Презентация, доклад по химии на тему: Мульти-задания по органике

1-бромпропан — Х — У — 2,3-диметилбутан 2.   CnH2n(алкен) — Х — У — CnH2n(циклоалкан) 3.    CH4 — X — C2H4Cl2 4.    C4H10 — C4H10 — C4H9Br — C8H18

Слайд 1Мульти - задания по органике
Работу выполнили:
ученицы 11 «А» класса , ГБОУ

№ 106
Ращукова Ксения и Бабина Валерия
Учитель химии:
Чернядьева А.В.
Мульти - задания по органикеРаботу выполнили:ученицы 11 «А» класса , ГБОУ № 106Ращукова Ксения и Бабина ВалерияУчитель

Слайд 2
1-бромпропан — Х — У — 2,3-диметилбутан
 
2.   CnH2n(алкен) — Х

— У — CnH2n(циклоалкан)
 
3.    CH4 — X — C2H4Cl2
 
4.    C4H10 — C4H10 — C4H9Br — C8H18
1-бромпропан — Х — У — 2,3-диметилбутан 2.   CnH2n(алкен) — Х — У — CnH2n(циклоалкан) 3.    CH4

Слайд 3Определить типы
СН3—СН = СН2 + Н2 -> СН3—СН2—СН3
       пропен                             пропан
СН2=СН2 +

НСl —> СН3—СН2—Сl       этен                      хлорэтан
Определить типыСН3—СН = СН2 + Н2 -> СН3—СН2—СН3       пропен                             пропан СН2=СН2 + НСl —> СН3—СН2—Сl       этен                     

Слайд 4
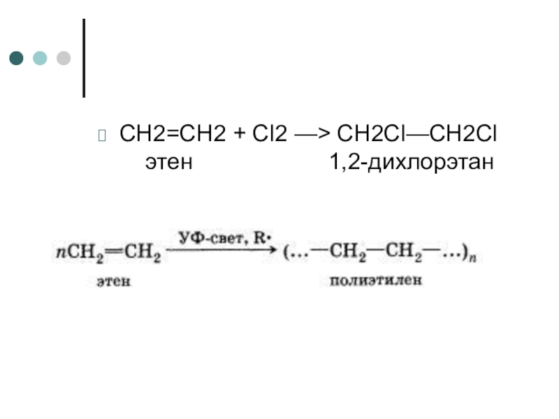
СН2=СН2 + Сl2 —> СН2Сl—СН2Сl     этен           

         1,2-дихлорэтан

СН2=СН2 + Сl2 —> СН2Сl—СН2Сl     этен                     1,2-дихлорэтан

Слайд 5
1. Гидрирование — реакция присоединения молекулы водорода по кратной связи: СН3—СН =

СН2 + Н2 -> СН3—СН2—СН3
       пропен                             пропан
2.    Гидрогалогенирование — реакция присоединения гало-геноводорода (например, гидрохлорирование): СН2=СН2 + НСl —> СН3—СН2—Сl       этен                      хлорэтан 3.    Галогенирование — реакция присоединения галогена (например, хлорирование): СН2=СН2 + Сl2 —> СН2Сl—СН2Сl     этен                     1,2-дихлорэтан 4.    Полимеризация — особый тип реакций присоединения, в ходе которых молекулы вещества с небольшой молекулярной массой соединяются друг с другом с образованием молекул вещества с очень высокой молекулярной массой — макромолекул.
1. Гидрирование — реакция присоединения молекулы водорода по кратной связи:  СН3—СН = СН2 + Н2 ->

Слайд 6Какие реакции характерны для алкенов? Какие характерны для алканов?

Какие реакции характерны для алкенов? Какие характерны для алканов?

Что такое shareslide.ru?

Это сайт презентаций, где можно хранить и обмениваться своими презентациями, докладами, проектами, шаблонами в формате PowerPoint с другими пользователями. Мы помогаем школьникам, студентам, учителям, преподавателям хранить и обмениваться учебными материалами.


Для правообладателей

Яндекс.Метрика

Обратная связь

Email: Нажмите что бы посмотреть