Презентация, доклад по математике Решение уравнений и неравенств

1) Использование областей существования функции1. Найти ОДЗ2. Если ОДЗ состоят из одного или нескольких чисел, то достаточно проверить, является или нет каждое из этих чисел решением данного уравнения или неравенства.

Слайд 1Нестандартные методы решения уравнений и неравенств

Нестандартные методы решения уравнений и неравенств

Слайд 21) Использование областей существования функции
1. Найти ОДЗ
2. Если ОДЗ состоят из

одного или нескольких чисел, то достаточно проверить, является или нет каждое из этих чисел решением данного уравнения или неравенства.
1) Использование областей существования функции1. Найти ОДЗ2. Если ОДЗ состоят из одного или нескольких чисел, то достаточно

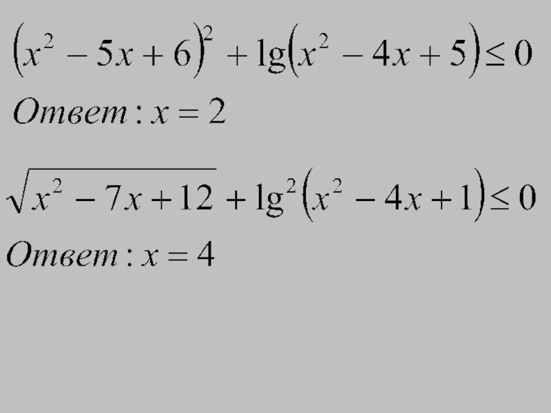
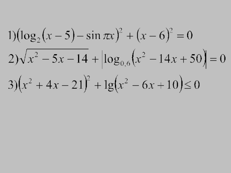
Слайд 4Реши:

Реши:

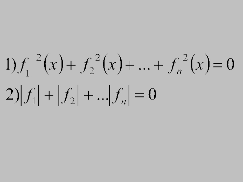
Слайд 52) Использование неотрицательности функций
F(x)=0,
где
Каждая из которых неотрицательная для любого х из

области ее существования.
Тогда

2) Использование неотрицательности функцийF(x)=0,гдеКаждая из которых неотрицательная для любого х из области ее существования.Тогда

Слайд 6

Левая часть неравенства есть сумма нескольких неотрицательных функций, каждая из которых

неотрицательна для любого х из области ее существования, тогда неравенство равносильно системе уравнений

Левая часть неравенства есть сумма нескольких неотрицательных функций, каждая из которых неотрицательна для любого х из области

Слайд 8Ответ: нет решений

Ответ: нет решений

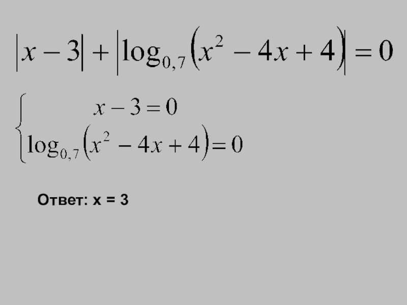
Слайд 9Ответ: х = 3

Ответ: х = 3

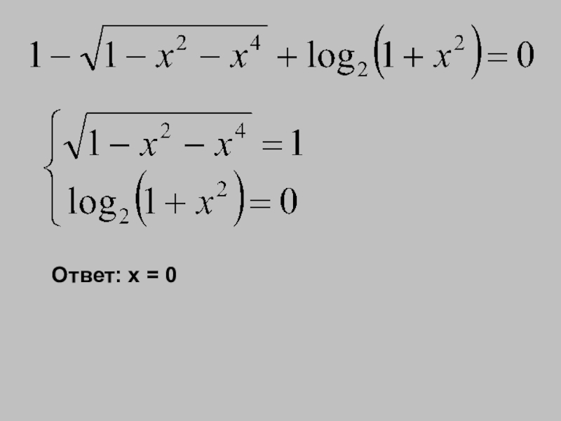
Слайд 10Ответ: х = 0

Ответ: х = 0

Что такое shareslide.ru?

Это сайт презентаций, где можно хранить и обмениваться своими презентациями, докладами, проектами, шаблонами в формате PowerPoint с другими пользователями. Мы помогаем школьникам, студентам, учителям, преподавателям хранить и обмениваться учебными материалами.


Для правообладателей

Яндекс.Метрика

Обратная связь

Email: Нажмите что бы посмотреть