Презентация, доклад по математике на тему Прямоугольная система координат в пространстве

Содержание

Вы уже знакомы с прямоугольной (Декартовой) системой координат на плоскости, которую в XIX в. ввёлфранцузский математикРене Декарт

Слайд 1Прямоугольная система координат в пространстве

Прямоугольная система координат в пространстве

Слайд 2Вы уже знакомы с прямоугольной (Декартовой) системой координат на плоскости, которую


в XIX в. ввёл
французский
математик
Рене Декарт


Вы уже знакомы с прямоугольной (Декартовой) системой координат на плоскости, которую в XIX в. ввёлфранцузский математикРене Декарт

Слайд 3А, вот, прямоугольную систему координат в пространстве ввёл швейцарский,
немецкий,
российский


математик
Леонард Эйлер
в XVIIIв.
А, вот, прямоугольную систему координат в пространстве ввёл швейцарский, немецкий, российский математик Леонард Эйлер в XVIIIв.

Слайд 4 Прямые с выбранными на них направлениями называются осями координат,

а их общая точка – началом координат.

Ох – ось абсцисс,
Оу – ось ординат,
Оz – ось аппликат.
Прямые с выбранными на них направлениями называются осями координат, а их общая точка – началом

Слайд 5 Три плоскости, проходящие через оси координат Ох и

Оу, Оу и Оz, Оz и Ох, называются координатными плоскостями: Оху, Оуz, Оxz.

Плоскость Oxz

Плоскость Oxy

Плоскость Oyz

O

Три плоскости, проходящие через оси координат Ох и Оу, Оу и Оz, Оz и

Слайд 6 В прямоугольной системе координат каждой точке М пространства сопоставляется

тройка чисел – её координаты: М (х, у, z), где х – абсцисса, у – ордината, z - аппликата.
В прямоугольной системе координат каждой точке М пространства сопоставляется тройка чисел – её координаты: М

Слайд 7Нахождение точки на координатной плоскости.
Если, например, точка M лежит на координатной

плоскости или на оси координат, то некоторые её координаты равны нулю. Так, если M принадлежит Oxy, то аппликата точка M равна нулю: z=0. Аналогично если M принадлежит Oхz, то y=0, а если M принадлежит Oyz, то x=0. Если M принадлежит Ox, то ордината и аппликата точки M равна нулю: y=0 и z=0. Если M принадлежит Oy, то x=0 и z=0; если M принадлежит Oz, то x=0 и y=0. Все три координаты начала координат равны нулю: О (0;0;0).
Нахождение точки на координатной плоскости.Если, например, точка M лежит на координатной плоскости или на оси координат, то

Слайд 8Задание: Напиши координаты для точек A, B, C, D, E, F

на рисунке.



B

C

O

E

F


D

z

y

x

A




Задание: Напиши координаты для точек  A, B, C, D, E, F на рисунке.BCOEFDzyxA

Слайд 9Ответы.
A(5; 4; 10),
B(4; -3; 6),
C(5; 0; 0),
D(4; 0; 4),
E(0; 5; 0),
F(0;

0; -2).
Сравни свои ответы.
Ответы.A(5; 4; 10),B(4; -3; 6),C(5; 0; 0),D(4; 0; 4),E(0; 5; 0),F(0; 0; -2).Сравни свои ответы.

Слайд 10Оу
(0,у,0)

Оу(0,у,0)

Слайд 11Если М ОХУ, то z=0
Если М

OXZ, то у=0
Если М OУZ, то X=0
Если М ОХ, то У=0 и Z=0
Если М OУ, то Х=0 и Z=0
Если М OZ, то Х=0 и У=0

Нахождение точки на координатной плоскости.

Если М    ОХУ, то z=0Если М     OXZ, то у=0Если М

Слайд 12Координаты вектора в пространстве

Координаты вектора в пространстве

Слайд 13Единичный вектор – вектор, длина которого равна 1.
i – единичный вектор

оси абсцисс, j – единичный вектор оси ординат, k – единичный вектор оси аппликат.

x

z

y

O

Единичный вектор – вектор, длина которого равна 1.i – единичный вектор оси абсцисс, j – единичный вектор

Слайд 14Любой вектор ā можно разложить по координатным векторам, т.е. представить в

виде:

Нулевой вектор можно представить в виде:

Координаты равных векторов соответственно равны, т.е., если
ā { x1; y1; z1 } = b { x2; y2; z2 }, то
x1 = x2, y1 = y2, z1 = z2.

Любой вектор ā можно разложить по координатным векторам, т.е. представить в виде:Нулевой вектор можно представить в виде:Координаты

Слайд 15Запись координат вектора.
Координаты вектора а будут записываться в фигурных скобках после

обозначения вектора: а {x; y; z}.
На рисунке справа изображен прямоугольный параллелепипед имеющий измерения: OA =2, OA =2, OA =3.
Координаты векторов изображенных на этом рисунке, таковы:
a {2; 2; 4}, b {2; 2; -1},
A A {2; 2;0}, i {1; 0; 0},
j {0;1;0}, k {0; 0; 1}

A

A

A

A

O

y

x

z

a

j

i

k

b

3

2

1

1

2

3

3

Запись координат вектора.Координаты вектора а будут записываться в фигурных скобках после обозначения вектора: а {x; y; z}.

Слайд 16Сложение векторов
Правило треугольника.
Правило параллелограмма.
Правило многоугольника.
Правило параллелепипеда.

Сложение векторовПравило треугольника.Правило параллелограмма.Правило многоугольника.Правило параллелепипеда.

Слайд 17Правило треугольника
А
B
C

Правило треугольникаАBC

Слайд 18Правило треугольника
А
B
C

Для любых трех точек А, В и С справедливо равенство:


Правило треугольникаАBCДля любых трех точек А, В и С справедливо равенство:

Слайд 19Правило параллелограмма
А
B
C

Правило параллелограммаАBC

Слайд 20Правило многоугольника
Сумма векторов равна вектору, проведенному
из начала первого в конец последнего(при

последовательном откладывании).

B

A

C

D

E





Пример

Правило многоугольникаСумма векторов равна вектору, проведенномуиз начала первого в конец последнего(при последовательном откладывании).BACDEПример

Слайд 21
Правило параллелепипеда
B
А
C
D
A1
B1
C1
D1
Вектор, лежащий на диагонали параллелепипеда, равен сумме векторов, проведенных из

той же точки и лежащих на трех измерениях параллелепипеда.
Правило параллелепипедаBАCDA1B1C1D1Вектор, лежащий на диагонали параллелепипеда, равен сумме векторов, проведенных из той же точки и лежащих на

Слайд 22Угол между векторами

Угол между векторами

Слайд 23Угол между двумя ненулевыми векторами называется угол между направлениями этих векторов.
)
a
b
a
b

Угол между двумя ненулевыми векторами называется угол между направлениями этих векторов.)abab

Слайд 24О
А
В

α
Если а || b и а и b сонаправлены, то

α = 0°.
Если a || b и a и b противоположно направлены, то α = 180°.
Если а ⊥ b, то α = 90°.
ОАВα Если а || b и а и b сонаправлены, то α = 0°. Если a ||

Слайд 26Скалярное произведение векторов

Скалярное произведение векторов

Слайд 27Скалярное произведение
Скалярным произведением двух векторов называется произведение их длин на косинус

угла между ними.

Скалярное произведениеСкалярным произведением двух векторов называется произведение их длин на косинус угла между ними.

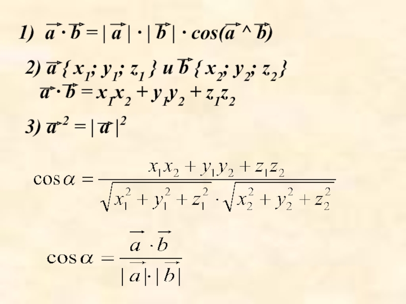
Слайд 28 a · b = | a | · | b

| · cos(a ^ b)
2) a { x1; y1; z1 } и b { x2; y2; z2 } a · b = x1x2 + y1y2 + z1z2
3) a 2 = | a |2
a · b = | a | · | b | · cos(a ^ b)2) a

Слайд 29Спасибо за внимание!

Спасибо за внимание!

Что такое shareslide.ru?

Это сайт презентаций, где можно хранить и обмениваться своими презентациями, докладами, проектами, шаблонами в формате PowerPoint с другими пользователями. Мы помогаем школьникам, студентам, учителям, преподавателям хранить и обмениваться учебными материалами.


Для правообладателей

Яндекс.Метрика

Обратная связь

Email: Нажмите что бы посмотреть