольный диктант. Если в тексте диктанта встречаются слова на еще не изученные правила, их следует выписывать на доску.

Виды логокоррекционных методов и приемов, применяемых на уроках русского языка и чтения Виды обучающих диктантов: словарные, выборочные,

Слайд 35Словарная работа на уроках русского языка
Виды работ со словарными словами
Загадки (ответы

загадок являются словарными словами).
Пословицы (в тексте пословицы есть словарное слово, найти его, объяснить смысл пословицы).
Кроссворд (загадываемые слова являются словарными).
Запись слов по алфавиту (слова записаны на доске).
Запись слов по теме (из данных словарных слов выписать только те, которые относятся к теме “Огород” или “Школа” и т.п.)
Составление рассказа из группы словарных слов (декабрь, мороз, коньки, ребята).
Картинный диктант (показывают картинки с изображением предметов, дети записывают названия предметов).
Списать словарные слова в порядке возрастания слогов или наоборот.
Словарная работа на уроках русского языка Виды работ со словарными словамиЗагадки (ответы загадок являются словарными словами).Пословицы (в

Слайд 36Предупреждение ошибок на уроках русского языка
соотнесение орфограммы с определенным правилом;
звуковой анализ

слова;
четкое проговаривание слов;
условно-графическая запись слова;
составление слов из разрезной азбуки;
запись слов на плакате с выделением изучаемой орфограммы;
использование другого цвета для выделения изучаемой орфограммы при записи слов на доске и в тетради;
Предупреждение ошибок на уроках русского языка соотнесение орфограммы с определенным правилом;звуковой анализ слова;четкое проговаривание слов;условно-графическая запись слова;составление

Слайд 37Дидактические игры на уроках русского языка и чтения
В виде загадки, ребуса,

шарады, кроссворда может быть дана тема урока. Например: “Отгадав загадку (кроссворд и т.п.), вы узнаете, что мы будем изучать на уроке”, “Здесь зашифрована тема нашего урока” или “Решив занимательный пример, вы узнаете тему нашего урока”.
Использование игры в процессе объяснения нового материала. Например: игра “Собери слово” при изучении темы “Соединительные гласные О и Е”.
Дидактические игры на уроках русского языка и чтения В виде загадки, ребуса, шарады, кроссворда может быть дана тема

Слайд 38Использование дидактических игр при проверке пройденного материала. Например: игра “Орфографическое лото”, “Синонимы

(антонимы)”, “Кто больше напишет слов”, “Не перепутай”, “Третий лишний” и т.п.
Игры могут быть с предметами – использование муляжей, природного материала. Например: игра “Овощи – фрукты”, “Волшебный мешочек”, уточняется цвет форма, вкус, запах назначение, размер предмета. Упражнения в определении предмета по какому–либо одному качеству (признаку), предметы сравниваются, идет классификация предметов
Использование дидактических игр при проверке пройденного материала. Например: игра “Орфографическое лото”, “Синонимы (антонимы)”, “Кто больше напишет слов”, “Не

Слайд 39Применение разнообразных логокоррекционных методов и приемов не только на логопедических занятиях,

но и на уроках, значительно повышает результативность работы с детьми, имеющими речевые нарушения,

Применение разнообразных логокоррекционных методов и приемов не только на логопедических занятиях, но и на уроках, значительно повышает

Слайд 40побуждает их к активному включению в полноценную учебную деятельность в условиях

дидактической коммуникации. Это, в свою очередь, помогает избежать серьезных трудностей в дальнейшем обучении, способствует полноценному овладению детьми академическими знаниями.
побуждает их к активному включению в полноценную учебную деятельность в условиях дидактической коммуникации. Это, в свою очередь,

Слайд 41Практическая часть

Практическая часть

Слайд 44Артикуляционная гимнастика

Артикуляционная гимнастика

Слайд 52Чистоговорки,скороговорки

Чистоговорки,скороговорки

Слайд 56Вывод
Следует отметить, что чем компетентнее будет организована совместная деятельность учителя-логопеда и

учителя начальных классов, тем эффективнее пойдет развитие и устранение нарушений письменной речи. Важным условием эффективной коррекционно-педагогической работы выступает психолого-педагогическая грамотность учителя начальных классов в вопросах нарушений письменной речи и ее выявления и коррекция.
ВыводСледует отметить, что чем компетентнее будет организована совместная деятельность учителя-логопеда и учителя начальных классов, тем эффективнее пойдет

Слайд 57Спасибо за внимание!

Спасибо за внимание!

Слайд 58Спасибо ромашкам
УчебныеПрезентации.РФ

Спасибо ромашкамУчебныеПрезентации.РФ

Что такое shareslide.ru?

Это сайт презентаций, где можно хранить и обмениваться своими презентациями, докладами, проектами, шаблонами в формате PowerPoint с другими пользователями. Мы помогаем школьникам, студентам, учителям, преподавателям хранить и обмениваться учебными материалами.


Для правообладателей

Яндекс.Метрика

Обратная связь

Email: Нажмите что бы посмотреть