Презентация, доклад на тему Урок-экскурсия Умножение и деление многозначных чисел

Правильное питание. Зарядка, закаливание, физические упражнения, спорт. Экскурсии, путешествия.   Доброе сердце, добрые дела и поступки.

Слайд 1Я ВЫБИРАЮ….

Я ВЫБИРАЮ….

Слайд 8Правильное питание.
 
Зарядка, закаливание, физические упражнения, спорт.
 
Экскурсии, путешествия.

  Доброе сердце, добрые

дела и поступки.

Правильное питание. Зарядка, закаливание, физические упражнения, спорт. Экскурсии, путешествия.   Доброе сердце, добрые дела и поступки.

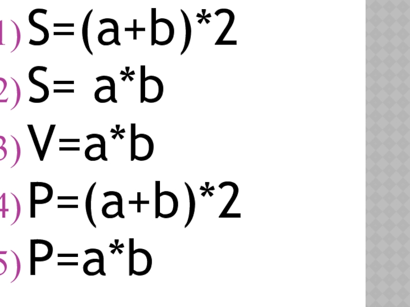
Слайд 9S=(a+b)*2
S= a*b
V=a*b
P=(a+b)*2
P=a*b

S=(a+b)*2S= a*bV=a*bP=(a+b)*2P=a*b

Слайд 11
ГАМБУРГЕР

ГАМБУРГЕР

Слайд 12
РЫБА С ЛИМОНОМ

РЫБА С ЛИМОНОМ

Слайд 13
КАРТОФЕЛЬ ФРИ

КАРТОФЕЛЬ ФРИ

Слайд 14
НАТУРАЛЬНЫЕ СОКИ

НАТУРАЛЬНЫЕ СОКИ

Слайд 15
КОЛБАСЫ, СОСИСКИ

КОЛБАСЫ, СОСИСКИ

Слайд 16
ФРУКТЫ, ОВОЩИ

ФРУКТЫ, ОВОЩИ

Слайд 17
МОЛОКО, ТВОРОГ

МОЛОКО, ТВОРОГ

Слайд 18
ЛУК, ЧЕСНОК

ЛУК, ЧЕСНОК

Слайд 19
ЛАПША ДОШИРАК

ЛАПША ДОШИРАК

Слайд 20ВЫБОР
ЗА
ТОБОЙ

ВЫБОРЗА ТОБОЙ

Слайд 21
ГАЗИРОВАННЫЕ НАПИТКИ, КОЛА

ГАЗИРОВАННЫЕ НАПИТКИ, КОЛА

Слайд 23Вывод. Эксперимент со скорлупой куриного яйца подтвердил гипотезу о способности Кока-Колы

растворять кальций (зубы, ногти).

Вывод. Эксперимент со скорлупой куриного яйца подтвердил гипотезу о способности Кока-Колы растворять кальций (зубы, ногти).

Что такое shareslide.ru?

Это сайт презентаций, где можно хранить и обмениваться своими презентациями, докладами, проектами, шаблонами в формате PowerPoint с другими пользователями. Мы помогаем школьникам, студентам, учителям, преподавателям хранить и обмениваться учебными материалами.


Для правообладателей

Яндекс.Метрика

Обратная связь

Email: Нажмите что бы посмотреть