Презентация, доклад по химии на тему Решение расчетных задач по уравнениям реакций (8-9 класс)

Содержание

1-й тип. Задачи на определение массовой доли одного из продуктов реакции в полученном растворе.Железо массой 5,6 г растворили в 200 мл раствора соляной кислоты (р=1,05 г/мл) с массовой долей 10%. Вычислите массовую долю хлорида железа (II)

Слайд 1Решение расчетных задач по уравнениям реакций



Решение расчетных задач по уравнениям реакций

Слайд 21-й тип. Задачи на определение массовой доли одного из продуктов реакции

в полученном растворе.

Железо массой 5,6 г растворили в 200 мл раствора соляной кислоты (р=1,05 г/мл) с массовой долей 10%. Вычислите массовую долю хлорида железа (II) в полученном растворе.

1-й тип. Задачи на определение массовой доли одного из продуктов реакции в полученном растворе.Железо массой 5,6 г

Слайд 3 При решении таких задач соблюдается следующий алгоритм:
Прочитайте текст

задачи.
Составьте уравнение реакции.
Подчеркните формулы веществ, о которых идет речь в задаче.
Найдите их молярные массы и подпишите под формулами, над формулами поставьте данные по условию задачи.
Найдите массу чистого вещества, используя данные задачи.
Определите количество каждого из исходных веществ.
Найдите, какое из исходных веществ было взято в избытке.
Определите массу раствора, предварительно исключив массу образовавшегося осадка или газа.
Рассчитайте массу продукта по веществу, которое полностью расходуется в результате реакции, т.е. по недостатку.
Определите массовую долю продукта в растворе.

При решении таких задач соблюдается следующий алгоритм:   Прочитайте текст задачи.Составьте уравнение реакции. Подчеркните формулы

Слайд 5Типичные ошибки при решении задач данного типа:

1. Невнимательно читают условие

задачи.
2. При нахождении количества вещества делят не массу чистого вещества, а массу раствора или объем раствора вещества на его молярную массу.
3. При нахождении массы раствора забывают исключать массу газа или осадка.
4. При определении количества исходного вещества или продукта реакции не обращают внимания на коэффициенты в уравнении, т.е. количественные отношения и неправильно находят избыток и недостаток.
Типичные ошибки при решении задач данного типа:1.  Невнимательно читают условие задачи.2. При нахождении количества вещества делят

Слайд 6
Задачи на определение массовой доли веществ в конечном растворе.

2. К раствору,

полученному при добавлении 24 г гидрида натрия к 1 л воды, прилили 100 мл 30%-ного раствора азотной кислоты (ρ=1,18 г/мл). Определите массовые доли веществ в конечном растворе.
Задачи на определение массовой доли веществ в конечном растворе.2. К раствору, полученному при добавлении 24 г гидрида

Слайд 7При решении таких задач соблюдается следующий алгоритм:
Прочитайте текст задачи.
Составьте уравнение реакции.


Подчеркните формулы веществ, о которых идет речь в задаче.
Найдите их молярные массы и подпишите под формулами, над формулами поставьте данные по условию задачи.
Найдите массу чистого вещества, используя данные задачи.
Определите количество каждого из исходных веществ.
Найдите, какое из исходных веществ было взято в избытке.
Определите количество прореагировавшего вещества, взятого в избытке и количество остатка этого вещества после реакции.
Определите массу раствора, предварительно исключив массу образовавшегося осадка или газа.
 Рассчитайте массу продукта (продуктов) и массу остатка исходного вещества по веществу, которое полностью расходуется в результате реакции, т.е. по недостатку.
Определите массовую долю продукта (продуктов) реакции и массовую долю остатка избыточного вещества в растворе.

При решении таких задач соблюдается следующий алгоритм:Прочитайте текст задачи.Составьте уравнение реакции. Подчеркните формулы веществ, о которых идет

Слайд 9Гидролиз бинарных соединений

CaC2 + 2H2O → Ca(OH)2 + C2H2↑
Al4C3 + 12H2O

→ 4Al(OH)3 ↓ + 3CH4↑
CaC2 + 2HCl → CaCl2 + C2H2↑
Al4C3 + 12HCl → 4AlCl3 + 3CH4↑
Ca3N2 + 6H2O → 3Ca(OH)2 + 3NH3↑
Mg3P2 + 6H2O → 3Mg(OH)2 + 3PH3↑
NaН + H2O → NaOH + H2↑
PCl5 + 4H2O → H3PO4 + 5HCl
PCl5 + 8NaOH → Na3PO4 + 5NaCl + 4H2O
2NO2 + 2NaOH → NaNO3 + NaNO2 + H2O

Гидролиз бинарных соединенийCaC2 + 2H2O → Ca(OH)2 + C2H2↑Al4C3 + 12H2O → 4Al(OH)3 ↓ + 3CH4↑CaC2 +

Слайд 103. На 21,6 г серебра подействовали 68%-ным раствором азотной кислоты, масса которого

600 г. Полученный при этом газ пропустили через 300 г 10%-ного холодного раствора гидроксида натрия. Рассчитайте массовые доли веществ в полученном растворе.

Ag + 2HNO3 → AgNO3 + NO2 + H2O
2NO2 + 2NaOH → NaNO3 + NaNO2 + H2O
3. На 21,6 г серебра подействовали 68%-ным раствором азотной кислоты, масса которого 600 г. Полученный при этом газ

Слайд 112-Й ТИП. ЗАДАЧИ НА ОПРЕДЕЛЕНИЕ МАССОВОЙ ДОЛИ ОДНОГО ИЗ ИСХОДНЫХ ВЕЩЕСТВ

В ОБРАЗОВАВШЕМСЯ РАСТВОРЕ.

4. Железо массой 5,6 г растворили в 100 мл раствора соляной кислоты (р=1,05 г/мл) с массовой долей 10%. Вычислите массовую долю хлороводорода в полученном растворе.

5. В 110 мл 9%-ной хлороводородной кислоты (плотность раствора 1,04г/мл) растворили газообразный аммиак, выделившийся при гидролизе 2,96 г нитрида кальция. Определите массовую долю хлороводорода в полученном при этом растворе.
2-Й ТИП. ЗАДАЧИ НА ОПРЕДЕЛЕНИЕ МАССОВОЙ ДОЛИ ОДНОГО ИЗ ИСХОДНЫХ ВЕЩЕСТВ В ОБРАЗОВАВШЕМСЯ РАСТВОРЕ.4. Железо массой 5,6

Слайд 12
При решении таких задач соблюдается следующий алгоритм:

Прочитайте текст

задачи.
Составьте уравнение реакции.
Подчеркните формулы веществ, о которых идет речь в задаче.
Найдите их молярные массы и подпишите под формулами, над формулами поставьте данные по условию задачи.
Найдите массу чистого вещества, используя данные задачи.
Определите количество каждого из исходных веществ.
Найдите, какое из исходных веществ было взято в избытке.
Определите количество прореагировавшего вещества, взятого в избытке и количество остатка этого вещества после реакции.
Найдите массу оставшегося после реакции исходного вещества.
 Определите массу раствора, предварительно исключив массу образовавшегося осадка или газа.
Определите массовую долю остатка одного из исходных веществ в полученном растворе.
При решении таких задач соблюдается следующий алгоритм: Прочитайте текст задачи. Составьте уравнение реакции. Подчеркните формулы

Слайд 14Типичные ошибки при решении задач данного типа:
Не внимательно читают условие

задачи и неправильно пишут уравнение реакции.
При нахождении количества вещества делят массу раствора или объем раствора вещества на его молярную массу.
При нахождении массы раствора забывают исключать массу газа или осадка.
При определении количества исходного вещества или продукта реакции не обращают внимания на коэффициенты в уравнении, т.е. количественные отношения.
Определяют массовую долю прореагировавшего вещества, а не остатка вещества после реакции в образовавшемся растворе.

Типичные ошибки при решении задач данного типа: Не внимательно читают условие задачи и неправильно пишут уравнение реакции.

Слайд 153-Й ТИП. ЗАДАЧИ НА ОПРЕДЕЛЕНИЕ МАССЫ ИЛИ ОБЪЕМА ВЕЩЕСТВА, КОТОРЫЙ НЕОБХОДИМО

ДОБАВИТЬ ДЛЯ ПОЛУЧЕНИЯ РАСТВОРА С ЗАДАННОЙ ПРОЦЕНТНОЙ КОНЦЕНТРАЦИИ.


6. Рассчитайте, сколько граммов карбида алюминия следует добавить к 250 г 20%-ного раствора хлороводородной кислоты, чтобы массовая доля кислоты уменьшилась в 4 раза.
3-Й ТИП. ЗАДАЧИ НА ОПРЕДЕЛЕНИЕ МАССЫ ИЛИ ОБЪЕМА ВЕЩЕСТВА, КОТОРЫЙ НЕОБХОДИМО ДОБАВИТЬ ДЛЯ ПОЛУЧЕНИЯ РАСТВОРА С ЗАДАННОЙ

Слайд 16При решении таких задач соблюдается следующий алгоритм:

Прочитайте текст задачи.
Составьте уравнение реакции.


Подчеркните формулы веществ, о которых идет речь в задаче.
Найдите их молярные массы и подпишите под формулами, над формулами поставьте данные по условию задачи.
Возьмите за х моль количество исходного вещества, которое необходимо добавить к раствору.
Определите массу чистого прореагировавшего вещества.
Найдите количество прореагировавшего исходного вещества и количества газообразного продукта реакции или осадка.
Найдите массу оставшегося после реакции прореагировавшего вещества.
 Определите массу раствора, предварительно исключив массу образовавшегося осадка или газа.
 Определите количества вещества одного из исходных веществ в полученном растворе с учетом новой массовой доли.

При решении таких задач соблюдается следующий алгоритм:Прочитайте текст задачи.Составьте уравнение реакции. Подчеркните формулы веществ, о которых идет

Слайд 187. Какой объем 30%-ного раствора аммиака (р=0,892г/мл) необходимо добавить к 200мл

40%-ного раствора соляной кислоты (р=1,15г/мл), чтобы массовая доля кислоты уменьшилась вчетверо?

Задача такого же типа, но за х берем не количество вещества, а объем аммиака
7. Какой объем 30%-ного раствора аммиака (р=0,892г/мл) необходимо добавить к 200мл 40%-ного раствора соляной кислоты (р=1,15г/мл), чтобы

Слайд 20
3.1 К ЭТОМУ ЖЕ ТИПУ ОТНОСЯТСЯ ЗАДАЧИ С ДОБАВЛЕНИЕМ ВОДЫ В

РАСТВОР, ЧТОБЫ ПОЛУЧИТЬ ОПРЕДЕЛЕННУЮ МАССОВУЮ ДОЛЮ СОЛИ В НЕМ.

8. Смешали 250 мл 7%-ного раствора уксуса (p=1,05г/мл) и 150 мл 10%-ного раствора гидроксида калия (p=1,06 г/мл). Сколько миллилитров воды следует добавить к полученной смеси, чтоб массовая доля ацетата калия в ней составила бы 2%.
3.1 К ЭТОМУ ЖЕ ТИПУ ОТНОСЯТСЯ ЗАДАЧИ С ДОБАВЛЕНИЕМ ВОДЫ В РАСТВОР, ЧТОБЫ ПОЛУЧИТЬ ОПРЕДЕЛЕННУЮ МАССОВУЮ ДОЛЮ

Слайд 223.2 Определить массу оксида, который необходимо добавить к раствору кислоты (щелочи),

чтобы концентрация кислоты (щелочи) увеличилась до определенной массовой доли.

9. Какую массу оксида серы (VI) следует добавить к 500 г 20%-ного раствора серной кислоты, чтобы увеличить её массовую долю до 40%?

10. Какую массу фосфора необходимо сжечь в кислороде, чтобы растворив полученный оксид в 1000 г раствора ортофосфорной кислоты с массовой долей 50%, получить раствор этой кислоты с массовой долей 75%?

11. К 120 г 8%-го раствора гидроксида натрия добавили 18,6 г оксида натрия. Вычислите массовую долю гидроксида натрия в образовавшемся растворе.
3.2 Определить массу оксида, который необходимо добавить к раствору кислоты (щелочи), чтобы концентрация кислоты (щелочи) увеличилась до

Слайд 23При решении таких задач соблюдается следующий алгоритм:

Прочитайте текст задачи.
Составьте

уравнение реакции.
Подчеркните формулы веществ, о которых идет речь в задаче.
Найдите их молярные массы и подпишите под формулами, над формулами поставьте данные по условию задачи.
Найдите массу чистого вещества, используя данные задачи.
Возьмите количество вещества сгоревшего неметалла или оксида, добавленного в раствор, за х моль.
Определите количество вещества и массу новой порции образовавшейся кислоты (щелочи).
 Определите массу раствора с учетом массы добавленного оксида.
Определите массу чистого вещества с учетом новой порции кислоты (щелочи).
Определите количества вещества неметалла или оксида в полученном растворе с учетом новой массовой доли.
При решении таких задач соблюдается следующий алгоритм: Прочитайте текст задачи. Составьте уравнение реакции. Подчеркните формулы веществ, о

Слайд 264-Й ТИП. ЗАДАЧИ НА ОПРЕДЕЛЕНИЕ ТИПА СОЛИ, ПОЛУЧЕННОЙ В РЕЗУЛЬТАТЕ РЕАКЦИИ,

ВЫЧИСЛЕНИЯ ЕЕ МАССЫ ИЛИ МАССОВОЙ ДОЛИ В ПОЛУЧЕННОМ РАСТВОРЕ.

12. В 60 г 18% ортофосфорной кислоты растворили 2,84 г оксида фосфора (V) и полученный раствор прокипятили. Какая соль и в каком количестве образуется, если к полученному раствору добавить 30г гидроксида натрия?

13. Аммиак объемом 4,48л (н.у.) пропустили через 200г 4,9% раствора ортофосфорной кислоты. Назовите соль, образующуюся в результате реакции, и определите ее массу.

14. Каков состав и какова массовая доля соли, которая образуется при пропускании 26,88 л (н.у.) углекислого газа через 171 мл 24%-ного раствора гидроксида калия (ρ=1,23г/мл)?
4-Й ТИП. ЗАДАЧИ НА ОПРЕДЕЛЕНИЕ ТИПА СОЛИ, ПОЛУЧЕННОЙ В РЕЗУЛЬТАТЕ РЕАКЦИИ, ВЫЧИСЛЕНИЯ ЕЕ МАССЫ ИЛИ МАССОВОЙ ДОЛИ

Слайд 27При решении таких задач соблюдается следующий алгоритм:

Прочитайте текст задачи.
Составьте

уравнение реакции.
Подчеркните формулы веществ, о которых идет речь в задаче.
Найдите их молярные массы и подпишите под формулами, над формулами поставьте данные по условию задачи.
Найдите массу чистого вещества, используя данные задачи.
Определите количество каждого из исходных веществ.
Найдите, какое из исходных веществ было взято в избытке.
По коэффициентам реакции определите соотношение исходных веществ и определите тип соли.
Найдите количество вещества образовавшейся соли по веществу, взятому в недостатке.
Определите массу соли.
 Определите массу раствора, предварительно исключив массу образовавшегося осадка или газа.
Определите массовую долю соли в растворе.
При решении таких задач соблюдается следующий алгоритм: Прочитайте текст задачи. Составьте уравнение реакции. Подчеркните формулы веществ, о

Слайд 295-й тип. Определить массу или объем кислоты (основания), необходимый для реакции

нейтрализации данного вещества.

15. В 100 мл 5%-ного раствора соляной кислоты (плотность раствора 1,02г/мл) внесли 6,4 г карбида кальция. Сколько мл 15%-ного раствора азотной кислоты (плотность раствора 1,08г/мл) следует добавить к полученной смеси для ее полной нейтрализации?

16. Аммиак, выделившийся при взаимодействии 5,6 г гидроксида калия с 5,0 г хлорида аммония, растворили в 50 г воды. Определите массовую долю аммиака в полученном растворе. Сколько мл 10%-ной азотной кислоты с плотностью 1,06 г/мл потребуется для нейтрализации аммиака?

17. На нейтрализацию 7,6 г смеси муравьиной и уксусной кислот израсходовано 35 мл 20% раствора гидроксида калия (ρ=1,20г/мл). Рассчитайте массу уксусной кислоты и ее массовую долю в исходной смеси кислот.

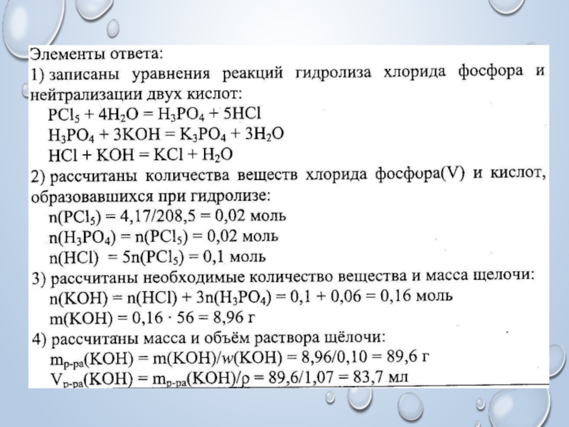
18. Хлорид фосфора (V) массой 4,17 г полностью гидролизован в избытке воды. Какой объем раствора гидроксида калия с массовой долей 10% (ρ=1,07 г/см3 ) необходим для полной нейтрализации полученного раствора?

5-й тип. Определить массу или объем кислоты (основания), необходимый для реакции нейтрализации данного вещества.15. В 100 мл 5%-ного

Слайд 326-й тип. Задачи на вычисление массовой доли компонентов смеси.

19. Определите

массовые доли (в %) сульфата железа (II) и сульфида алюминия в смеси, если при обработке 25 г этой смеси водой выделился газ, который полностью прореагировал с 960 г 5%-ного раствора сульфата меди (II).

20. Смесь порошкообразных серебра и меди массой 4,608 г с массовой долей серебра 60%, растворили при нагревании в концентрированной серной кислоте. Выделившийся при этом газ пропустили через раствор гидроксида бария массой 42,75 г с массовой долей 20%. Вычислите массу образовавшегося осадка.

21. Смесь меди и оксида меди (II) может прореагировать с 243 г 10%-ного раствора бромоводородной кислоты, или 28,8 г 85%-ного раствора серной кислоты. Определите массовую долю меди в смеси.

22. Смесь безводных сульфата алюминия и хлорида меди (II) растворили в воде и добавили к избытку раствора гидроксида натрия. При этом образовалось 19,6 г осадка. А если этот же раствор солей добавить к раствору нитрата бария, то выделится 69,9 г осадка. Определите массовую долю сульфата алюминия в смеси.
6-й тип. Задачи на вычисление массовой доли компонентов смеси. 19. Определите массовые доли (в %) сульфата железа

Слайд 35Иногда в условии задачи звучит – масса увеличилась или уменьшилась за

счет выделение газа или выпадения осадка.

23.В результате нагревания 12,96 г смеси порошков меди и оксида меди (II) на воздухе ее масса увеличилась на 2,24 г. Вычислите объем раствора серной кислоты с массовой долей 96% и плотностью 1, 84 г/мл, который потребуется для растворения исходной смеси.

24.В результате нагревания 20,5 г смеси порошков оксида магния и карбоната магния ее масса уменьшилась на 5,5 г. Вычислите объем раствора серной кислоты с массовой долей 28% и плотностью 1,2 г/мл, который потребуется для растворения исходной смеси.
Иногда в условии задачи звучит – масса увеличилась или уменьшилась за счет выделение газа или выпадения осадка.23.В

Слайд 367-Й ТИП. ЗАДАЧИ С ИСПОЛЬЗОВАНИЕМ РЕАКЦИЙ КОМПЛЕКСООБРАЗОВАНИЯ.

25. При растворении 5,75 г

натрия в воде получили раствор с массовой долей вещества 20%. К этому раствору добавили 44,5 г 15%-ного раствора хлорида алюминия. При этом образовался тетрагидроксоалюминат натрия. Определите массовую долю щелочи в полученном растворе.

26. Определите массовую долю соли в растворе, полученном в результате растворения в 150 мл воды 10,34 г оксида калия и 6,5 г цинка.

7-Й ТИП. ЗАДАЧИ С ИСПОЛЬЗОВАНИЕМ РЕАКЦИЙ КОМПЛЕКСООБРАЗОВАНИЯ.25. При растворении 5,75 г натрия в воде получили раствор с

Слайд 398–й тип Задачи, в которых часть вещества разложилась, а часть прореагировала.




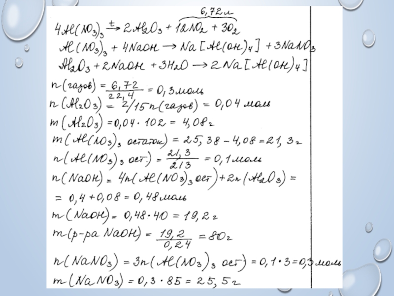
27. При нагревании образца нитрата алюминия часть вещества разложилась. При этом выделилось 6,72 л (н.у.) смеси газов. Масса твердого остатка составила 23,38 г. Остаток полностью растворили в необходимом для реакции минимальном объеме 24 %-ного раствора гидроксида натрия. При этом образовался тетрагидроксоалюминат натрия. Определите массовую долю нитрата натрия в полученном растворе. В ответе запишите уравнения реакций, которые указаны в условии задачи, и приведите все необходимые вычисления.

8–й тип Задачи, в которых часть вещества разложилась, а часть прореагировала. 27. При нагревании образца нитрата алюминия

Слайд 41Благодарю за внимание!

Благодарю за внимание!

Что такое shareslide.ru?

Это сайт презентаций, где можно хранить и обмениваться своими презентациями, докладами, проектами, шаблонами в формате PowerPoint с другими пользователями. Мы помогаем школьникам, студентам, учителям, преподавателям хранить и обмениваться учебными материалами.


Для правообладателей

Яндекс.Метрика

Обратная связь

Email: Нажмите что бы посмотреть