Презентация, доклад по математики на тему Упрощение выражений

Содержание

Упростите выражение:4х – 9х =–5х;1)–14y;2)–10a;3)14b;4)–19n;5)–6y – 8y =–14a + 4a =13b + b =–n – 18n =Упрости выражения.

Слайд 1Упрощение выражений. 6 класс. По мотивам сказки «Красная шапочка» Ш.Перро.

Галяс Марина

Юрьевна
Учитель математики МОУ СОШ №3, г Комсомольск-на-Амуре
Упрощение выражений. 6 класс. По мотивам сказки  «Красная шапочка» Ш.Перро. Галяс Марина ЮрьевнаУчитель математики МОУ СОШ

Слайд 2Упростите выражение:
4х – 9х =
–5х;
1)
–14y;
2)
–10a;
3)
14b;
4)
–19n;
5)
–6y – 8y =
–14a + 4a =
13b

+ b =

–n – 18n =

Упрости выражения.

Упростите выражение:4х – 9х =–5х;1)–14y;2)–10a;3)14b;4)–19n;5)–6y – 8y =–14a + 4a =13b + b =–n – 18n =Упрости

Слайд 31) 8х – 6х =
2) 2y + y – 4y =
3)

–10a – 5a + a =

4) 7b – b – 6b =

5) c – 8c + 10c =

6) – n + 2n – 4n =

Упростите выражения.

1) 8х – 6х =2) 2y + y – 4y =3) –10a – 5a + a =4)

Слайд 4Надо сделать уроки.

Надо сделать уроки.

Слайд 536-(18+у)=
18-у
43+(с-21+d)=
22+c+d
(17+u)-(v-7)=
24+u-v

36-(18+у)=18-у43+(с-21+d)=22+c+d(17+u)-(v-7)=24+u-v

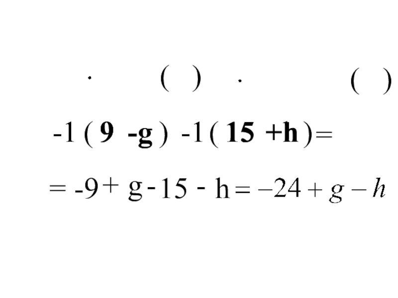
Слайд 6-1
( )
9
-1
9
(
-g
)
-1
15
(
+h
)
=
-1
-g
15
+h
( )
=
-9
15
g
-
-
+
h

-1 (  )9-1 9(-g)-1 15(+h)=-1 -g15+h(  )=-9 15g--+h

Слайд 7у
-1
(
18
)
=
36-18
- у
-1
18
+ у

Раскрытие скобок


36

у-1(18)=36-18 - у-118+ уРаскрытие скобок 36

Слайд 8c
a
(
b
)
=
ab
+ac
a
b
+ c


Раскрытие скобок.

Распределительный закон умножения.

ca(b)=ab+acab+ cРаскрытие скобок.Распределительный закон умножения.

Слайд 9b
a
a
Мы знаем!
Распределительный закон умножения.
=
+ac


Вынесение за скобки
общего множителя.
a
c
b

baaМы знаем!Распределительный закон умножения.=+acВынесение за скобкиобщего множителя.acb

Слайд 10c
5
(
7
)
=
57
+5c
5
7
+ c


Раскрытие скобок

c5(7)=57+5c57+ cРаскрытие скобок

Слайд 11c
-5
(
7
)
=
-5 7
+ 5 c
-5
7
- c


Раскрытие скобок

c-5(7)=-5 7 + 5 c-57- cРаскрытие скобок

Слайд 12Решите уравнение:
5х – 10 = 0
–2
1)
–32
2)
32
3)
–10
4)
5)
6)
–10х + 5 = 0
х :

8 = –4
Решите уравнение:5х – 10 = 0–21)–322)323)–104)5)6)–10х + 5 = 0х : 8 = –4

Слайд 13Может тебе бабушка поможет!

Может тебе бабушка поможет!

Слайд 15Волк, ты не поможешь решить уравнения ?

Волк, ты не поможешь решить уравнения ?

Слайд 16Волк побежал к бабушке, чтобы та помогла ему выполнить домашнюю работу.

Волк побежал к бабушке, чтобы та помогла ему выполнить домашнюю работу.

Слайд 19Тем временем, Волк добежал до бабушки и постучал к ней в

дверь.
Тем временем, Волк добежал до бабушки и постучал к ней в дверь.

Слайд 20Я не знаю как решать твои примеры, нас этому не учили

в школе.

Бабуля, реши.

Я не знаю как решать твои примеры, нас этому не учили в школе.Бабуля, реши.

Слайд 21Что же делать? Кто же поможет?

Что же делать? Кто же поможет?

Слайд 22А вот и Красная шапочка стучит в дверь!

А вот и Красная шапочка стучит в дверь!

Слайд 23Бабушка, помоги сделать домашнее задание.

Бабушка, помоги сделать домашнее задание.

Слайд 24Ах! ты негодная девчонка, делай уроки сама!

Ах! ты негодная девчонка, делай уроки сама!

Слайд 25Тут, как тут бабушка.
Я помогу, тебе внученька!

Тут, как тут бабушка.Я помогу, тебе внученька!

Слайд 26Ссылки на картинки из интернета:
http://www.e-kuzbass.ru/afisha/img/img_2573_big_prew.jpg
http://it-n.ru/attachment.aspx?id=102505
http://www.yarfoto.ru/Download_Cartoon-Klipart/cartoon-klipart42.rar
http://www.yarfoto.ru/Download_Cartoon-Klipart/cartoon-klipart46.rar
http://images.yandex.ru/yandsearch?p=1&text=%D0%BA%D0%B0%D1%80%D1%82%D0%B8%D0%BD%D0%BA%D0%B8%20%D0%BA%D1%80%D0%B0%D1%81%D0%BD%D0%B0%D1%8F%20%D1%88%D0%B0%D0%BF%D0%BE%D1%87%D0%BA%D0%B0&stype=image&ed=1
http://images.yandex.ru/yandsearch?p=9&text=%D0%BA%D0%B0%D1%80%D1%82%D0%B8%D0%BD%D0%BA%D0%B8%20%D0%BA%D1%80%D0%B0%D1%81%D0%BD%D0%B0%D1%8F%20%D1%88%D0%B0%D0%BF%D0%BE%D1%87%D0%BA%D0%B0&stype=image&ed=1
http://images.yandex.ru/yandsearch?p=7&text=%D0%BA%D0%B0%D1%80%D1%82%D0%B8%D0%BD%D0%BA%D0%B8%20%D0%BA%D1%80%D0%B0%D1%81%D0%BD%D0%B0%D1%8F%20%D1%88%D0%B0%D0%BF%D0%BE%D1%87%D0%BA%D0%B0&stype=image&ed=1








Ссылки на картинки из интернета:http://www.e-kuzbass.ru/afisha/img/img_2573_big_prew.jpghttp://it-n.ru/attachment.aspx?id=102505http://www.yarfoto.ru/Download_Cartoon-Klipart/cartoon-klipart42.rarhttp://www.yarfoto.ru/Download_Cartoon-Klipart/cartoon-klipart46.rarhttp://images.yandex.ru/yandsearch?p=1&text=%D0%BA%D0%B0%D1%80%D1%82%D0%B8%D0%BD%D0%BA%D0%B8%20%D0%BA%D1%80%D0%B0%D1%81%D0%BD%D0%B0%D1%8F%20%D1%88%D0%B0%D0%BF%D0%BE%D1%87%D0%BA%D0%B0&stype=image&ed=1http://images.yandex.ru/yandsearch?p=9&text=%D0%BA%D0%B0%D1%80%D1%82%D0%B8%D0%BD%D0%BA%D0%B8%20%D0%BA%D1%80%D0%B0%D1%81%D0%BD%D0%B0%D1%8F%20%D1%88%D0%B0%D0%BF%D0%BE%D1%87%D0%BA%D0%B0&stype=image&ed=1http://images.yandex.ru/yandsearch?p=7&text=%D0%BA%D0%B0%D1%80%D1%82%D0%B8%D0%BD%D0%BA%D0%B8%20%D0%BA%D1%80%D0%B0%D1%81%D0%BD%D0%B0%D1%8F%20%D1%88%D0%B0%D0%BF%D0%BE%D1%87%D0%BA%D0%B0&stype=image&ed=1

Что такое shareslide.ru?

Это сайт презентаций, где можно хранить и обмениваться своими презентациями, докладами, проектами, шаблонами в формате PowerPoint с другими пользователями. Мы помогаем школьникам, студентам, учителям, преподавателям хранить и обмениваться учебными материалами.


Для правообладателей

Яндекс.Метрика

Обратная связь

Email: Нажмите что бы посмотреть