Презентация, доклад на тему Преобразование графиков тригонометрических функций

?,,4 3 2 1ан,,

Слайд 1Построение графиков тригонометрических функций
Тема урока:

Построение  графиков тригонометрических  функцийТема урока:

Слайд 2?
,,
4 3 2 1
ан
,
,

?,,4 3 2 1ан,,

Слайд 3,
c
,
sin
,,

,c,sin,,

Слайд 41
0
-1
П
П

2
П
2
П

2
Y
X
Y=sin x
Y=sin 2x
Y=sin (2X)-1

10-1ПП3П2П2П3П2YXY=sin xY=sin 2xY=sin (2X)-1

Слайд 51
0
-1
П
П

2
П
2
П

2
Y
X
Y= COS (X/2)+1
2
Y=cos x
Y= cos(x/2)

10-1ПП3П2П2П3П2YXY= COS (X/2)+12Y=cos xY= cos(x/2)

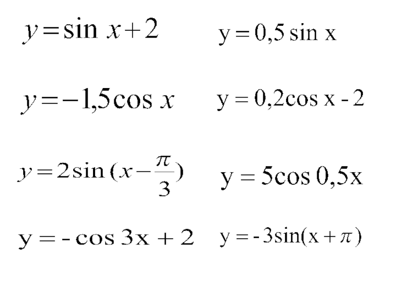
Слайд 7Найди ошибку:

Найди ошибку:

Слайд 8Найди ошибку:

Найди ошибку:

Слайд 9Эйлер
Леонард
(1707– 1783)
крупнейший
математик
XVIII
столетия

ЭйлерЛеонард(1707– 1783)крупнейшийматематикXVIII столетия

Слайд 10«Допиши формулу»

«Допиши формулу»

Слайд 11Использование тригонометрических функций при описании и изучении различных жизненных процессов.
Восход и

заход Солнца, изменение фаз Луны, чередование времен года, затмение и движение Планет, биение сердца, вращение колеса, морские приливы и отливы, эпидемии Гриппа.
Все эти процессы периодичны, состояния участвующих в них объектов повторяются.
Использование тригонометрических функций при описании и изучении различных жизненных процессов.Восход и заход Солнца, изменение фаз Луны, чередование

Слайд 13 Биение сердца

Биение сердца

Слайд 14 Восход Солнца

Восход Солнца

Слайд 15 Заход Солнца

Заход Солнца

Слайд 16 Фазы Луны

Фазы Луны

Слайд 17Морские приливы и отливы.

Морские приливы и отливы.

Слайд 18 Затмение Солнца

Затмение Солнца

Что такое shareslide.ru?

Это сайт презентаций, где можно хранить и обмениваться своими презентациями, докладами, проектами, шаблонами в формате PowerPoint с другими пользователями. Мы помогаем школьникам, студентам, учителям, преподавателям хранить и обмениваться учебными материалами.


Для правообладателей

Яндекс.Метрика

Обратная связь

Email: Нажмите что бы посмотреть