Презентация, доклад к уроку в 6кл. на тему Упрощение выражений. Раскрытие скобок и решение уравнений

Проверка домашнего задания-3(х-4)+5(х-2)=2) 4(у-7)-7(-3+у)= 3) 2(-2а-3)+4(а+5)= 4) -2х+17х=-65+205) 5с-15с =34-1342х+2-3у-714-310

Слайд 1


Слайд 2 Проверка домашнего задания
-3(х-4)+5(х-2)=
2) 4(у-7)-7(-3+у)=
3) 2(-2а-3)+4(а+5)=
4)

-2х+17х=-65+20
5) 5с-15с =34-134

2х+2

-3у-7

14

-3

10

Проверка домашнего задания-3(х-4)+5(х-2)=2) 4(у-7)-7(-3+у)= 3) 2(-2а-3)+4(а+5)= 4) -2х+17х=-65+205) 5с-15с =34-1342х+2-3у-714-310

Слайд 3
-2+3(3с-2)-2(с-1)=

-2+3(3с-2)-2(с-1)=

Слайд 4Упрощение выражений.
-5+7
-16 : 8
-4 - 7
15 -

(-8)

-21 : (-3)


Классная работа. 22.12.18

Упрощение выражений. -5+7 -16 : 8 -4 - 7 15 - (-8) -21 : (-3)

Слайд 5- закрепление навыка раскрытия скобок перед которыми стоит знак "минус" или

знак "плюс",
- формирование навыка решения уравнений,
- использование при их решении правил раскрытия скобок, приведения подобных слагаемых.

Цели:

- закрепление навыка раскрытия скобок перед которыми стоит знак

Слайд 6
-2+3(3с-2)-2(с-1)=
-2+9с-6-2с+2 =
7с-6.


-2+3(3с-2)-2(с-1)=-2+9с-6-2с+2 =  7с-6.

Слайд 71) 5(2а-1)-6а
2) -4(8х-7) -28х
3) -5у+2(7-у)
4) 3(5х-3) - 2(5х+1)
Блиц контроль…

1) 5(2а-1)-6а2) -4(8х-7) -28х3) -5у+2(7-у)4) 3(5х-3) - 2(5х+1)Блиц контроль…

Слайд 8Проверка.
1) 5(2а-1)-6а= 4а-5
2) -4(8х-7) -28х= -60х+28
3) -5у+2(7-у)= -7у+14
4) 3(5х-3) - 2(5х+1)=

5х-11


Проверка.1) 5(2а-1)-6а= 4а-52) -4(8х-7) -28х= -60х+283) -5у+2(7-у)= -7у+144) 3(5х-3) - 2(5х+1)= 5х-11

Слайд 9
Закрепление знаний, умений, навыков.

Закрепление знаний, умений, навыков.

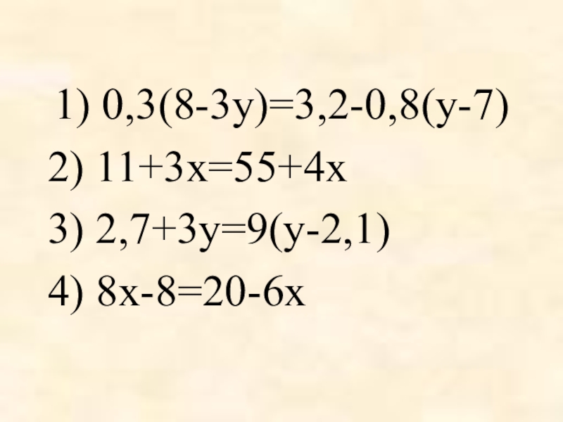
Слайд 10Решите уравнение:
 1) 0,3(8-3у)=3,2-0,8(у-7)
2) 11+3х=55+4х
3) 2,7+3у=9(у-2,1)
4) 8х-8=20-6х


Решите уравнение: 1) 0,3(8-3у)=3,2-0,8(у-7)2) 11+3х=55+4х3) 2,7+3у=9(у-2,1)4) 8х-8=20-6х

Слайд 11
1) 0,3(8-3у)=3,2-0,8(у-7) у=-64
2) 11+3х=55+4х

х=-44
3) 2,7+3у=9(у-2,1) у=3,6
4) 8х-8=20-6х х=2
1) 0,3(8-3у)=3,2-0,8(у-7) у=-642) 11+3х=55+4х        х=-443) 2,7+3у=9(у-2,1)

Слайд 12Задача на составление уравнения:
Для приготовления смеси для рассады берут 1 часть

торфа, 2 части перегноя и 5 частей земли. Сколько килограммов торфа, перегноя и земли надо взять для приготовления 72 кг смеси для рассады?
Задача на составление уравнения:Для приготовления смеси для рассады берут 1 часть торфа, 2 части перегноя и 5

Слайд 13Для приготовления смеси для рассады берут 1 часть торфа, 2 части

перегноя и 5 частей земли. Сколько килограммов торфа, перегноя и земли надо взять для приготовления 72 кг смеси для рассады?

Запишем краткое условие задачи.
Пусть масса 1 части- х кг.
 Торфа – х кг, перегноя – 2х кг, земли – 5х кг.
Всего (х+2х+5х)кг, что по условию задачи составляет 72 кг.
Составим и решим уравнение: Х + 2х + 5х = 72

Для приготовления смеси для рассады берут 1 часть торфа, 2 части перегноя и 5 частей земли. Сколько

Слайд 14Домашнее задание п.18 № 574, 572, 580
Дополнительно , по желанию
Ответить

на контр. вопросы на стр.127(2 задание письменно).
Работа №4 (1задание) стр.254.

Итог урока.

Домашнее задание п.18 № 574, 572, 580Дополнительно , по желанию Ответить на контр. вопросы на стр.127(2 задание

Слайд 15Спасибо за урок!

Спасибо за урок!

Что такое shareslide.ru?

Это сайт презентаций, где можно хранить и обмениваться своими презентациями, докладами, проектами, шаблонами в формате PowerPoint с другими пользователями. Мы помогаем школьникам, студентам, учителям, преподавателям хранить и обмениваться учебными материалами.


Для правообладателей

Яндекс.Метрика

Обратная связь

Email: Нажмите что бы посмотреть