Презентация, доклад на тему Из опыта работы со слабоуспевающими на уроках математики

Содержание

Слабоуспевающих учащихся можно разделит на три группы:Хотят учиться, но не могут;Могут учиться, но не хотят;Не могут учиться и не хотят.Вне зависимости от того, к какой группе относится ученик, главное в работе с ним – учить учиться.

Слайд 1Работа со слабоуспевающими НА УРОКАХ МАТЕМАТИКИ
МБОУ «Морозовская СОШ»
Ларионовская Н.Н.

Работа со слабоуспевающими  НА УРОКАХ МАТЕМАТИКИМБОУ «Морозовская СОШ»Ларионовская Н.Н.

Слайд 2Слабоуспевающих учащихся можно разделит на три группы:
Хотят учиться, но не могут;
Могут

учиться, но не хотят;
Не могут учиться и не хотят.
Вне зависимости от того, к какой группе относится ученик, главное в работе с ним – учить учиться. Для достижения этой цели необходима помощь психолога, коррекционная работа вне урока, на уроке – уделять таким детям особое внимание. В нашей школе нет возможности заниматься с детьми после уроков или в вечернее время, т.к. большинство детей привозят на учебу на автобусе из соседних населенных пунктов, а сразу после уроков увозят. Поэтому учить приходится всех только на уроке.
В презентации представлены некоторые приемы работы, которые я применяю на уроке.
Слабоуспевающих учащихся можно разделит на три группы:Хотят учиться, но не могут;Могут учиться, но не хотят;Не могут учиться

Слайд 31.
Алгоритмизация деятельности.
Многие задачи на математике решаются по алгоритму, особенно простейшие. В

процессе изучения нового материала составляется план решения. Его можно записать в тетрадь, на доске, на плакате, который будет висеть на видном месте всю тему.
1.Алгоритмизация деятельности. Многие задачи на математике решаются по алгоритму, особенно простейшие. В процессе изучения нового материала составляется

Слайд 42.
Отработка вычислительных навыков.

Даже если ребенок знает как выполнять задание, он не

всегда может получить правильный ответ т.к. не умеет считать. Очень часто в 5 класс приходят дети, которые не умеют считать.
Для улучшения вычислительных навыков применяю таблицы-тренажеры:
2.Отработка вычислительных навыков.Даже если ребенок знает как выполнять задание, он не всегда может получить правильный ответ т.к.

Слайд 9Устный счет «Лото»
Задания диктую, дети вычисляют устно и закрывают клетку с

нужным ответом. Из оставшихся букв составляют слово

6 класс

Устный счет «Лото»Задания диктую, дети вычисляют устно и закрывают клетку с нужным ответом. Из оставшихся букв составляют

Слайд 104.
«Графический диктант»
Арифметический диктант
«Найди ошибку»
Вставь пропущенное число

4.«Графический диктант»Арифметический диктант«Найди ошибку»Вставь пропущенное число

Слайд 11Да _ Нет ^
5 класс

Да  _ Нет ^5 класс

Слайд 126 класс

6 класс

Слайд 136 класс

6 класс

Слайд 143.
Многократное проговаривание и закрепление материала урока.

На уроке изучения нового материала, после

его разбора, необходима работа по учебнику. Прошу найти какой-нибудь термин, определение, теорему, свойство и т.д. Сначала прочитает сильный, потом слабый. Сразу на уроке даю 2-3 минуты для заучивания правила, определения, затем в парах дети проговаривают то, что выучили.
Проверка теоретического материала проводится часто.
3.Многократное проговаривание и закрепление материала урока.На уроке изучения нового материала, после его разбора, необходима работа по учебнику.

Слайд 15Блиц-опрос по теме «Функция»
Что такое функция?
Независимая переменная
Зависимая переменная
Х
У
Область определения функции
Область значений

функции
Способы задания функции
График функции

7 класс

Блиц-опрос по теме «Функция»Что такое функция?Независимая переменнаяЗависимая переменнаяХУОбласть определения функцииОбласть значений функцииСпособы задания функцииГрафик функции7 класс

Слайд 16Блиц-опрос по теме «Обыкновенные дроби»
Обыкновенная дробь – например
Числитель – например


Знаменатель – например
Дробная черта
Что показывает числитель – например
Что показывает знаменатель – например
Правильная дробь – например
Неправильная дробь – например
Половина
Треть
Дробь равна 1 – например

5 класс

Блиц-опрос по теме «Обыкновенные дроби»Обыкновенная дробь – например Числитель – например Знаменатель – например Дробная чертаЧто показывает

Слайд 175.
Оперативный контроль за усвоением материала.

Если задан теоретический материал, то он

должен быть проверен. В виде теста, блиц-опроса, математического диктанта, теоретической самостоятельной работы, фронтальной работы.
5. Оперативный контроль за усвоением материала.Если задан теоретический материал, то он должен быть проверен. В виде теста,

Слайд 186 класс

6 класс

Слайд 196 класс

6 класс

Слайд 20«Четырехугольники»
 
Под какими номерами на чертеже а) параллелограмм

б) треугольник 1 2 в) равнобедренная трапеция г) ромб д) прямоугольная трапеция 3 4 5 е) прямоугольник ж) произвольный четырехугольник з) квадрат 6 7 8
У каких четырехугольников а) диагонали равны 9 10 11 б) противоположные углы равны в) диагонали взаимно перпендикулярны г) противоположные стороны равны д) диагонали являются биссектрисами углов е) диагонали равны и являются биссектрисами углов

8 класс

«Четырехугольники» Под какими номерами на чертеже  а) параллелограмм

Слайд 21Начертите четырехугольник АВСД. 1) проведите диагональ ВД 2) для вершины С запишите

соседние вершины 3) измерьте стороны и найдите периметр.
Угол А=850. Найти углы В и С. (∟А+∟В=1800) рис. 1 рис.2 В С В С А Д А Д
АВ=5см, Р=24см. Найти ДА.

8 класс

Начертите четырехугольник АВСД.  1) проведите диагональ ВД 2) для вершины С запишите соседние вершины 3) измерьте

Слайд 22Тест «Треугольники».

Вариант 3

 
1). На каком из рисунков показан треугольник?
а) б) в)
 
2). На каком из рисунков показан равнобедренный треугольник?
а) б) в)
 
 
 
3). Выбрать правильное определение: «В равнобедренном треугольнике …»
а) все стороны равны
б) углы при основании равны
в) все углы равны
4). Что такое медиана? Выбрать верное определение: «Медианой называется …»
а) линия, проходящая через вершину и середину противоположной стороны треугольника
б) отрезок, соединяющий вершину с противоположной стороной треугольника
в) отрезок, соединяющий вершину с серединой противоположной стороны треугольника
5). Отметить пункт, содержащий первый признак равенства треугольников:
а) равенство двух сторон и одного угла между ними
б) равенство двух углов и одной стороны
в) равенство двух сторон и одного угла
6). Отметить пункт, содержащий второй признак равенства треугольников:
а) равенство двух сторон и двух углов
б) равенство двух углов и стороны
в) равенство стороны и двух прилежащих к ней углов
7). Отметить пункт, содержащий третий признак равенства треугольников:
а) равны соответствующие углы
б) равны соответствующие стороны
в) равны два угла и две стороны

7 класс

Тест «Треугольники».

Слайд 236.
Работа с «разрезными» теоремами.

6.Работа с «разрезными» теоремами.

Слайд 24ФСУ
1. Квадрат суммы двух выражений. 2. Произведение суммы двух выражений  и неполного

квадрата разности. 3. Разность квадратов двух выражений. 4. Квадрат первого выражения минус удвоенное произведение первого и второго выражений плюс квадрат второго выражения. 5. Разность кубов двух выражений. 6. Произведение разности двух выражений и их суммы.

а3 + в3
(а – в)2
а2 – в2
а3 – в3
(а + в)2

7 класс

ФСУ1. Квадрат суммы двух выражений. 2. Произведение суммы двух выражений  и неполного квадрата разности. 3. Разность квадратов

Слайд 256 класс

6 класс

Слайд 267.
Использование средств невербального общения (опорные сигналы, рисунки, таблицы, схемы, план).

7.Использование средств невербального общения (опорные сигналы, рисунки, таблицы, схемы, план).

Слайд 27Первый признак равенства треугольников.
Сформулируйте теорему: «Если … стороны и угол … одного

треугольника соответственно … двум … и … между ними …, то … треугольники …»
Данный признак называется: «По двум … и углу …»
В В1 Дано: ∆АВС и … АВ = …, АС = …, ∟А =… Доказать: ∆АВС = … А С А1 С1 Доказательство: Так как ∟А = … , то ∆АВС можно наложить на ∆… так, что вершина А совместится с … Сторона АВ наложится на … , сторона … на луч А1С1. Но так как АВ = … и АС = …, то сторона … совместится со стороной …, а сторона АС – со стороной … . Значит, совместятся точки В и …, … и … . Следовательно, совместятся стороны …С и …С1. Итак, треугольники … и … полностью …, значит, они … . Теорема …

7 класс

Первый признак равенства треугольников.Сформулируйте теорему: «Если … стороны и угол … одного треугольника соответственно … двум …

Слайд 28Решить задачи, заполнив пропуски:

В

Дано: ∟1 = ∟2, АВ = ВС. Доказать: ∆АВС = ∆СВD А С Доказательство: Рассмотрим ∆АВС и …: 1) ∟1 = … по … 2) АВ = … по … D 3) сторона BD – … Значит, ∆АВС= … по …

1 2

7 класс

Решить задачи, заполнив пропуски:     В        Дано:

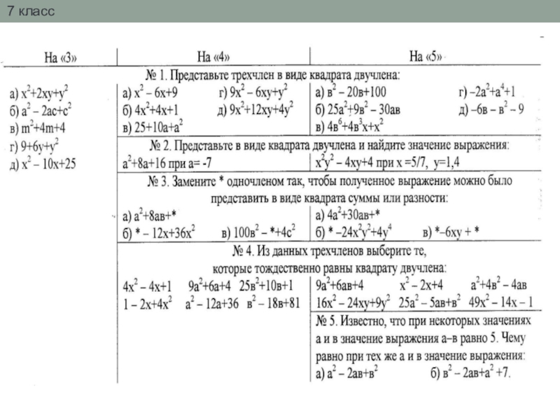
Слайд 298.
Дифференцированный подход


Трехвариантные задания

8.Дифференцированный подходТрехвариантные задания

Слайд 30«Формулы сокращенного умножения»
7 класс

«Формулы сокращенного умножения»7 класс

Слайд 317 класс

7 класс

Слайд 32

Два равноценных варианта и упрощенный

Два равноценных варианта и упрощенный

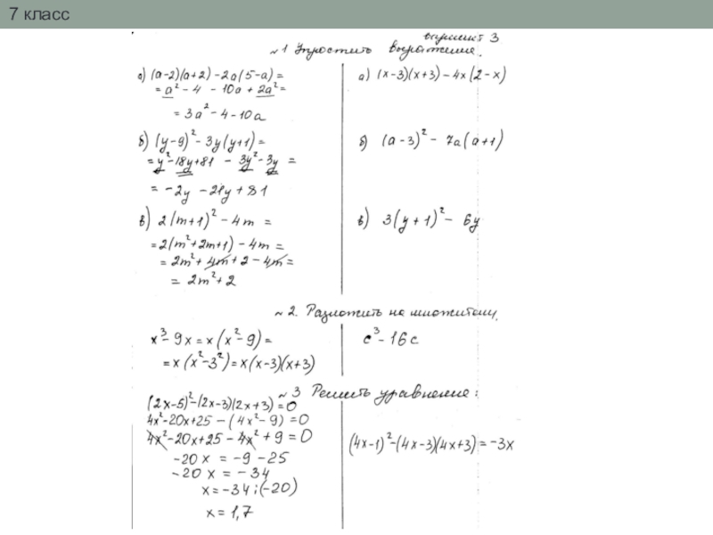
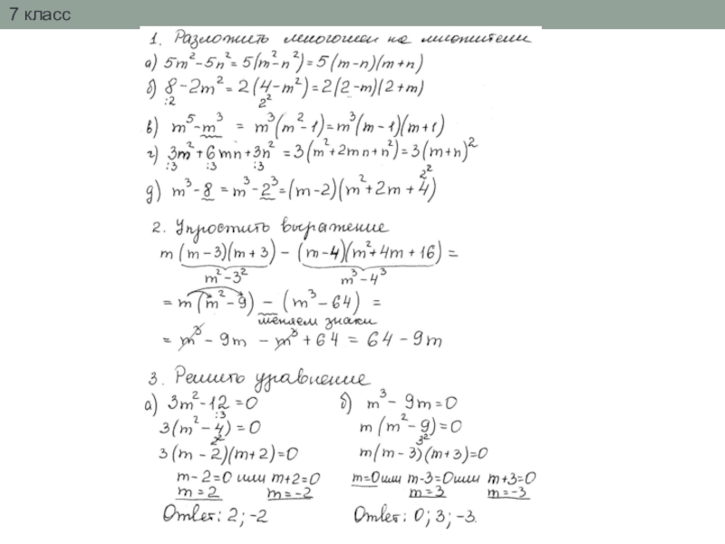
Слайд 33Контрольная работа по ФСУ
Вариант 3 (на «3»)
Разложите многочлен на множители: 1) 3х2

– 3у2 3) 12 – 3у2 5) х3 – х5 7) 4х2 + 8ху + у2 2) 6с2 – 6а2 4) 5х2 – 45у2 6) у6 – у4 8) 8 – х3 9) 27 + у3
Упростите выражение: х(х – 2)(х + 2) – (х – 3)(х2 +3х + 9)
Решите уравнения: 1) 2х2 – 8 = 0 2) х3 – 64х = 0 3) 27у – у3 = 0

7 класс

Контрольная работа по ФСУВариант 3 (на «3»)Разложите многочлен на множители: 1) 3х2 – 3у2   3)

Слайд 34«Степень. Многочлены»
7 класс

«Степень. Многочлены»7 класс

Слайд 359 класс

9 класс

Слайд 36«Сумма углов треугольника»
7 класс

«Сумма углов треугольника»7 класс

Слайд 37Контрольная работа по теме «Движение»
9 класс

Контрольная работа по теме «Движение»9 класс

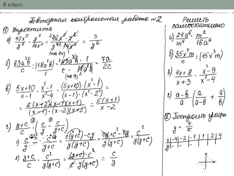
Слайд 388 класс

8 класс

Слайд 39

Общие практические задания с указанием минимального количества задач и примеров для

обязательного выполнения.

Общие практические задания с указанием минимального количества задач и примеров для обязательного выполнения.

Слайд 40Задачи по теме «Движение»
(0) Начертите трапецию АВСД так, чтобы все ее

стороны были разные по длине. Постройте ее образ: а) при симметрии относительно прямой а; б) при симметрии относительно точки О; в) при параллельном переносе на вектор а; г) при повороте вокруг точки О на 900 по часовой стрелке.
Начертите параллелограмм АВСД. Постройте его образ : а) при симметрии относительно прямой АК, где К – середина стороны СД; б) при симметрии относительно точки О, где О – центр вписанной в ∆АВС окружности; в) при параллельном переносе на вектор АО, где О – точка пересечения диагоналей параллелограмма; г) при повороте вокруг вершины Д на 1200 против часовой стрелки;
(*) Начертите произвольный четырехугольник АВСД. Постройте его образ: а) при симметрии относительно прямой СК, являющейся биссектрисой угла ВСД; б) при симметрии относительно точки О, являющейся центром описанной около треугольника АВД окружности; в) при параллельном переносе на вектор MN, где M – точка пересечения медиан треугольника АВС, N – точка пересечения биссектрис треугольника АСД; г) при повороте вокруг точки пересечения диагоналей АВСД на 1050 против часовой стрелки.

9 класс

Задачи по теме «Движение»(0) Начертите трапецию АВСД так, чтобы все ее стороны были разные по длине. Постройте

Слайд 41Решение задач с помощью уравнений.
7 класс

Решение  задач с помощью уравнений. 7 класс

Слайд 42

Задания с возрастающей степенью трудности

Задания с возрастающей степенью трудности

Слайд 43Площадь прямоугольника и квадрата.

Сторона квадрата равна 12см. Найти его площадь.
Смежные стороны

прямоугольника равны 8см и 9см. Найти его площадь.
Площадь квадрата 225дм2. Найти сторону квадрата и его периметр.
Площадь прямоугольника 132м2. Одна из его сторон 11м. Найти другую сторону и периметр.
Сторона прямоугольника равна 5,2см, другая сторона в 2 раза больше. Найти площадь.
Одна сторона прямоугольника в 3 раза меньше другой стороны. Площадь 27м2. Найти стороны прямоугольника.

8 класс

Площадь прямоугольника и квадрата.Сторона квадрата равна 12см. Найти его площадь.Смежные стороны прямоугольника равны 8см и 9см. Найти

Слайд 44

Решение задач по готовым чертежам

Решение задач по готовым чертежам

Слайд 458 класс

8 класс

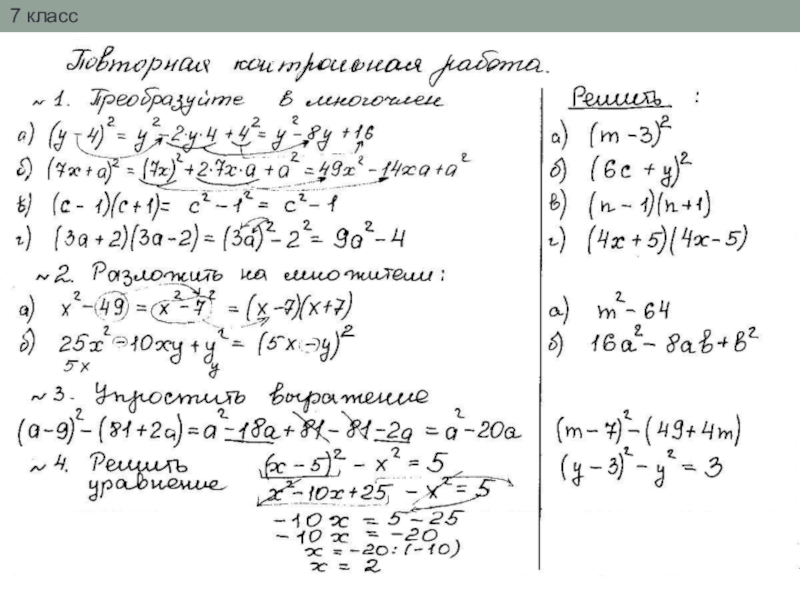
Слайд 467 класс

7 класс

Слайд 477 класс

7 класс

Слайд 48Указать признак, по которому равны треугольники
7 класс

Указать признак, по которому равны треугольники7 класс

Слайд 498 класс

8 класс

Слайд 507 класс

7 класс

Слайд 51

Индивидуальные задания по уже решенным задачам и примерам.

Индивидуальные задания по уже решенным задачам и примерам.

Слайд 527 класс

7 класс

Слайд 538 класс

8 класс

Слайд 547 класс

7 класс

Слайд 557 класс

7 класс

Слайд 569.
Привлекать к обучению слабых более сильных ребят.

Актуально на любом этапе урока.

После изучения нового материала всегда появляются такие ученики, которые поняли не все или совсем ничего не поняли. Ребята объединяются в пары и работа продолжается. При анализе самостоятельных, проверочных работ применяю парную работу, чтобы более сильный объяснил слабому, как надо было решать. Потом тем, кто не справился с работой или плохо справился даю повторную работу, а справившимся более сложное задание.

9.Привлекать к обучению слабых более сильных ребят. Актуально на любом этапе урока. После изучения нового материала всегда появляются

Слайд 57Для себя и для ученика необходимо сформулировать минимум знаний и навыков,

который должен усвоить ученик.

Для себя и для ученика необходимо сформулировать минимум знаний и навыков, который должен усвоить ученик.

Слайд 58Особенность детей в классах такова, что они плохо работают в группе,

но замечательно выполняют задания при работе в паре. Пары сменного состава, т.к. различный материал усваивают хорошо разные учащиеся.
И еще одна проблема, с которой я столкнулась, слабый контроль за успеваемостью детей со стороны родителей. Поэтому некоторые дети учатся только на уроке и таких детей становится больше. Как следствие низкое качество знаний (это устраивает и детей и их родителей).
Особенность детей в классах такова, что они плохо работают в группе, но замечательно выполняют задания при работе

Что такое shareslide.ru?

Это сайт презентаций, где можно хранить и обмениваться своими презентациями, докладами, проектами, шаблонами в формате PowerPoint с другими пользователями. Мы помогаем школьникам, студентам, учителям, преподавателям хранить и обмениваться учебными материалами.


Для правообладателей

Яндекс.Метрика

Обратная связь

Email: Нажмите что бы посмотреть