Презентация, доклад на тему Логарифмические уравнения

Содержание

Ум заключается не только в знании, Но и умении прилагать знание в деле.Аристотель

Слайд 1Презентация к уроку
Королева Наталия Анатольевна
Логарифмические уравнения. 10 класс.

Презентация к урокуКоролева Наталия АнатольевнаЛогарифмические уравнения. 10 класс.

Слайд 2Ум заключается не только в знании,
Но и умении прилагать знание

в деле.

Аристотель

Ум заключается не только в знании, Но и умении прилагать знание в деле.Аристотель

Слайд 3
1. Вычислите: 

1. Вычислите: 

Слайд 4
2. Вычислите: 



2. Вычислите: 

Слайд 5
3. Вычислите: 



3. Вычислите: 

Слайд 6
4. Вычислите: 



4. Вычислите: 

Слайд 7
5. Вычислите: 



5. Вычислите: 

Слайд 8
6. Вычислите: 



6. Вычислите: 

Слайд 9
7. Вычислите: 



7. Вычислите: 

Слайд 10
8. Логарифм какого числа по основанию 2 равен 4: 



8. Логарифм  какого числа по  основанию 2 равен 4: 

Слайд 11
9. Логарифм какого числа по основанию 10 равен

-2 : 


9. Логарифм  какого  числа по  основанию 10 равен -2 : 

Слайд 12
10. Упростите: 

10.  Упростите: 

Слайд 13
11. При каких значениях х выражение имеет смысл: 

11. При каких значениях  х выражение  имеет смысл: 

Слайд 14
12. При каких значениях х выражение имеет смысл:  

12. При каких значениях  х выражение  имеет смысл:  

Слайд 15
13. При каких значениях х выражение имеет смысл:   



13. При каких значениях  х выражение имеет смысл:   

Слайд 16
14. Где изображен график логарифмической функции: 



14.  Где изображен  график логарифмической функции: 

Слайд 17
15. Чему равно основание этой функции: 



15. Чему равно основание этой функции: 

Слайд 18

*

К л а с с н а я р а

б о т а.
Логарифмические
уравнения.

lg x=lg(7х-3)

*К л а с с н а я  р а б о т а.Логарифмические уравнения. lg

Слайд 19Цель урока:
Познакомиться с различными способами решения логарифмических

уравнений;

Отработать алгоритм решения логарифмических уравнений.

Цель урока:Познакомиться  с  различными способами   решения логарифмических   уравнений; Отработать алгоритм решения

Слайд 20 Способы решения:




По определению логарифма;
Уравнивание логарифмов с равными основаниями;
Основанные на свойствах

логарифмов;
Замена неизвестных;
Сведение к квадратному;
Разложение на множители.
Способы решения:По определению логарифма;Уравнивание логарифмов с равными основаниями;Основанные на свойствах логарифмов;Замена неизвестных;Сведение к квадратному;Разложение на множители.

Слайд 21Определение :
Уравнение, в котором неизвестное содержится под знаком логарифма или

в его основании, называется логарифмическим.
Определение : Уравнение, в котором неизвестное содержится под знаком логарифма или в его основании, называется логарифмическим.

Слайд 22Логарифм λογοζ(«логос» - отношение) и αριμοζ(«арифмос» - число)
Джон Непер
(1550-1617)

Логарифм λογοζ(«логос» - отношение) и αριμοζ(«арифмос» - число)Джон Непер(1550-1617)

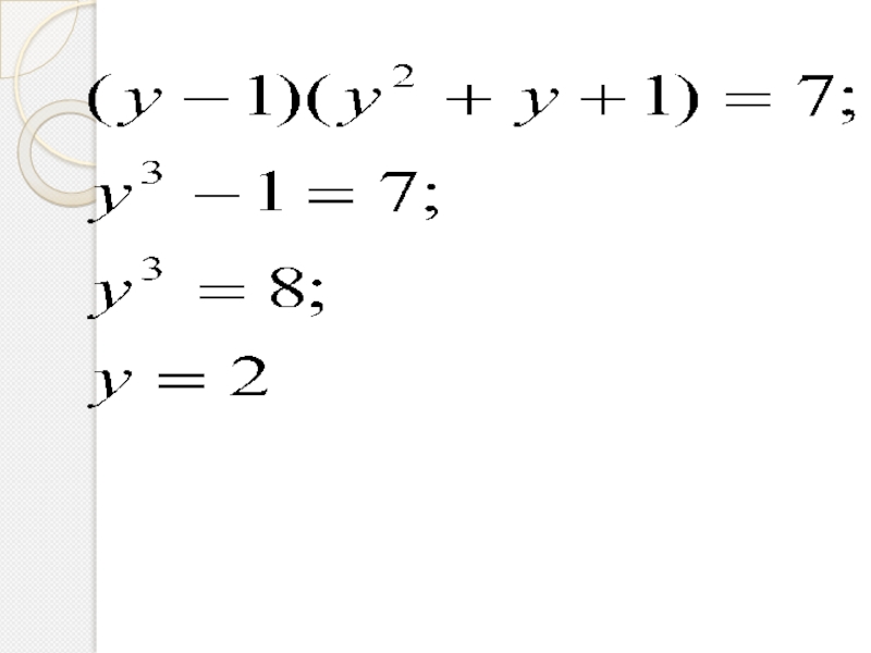
Слайд 23 Решить уравнение.
По определению логарифма
По определению логарифма.
Ответ: 243

Решить уравнение.По определению логарифмаПо определению логарифма.Ответ: 243

Слайд 241. Решить уравнение:
ООУ: т.к. Д( )=

, то 3х-2>0
x>2/3

3х-2=7
Х=3

Ответ: 3 с учетом ООУ.

2. Уравнивание логарифмов с равными основаниями.

1. Решить уравнение:ООУ: т.к. Д(     )=   , то   3х-2>0

Слайд 253.Основанные на свойствах логарифмов.

3.Основанные на свойствах логарифмов.

Слайд 262. По свойствам логарифма

2. По свойствам логарифма

Слайд 273. С учетом ООУ:
1- корень
-5 – посторонний

корень

Ответ: 1.

3. С учетом ООУ:  1- корень -5 – посторонний кореньОтвет: 1.

Слайд 284.Замена неизвестных
по свойствам логарифма

4.Замена неизвестныхпо свойствам логарифма

Слайд 29Пусть


тогда

Пустьтогда

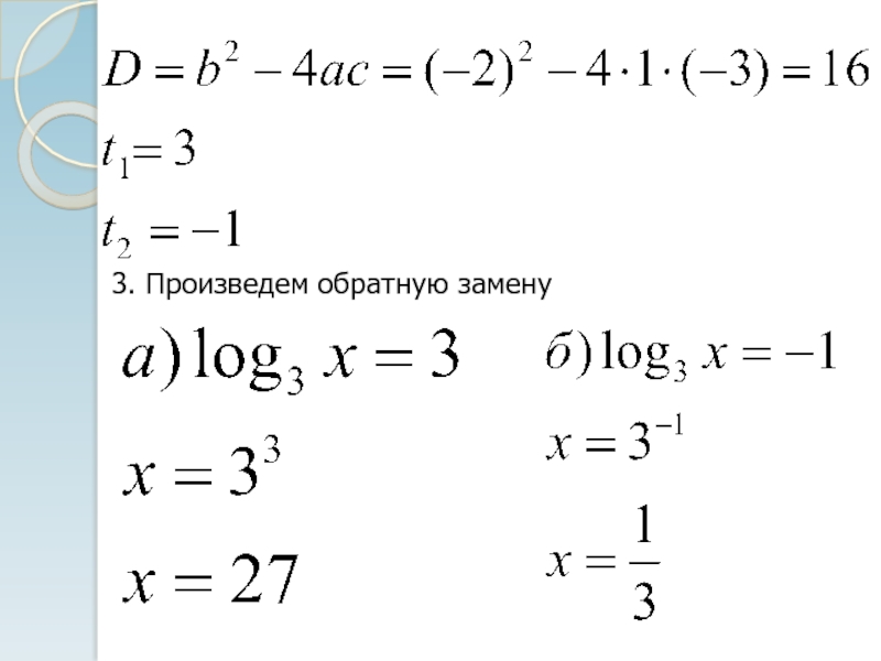
Слайд 313. Произведем обратную замену
4. С учетом ООУ:
100- корень


3. Произведем обратную замену4. С учетом ООУ:  100- корень

Слайд 32

2. Пусть

Тогда уравнение примет вид
5. Сведение к квадратному.

2. ПустьТогда уравнение примет вид 5. Сведение к квадратному.

Слайд 333. Произведем обратную замену

3. Произведем обратную замену

Слайд 34







4. С учетом ООУ:

- корень

27- корень

Ответ:

,27.
4. С учетом ООУ:  - корень27- корень Ответ:    ,27.

Слайд 356.Разложение на множители.

6.Разложение на множители.

Слайд 36Произведение равно нулю, если один из множителей равен нулю, а второй

при этом не теряет смысла.
Произведение равно нулю, если один из множителей равен нулю, а второй при этом не теряет смысла.

Слайд 374. С учетом ООУ:

1 - корень

16 - корень

Ответ:

1, 16.
4. С учетом ООУ:  1 - корень16 - корень Ответ: 1, 16.

Слайд 38В классе: № 337(1;3) № 338(1;3)
Дома:
П.19 № 337(2;4) № 338(2;4)

В классе: № 337(1;3) № 338(1;3) Дома:П.19 № 337(2;4) № 338(2;4)

Что такое shareslide.ru?

Это сайт презентаций, где можно хранить и обмениваться своими презентациями, докладами, проектами, шаблонами в формате PowerPoint с другими пользователями. Мы помогаем школьникам, студентам, учителям, преподавателям хранить и обмениваться учебными материалами.


Для правообладателей

Яндекс.Метрика

Обратная связь

Email: Нажмите что бы посмотреть