Презентация, доклад по теме Тригонометрические функции

ФУНКЦИЯ У = SIN X

Слайд 1ТРИГОНОМЕТРИЧЕСКИЕ ФУНКЦИИ

ТРИГОНОМЕТРИЧЕСКИЕ ФУНКЦИИ

Слайд 2ФУНКЦИЯ У = SIN X

ФУНКЦИЯ У = SIN X

Слайд 12ФУНКЦИЯ У = COS X

ФУНКЦИЯ У = COS X

Слайд 18ФУНКЦИЯ y = tg x

ФУНКЦИЯ y = tg x

Слайд 20Свойства функции у = tg x.

8) у

> 0 при х

у < 0 при х

Свойства функции у = tg x.    8) у > 0 при х у <

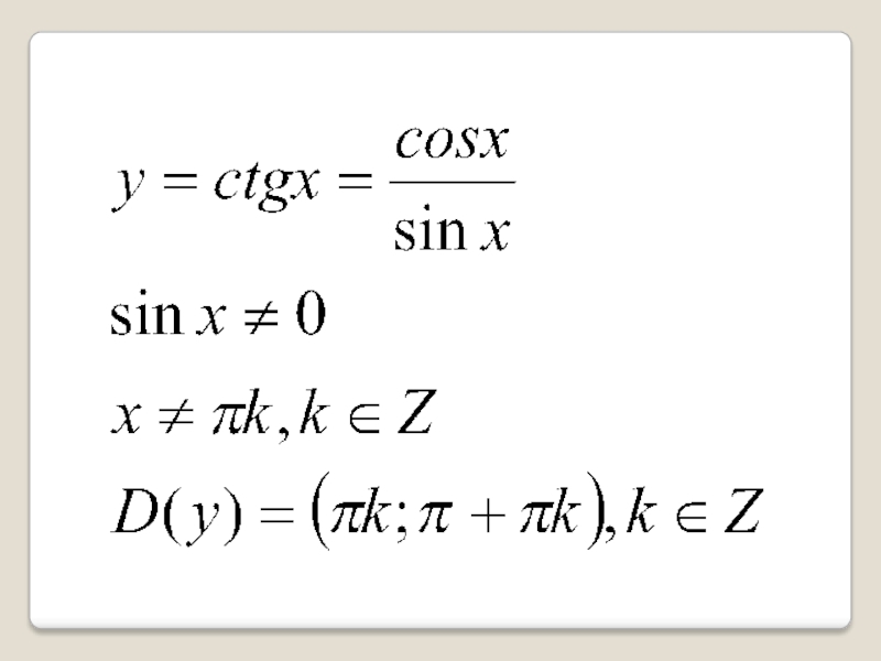
Слайд 21ФУНКЦИЯ y = ctg x

ФУНКЦИЯ y = ctg x

Слайд 24Свойства функции у = сtg x.
7) Нули функции :
8) у

> 0 при х

у < 0 при х

Свойства функции у = сtg x.7) Нули функции : 8) у > 0 при х у <

Слайд 25ОБРАТНЫЕ ТРИГОНОМЕТРИЧЕСКИЕ ФУНКЦИИ

ОБРАТНЫЕ ТРИГОНОМЕТРИЧЕСКИЕ ФУНКЦИИ

Что такое shareslide.ru?

Это сайт презентаций, где можно хранить и обмениваться своими презентациями, докладами, проектами, шаблонами в формате PowerPoint с другими пользователями. Мы помогаем школьникам, студентам, учителям, преподавателям хранить и обмениваться учебными материалами.


Для правообладателей

Яндекс.Метрика

Обратная связь

Email: Нажмите что бы посмотреть