Презентация, доклад к исследовательской работе

Содержание

«Мне приходится делить время между политикой и уравнениями. Однако, уравнения, по-моему, гораздо важнее. Политика существует для данного момента, а уравнения будут существовать вечно».ЭйнштейнЦель: Рассмотреть несколько методов решения одного иррационального уравнения.Задачи: Показать, что иррациональные уравнения

Слайд 1 Решение одной задачи несколькими методами

Решение одной задачи несколькими

Слайд 2
«Мне приходится делить время
между политикой и уравнениями.
Однако, уравнения, по-моему,

гораздо важнее.
Политика существует для данного момента,
а уравнения будут существовать вечно».
Эйнштейн

Цель: Рассмотреть несколько методов решения одного иррационального уравнения.
Задачи: Показать, что иррациональные уравнения можно решить различными способами.

«Мне приходится делить время между политикой и уравнениями. Однако, уравнения, по-моему, гораздо важнее. Политика существует

Слайд 4
Способ 1. Метод пристального взгляда (устно).

Ответ: 5, 8.

Способ 1. Метод пристального взгляда (устно).Ответ: 5, 8.

Слайд 5
Вывод: Решая уравнение методом пристального взгляда не нужно вести запись, отсутствует

словесное описание. Данный метод можно использовать для несложных иррациональных уравнений.
Вывод: Решая уравнение методом пристального взгляда не нужно вести запись, отсутствует словесное описание. Данный метод можно использовать

Слайд 6Способ 2. Метод возведения обеих частей уравнения в одну и ту

же степень с последующей проверкой





возведем обе части уравнения в квадрат:





приведем подобные слагаемые:









разделим обе части уравнения на 2:










возведем обе части уравнения в квадрат:















Способ 2. Метод возведения обеих частей уравнения в одну и ту же степень с последующей проверкойвозведем обе

Слайд 7перенесем правую часть уравнения влево и приведем подобные слагаемые:
Значит,

число 5 является корнем уравнения.
2)

Проверка: 1)

Значит, число 8 является корнем уравнения.

Уравнение имеет два решения 5 и 8.
Ответ: 5, 8.

перенесем правую часть уравнения влево и приведем подобные слагаемые: Значит, число 5 является корнем уравнения.2) Проверка: 1)

Слайд 8Вывод: При решении уравнений данным методом необходимо вести словесную запись, что делает

решение понятным и доступным. Однако обязательная проверка иногда бывает громоздкой и занимает много времени. Этот метод можно использовать для несложных иррациональных уравнений, содержащих 1-2 радикала.
Вывод: При решении уравнений данным методом необходимо вести словесную запись, что делает решение понятным и доступным. Однако обязательная

Слайд 9Способ 3. Метод равносильных преобразований








Способ 3. Метод равносильных преобразований

Слайд 10 По теореме Виета:

Ответ: 5; 8

По теореме Виета:Ответ: 5; 8

Слайд 11Вывод: При решении уравнений данным методом нужно четко знать, когда ставить знак

системы, а когда совокупности. Громоздкость записи, различные комбинации знаков системы и совокупности не редко приводят к ошибкам. Однако, последовательность равносильных переходов, четкая логическая запись без словесного описания, не требующая проверки, являются бесспорными плюсами данного способа.
Вывод: При решении уравнений данным методом нужно четко знать, когда ставить знак системы, а когда совокупности. Громоздкость записи,

Слайд 12Способ 4. Функционально графический метод


Рассмотрим функции

1)




и

- степенная функция. Найдем область определения функции

(f).

.

2)

– степенная функция.

.

Способ 4. Функционально графический метод Рассмотрим функции 1)   и - степенная функция. Найдем область определения

Слайд 13Cоставим таблицу значений.

Cоставим таблицу значений.

Слайд 14
Вывод: функционально графический метод – это наглядный метод, но применять его

лучше тогда, когда легко построить графики рассматриваемых функций и получить точный ответ. Если ответ приближенный, то лучше воспользоваться другим методом.
Вывод: функционально графический метод – это наглядный метод, но применять его лучше тогда, когда легко построить графики

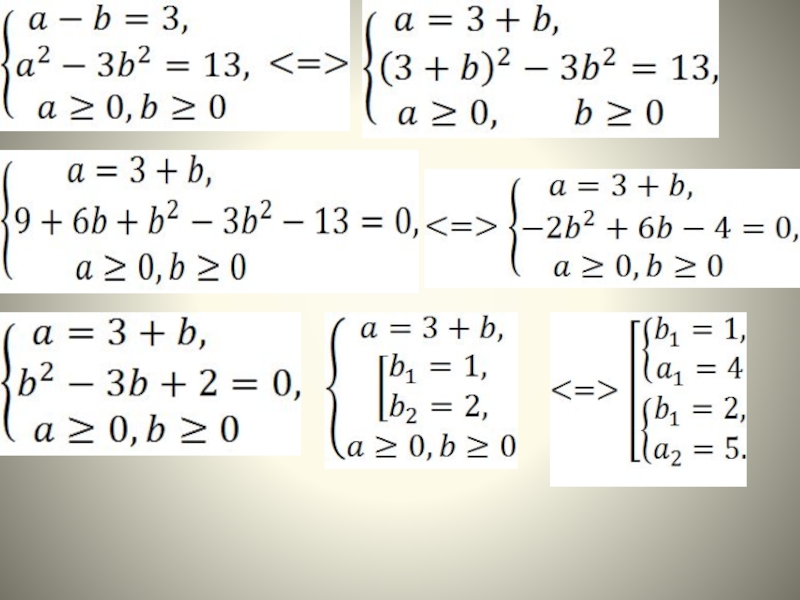
Слайд 15Способ 5. Метод введения новых переменных.

Введем новые переменные, обозначив


Получим первое

уравнение системы:


Составим второе уравнение системы:








Получим систему двух рациональных уравнений, относительно а и b:

Способ 5. Метод введения новых переменных. Введем новые переменные, обозначив Получим первое уравнение системы: Составим второе уравнение системы:

Слайд 17
По теореме Виета:


Вернемся к переменной х:
1)
.
Ответ: 5;8.

По теореме Виета:Вернемся к переменной х:1) .Ответ: 5;8.

Слайд 18Вывод: Метод введения новых переменных и переход к системе рациональных уравнений для

данного уравнения не рационален. Этот метод лучше применять для иррациональных уравнений, содержащих радикалы различных степеней, или одинаковые многочлены под знаком корня и за знаком корня, или взаимообратные выражения под знаками корня.
Вывод: Метод введения новых переменных и переход к системе рациональных уравнений для данного уравнения не рационален. Этот метод

Слайд 19Способ 6. Метод умножения обеих частей уравнение на выражение сопряженное данному .


Рассмотрим это же уравнение:







Найдем область определения исходного уравнения:



Заметим, что


Домножим левую и правую часть уравнения на выражение





Способ 6. Метод умножения обеих частей уравнение на выражение сопряженное данному . Рассмотрим это же уравнение:Найдем область определения

Слайд 20 Оба этих числа входят в область определения исходного уравнения, значит,

являются корнями.
Ответ: 5,8.
Оба этих числа входят в область определения исходного уравнения, значит, являются корнями.Ответ: 5,8.

Слайд 21Вывод: При решении уравнения данным методом нужно вести словесное описание, что

так же делает решение понятным и доступным. Вначале нужно найти область определения, что исключает проверку корней. Громоздкая запись и различные операции «домножения» обеих частей уравнения на выражение сопряженное данному может привести к ошибкам. Данный метод является не рациональным для данного уравнения.
Вывод: При решении уравнения данным методом нужно вести словесное описание, что так же делает решение понятным и

Слайд 22Заключение: Решение одной и той же задачи различными методами дает возможность

полнее исследовать все методы решения иррациональных уравнений и выявить наиболее простое и рациональное решение. Считаю, что задачи, которые поставил перед собой при выполнении работы, достигнуты, так как предложенные в данной работе методы решения иррациональных уравнений позволяют значительно упростить решения различных уравнений, т.е. применить тот метод, который является рациональным для каждого уравнения.
Заключение: Решение одной и той же задачи различными методами дает возможность полнее исследовать все методы решения иррациональных

Слайд 23спасибо
За внимание!

спасибоЗа внимание!

Что такое shareslide.ru?

Это сайт презентаций, где можно хранить и обмениваться своими презентациями, докладами, проектами, шаблонами в формате PowerPoint с другими пользователями. Мы помогаем школьникам, студентам, учителям, преподавателям хранить и обмениваться учебными материалами.


Для правообладателей

Яндекс.Метрика

Обратная связь

Email: Нажмите что бы посмотреть